рефераты
Главная

Рефераты по международному публичному праву

Рефераты по международному частному праву

Рефераты по международным отношениям

Рефераты по культуре и искусству

Рефераты по менеджменту

Рефераты по металлургии

Рефераты по муниципальному праву

Рефераты по налогообложению

Рефераты по оккультизму и уфологии

Рефераты по педагогике

Рефераты по политологии

Рефераты по праву

Биографии

Рефераты по предпринимательству

Рефераты по психологии

Рефераты по радиоэлектронике

Рефераты по риторике

Рефераты по социологии

Рефераты по статистике

Рефераты по страхованию

Рефераты по строительству

Рефераты по таможенной системе

Сочинения по литературе и русскому языку

Рефераты по теории государства и права

Рефераты по теории организации

Рефераты по теплотехнике

Рефераты по технологии

Рефераты по товароведению

Рефераты по транспорту

Рефераты по трудовому праву

Рефераты по туризму

Рефераты по уголовному праву и процессу

Рефераты по управлению

Учебное пособие: Адсорбция

Учебное пособие: Адсорбция

1. Адсорбция. Область применения

Абсорбцией называется процесс поглощения газов или паров из газовых или парогазовых смесей жидким поглотителем – абсорбентом. Если поглощаемый газ – абсорбтив – химически не взаимодействует с абсорбентом, то такая абсорбция физическая, если же абсорбтив образует с абсорбентом химическое соединение, то такой процесс называется хемосорбцией. Физическая абсорбция обратима, выделение поглощаемого газа из раствора – десорбция. Сочетание абсорбции и десорбции позволяют многократно использовать поглотитель и выделять поглощённый газ в чистом виде.

Абсорбция применяется:

- для получения готового продукта (абсорбция  в производстве серной кислоты, абсорбция HCl, оксидов азота водой в производстве азотной кислоты);

- для выделения ценных компонентов из газовых смесей (абсорбция бензола из коксового газа, абсорбция ацетилена из газов крекинга или пиролиза природного газа и т.д.), при этом абсорбцию проводят в сочетании с десорбцией;

- для очистки газовых выбросов от вредных примесей;

- для осушки газов.

2. Равновесие при абсорбции. Закон Генри

Система состоит из трёх компонентов (распределяемое вещество и два распределяющих вещества) и двух фаз – жидкой и газовой. Такая система по правилу фаз имеет три степени свободы. Для абсорбции переменными являются Т, р, концентрация компонента А в газовой и жидкой фазах. Следовательно, в состоянии равновесия при Т=const и постоянном общем давлении зависимость между парциальным давлением газа А или его концентрацией и составом жидкой фазы однозначна. Эта зависимость выражается законом Генри: парциальное давление  растворённого газа пропорционально его мольной доле  в растворе:

 (5.72)

где  - парциальное давление поглощаемого газа над раствором, находящегося в равновесии, при концентрации раствора , Е – константа Генри. Е не зависит от общего давления в системе, но зависит от природы абсорбента и поглощаемого газа, а также от Т.

 

Рис. 1

Для идеальных растворов зависимость равновесных концентраций от давления изображается прямой, т.к.  (5.73)

Чем больше Т, тем меньше растворимость.  - равновесная концентрация газа в растворе, т.е. растворимость.

Если – молярная доля извлекаемого компонента А в газовой смеси и Р – общее давление в системе, то парциальное давление , по закону Дальтона, можно записать:

 (5.74)

Тогда, подставив значение  в (5.72) получим

Итак для закона Генри имеем

 (5.75)

Здесь  - коэффициент распределения, или константа фазового равновесия.

Величина m уменьшается с увеличением Р и снижения Т. Таким образом, растворимость газа в жидкости растёт с ростом давления и снижения Т.

Когда в равновесии с жидкостью находятся смесь газов, закону Генри может следовать каждый из компонентов смеси в отдельности.

Закон Генри справедлив только для идеальных газов, а также к сильно разбавленным реальным растворам. Для хорошо растворимых газов, при больших концентрациях их в растворе, растворимость меньше, чем по закону Генри. Для систем, не подчиняющихся закону Генри, m является величиной переменной и линия равновесия представляет собой кривую, которую строят обычно по опытным данным.

При больших давлениях (1 МПа и выше) изменение объёма жидкости вследствие растворения в ней газа соизмеримо с изменением объёма газа, тогда

 - фугитивность (летучесть) поглощаемого газа, выраженная в единицах давления.

При выражении состава фаз не в абсолютных, а в относительных концентрациях видоизменяется и запись закона Генри.

Общая масса фазы, состоящей из распределяемого компонента и 1 кг носителя равна (1+Х) кг (жидкая фаза) и (1+Y) кг (газовая фаза). Тогда весовые концентрации х и у распределяемого компонента в фазах:

Тогда закон Генри запишется:

 (5.76)

Следовательно, линия равновесия в системе газ – жидкость в координатах Х и У изображается кривой. При малых концентрациях Х в жидкости (5.76) упрощается и принимает вид:

 (5.77)


В случае абсорбции многокомпонентных смесей парциальное давление каждого компонента в газовой смеси зависит не только от его концентрации в растворе, но и от концентрации в растворе других компонентов, т.е. является функцией большого числа переменных. Поэтому в подобных случаях, равновесные зависимости основываются на опытных данных.

3. Материальный баланс и расход абсорбента

Рис. 2

 

 – расход инертного газа;  – расход абсорбента; - начальная и конечная концентрация абсорбтива в газовой смеси, кмоль/кмоль инертного газа; - начальная и конечная концентрация абсорбтива в в поглотителе кмоль/кмоль абсорбента.

Из уравнения (5.78) обычно определяют :  (5.79)

Уравнение (5.78) можно представить в виде:

 (5.80)


Уравнение (5.80) носит название рабочей линии. Она, рабочая линия, в координатах У-Х прямая с углом наклона, тангенс которого равен . Найдём связь  с размером аппарата. Заданы . Необходимо найти .

Рис. 3

Поскольку  известно, точки  лежат на одной прямой. и  граничные случаи. При АВ движущая сила максимальна  поскольку  (см. уравнение (5.79)). При , движущая сила минимальна: в точке  она равна нулю. Поэтому  должна быть больше .

 (5.81)

По Разинову, можно принять . Тогда по (5.80) находим


4. Тепловой баланс и температура адсорбента

Рис. 4

Если абсорбцию ведут без отвода тепла или с недостаточным его отводом, то температура повышается вследствие выделения тепла при поглощении газа жидкостью, что необходимо учиты­вать при расчете. Для технических расчетов можно пренебречь нагреванием гая фазы и считать, что выделяющееся при абсорбции тепло затрачивается только на нагрев жидкости.

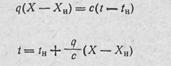
Если линия равновесия при температуре tн поступающей жидкости изображает кривой ОD (рис. Х1-4), то при температуре уходящей жидкости линия равновесиям положится выше (кривая ОС) и действительная линия равновесия при переменной температуре жидкости изобразится кривой АВ.

Ординату У* некоторой точки О' на кривой равновесия, соответствующую составу жидкости X, можно найти, если известна температура t при данном составе жидкости.Для этого необходимо составить уравнение теплового баланса для части адсорбционного аппарата, расположенной выше некоторого произвольного сечения с концентрациями X и У жидкости и газа соответственно:

 (XI, 18)


q-фференциальная теплота растворения газа, кдж/кмоль; М' - количество газа, поглощенного в рассматриваемой части абсорбера, кмоль/сек; L - расход абсорбента, Кмоль/сек; с - теплоемкость жидкости, кжд/(кмольград); t- температура жидкости в данном сечении, °С; tн - начальная температура жидкости, °С, : М' = L(Х - Хн), то

 (XI, 19)

Задаваясь рядом произвольных значений X в интервале между известными величинами Хн и Хк, с помощью уравнения (XI, 19) вычисляют t. По опытным данным находят соответствующие значения У* и строят линию равновесия (по точкам О1, 02.

5. Скорость процесса

Скорость физической абсорбции. Скорость процесса абсорбции характеизуется уравнением (X, 46), если движущую силу выражают в концентрациях газовой фазы

И уравнением (X, 46а), если движущая сила выражается в концентрациях жидкой фазы

В этих уравнениях коэффициенты массопередачи Ку и Кх определяются, согласно уравнениям (X, 47) и (X, 48), следующим образом:

В г -коэффициент массоотдачи от потока газа к поверхности контакта фаз; в ж- коэффициент массоотдачи от поверхности контакта фаз к потоку жидкости.

Как уже отмечалось, для хорошо растворимых газов величина т незначительна и мало также диффузионное сопротивление

В жидкой фазе. 1/в ж > т/в ж и можно принять, что Ку = вг.

Для плохо растворимых газов можно пренебречь диффузионным сопротивлением газовой фазе (в этом случае значения т и вг велики). Отсюда

1/в ж > т/в ж и можно полагать, что Кж ~ вж.

В уравнении (X, 46) мольные концентрации газовой фазы могут быть замещены парциальными давлениями газа, выраженными в долях общего давления. Тогда

 (XI, 20)

Если лини равновесия является прямой, то средняя движущая сила процесса, по аналогии с уравнением (X, 54) выражается уравнением

где ∆рб = Рн - Рк. и ∆рм = рк - рн - движущая сила на концах абсорб.аппарата; ри и рк - парциальные давления газа на входе в аппарат и выходе из него, Рк* и Рн* - равновесные парциальные давления газа на входе в аппарат и выходе из него.

Если парциальное давление выражено в долях общего давления Р, то коэффициенты массопередачи Кр и Ку численно равны друг другу. Если же парциальные давления выражены в единицах давления,то

 I


6. Конструкции абсорберов

Абсорбция протекает на поверхности раздела фаз. По способу образования поверхности раздела фаз абсорберов можно разделить на 4 группы:

- плёночные

- насадочные

- тарельчатые

- распыливающие.

Пленочные. Вместо труб могут быть плоские листы. Пакет листовой насадки из различного материала. Допускаемая скорость воздуха W=3-6 м/с. Далее начинается захлёбывание (подвисание плёнки) аппарата. Δр аппарата – небольшие.

Насадочные. Вместо труб могут быть плоские листы. Пакет листовой насадки из различного материала. Допускаемая скорость воздуха W=3-6 м/с. Далее начинается захлёбывание (подвисание плёнки) аппарата. Δр аппарата – небольшие.

Тарельчатые абсорберы. ТА – вертикальные цилиндрические колонны, внутри которых на определённом расстоянии друг от друга на высоте колонны размещаются горизонтальные перегородки – тарелки. Тарелки служат для развития поверхности контакта фаз, жидкость течёт сверху вниз, а газ проходит снизу вверх. Процесс массопереноса идёт ступенчато. По способу слива жидкости с тарелками абсорберы бывают:

- со сливными устройствами

- без сливных устройств (неорганизованный слив жидкости).

Распыливающие абсорберы. Эти абсорберы подразделяют на следующие группы:

1)  полые (форсуночные);

2)  скоростные прямоточные;

3)  механически распыливающие.


7. Насадочные абсорберы

Рис. 5

Они наиболее широко распространены в промышленности. Газ оттесняет жидкость к периферии. Поэтому насадки используются секциями высотой до 4D.

Насадки – твёрдые тела различной формы. Жидкость в насадочной колонне течёт по элементу насадки в виде тонкой плёнки. При перетекании жидкости с одного элемента на другой плёнка жидкости разрушается и далее образуется вновь. Часть жидкости проходит вниз в виде струек, капель и брызг.

Основные характеристики насадок:

1)  удельная поверхность а (/);

2)  свободный объём ε (/);

3)  свободное сечение S (/).

Обычно принимают S = ε.


Рис. 6 - 1 – сухой аппарат, 2 – орошаемый аппарат

Первый режим - Плёночный режим (до А) – наблюдается при небольших плотностях орошения и малых W газа. А – точка подвисания жидкости.

Второй режим – режим подвисания (торможения), после точки А повышение Wг приводит к подтормаживанию жидкости газовым потоком. Поэтому Wж уменьшается и количество удерживаемой жидкости увеличивается, течение жидкости нарушается, возникают вихри, брызги, поэтому F увеличивается и увеличивается интенсивность процесса массопередачи. Этот режим заканчивается в точке В.

Третий режим – режим эмульгирования. Увеличение Wг приводит к накоплению жидкости в аппарате. При этом наступает инверсия фаз – жидкость становится дисперсионной средой, газ – дисперсной фазой. Образуется газожидкостная дисперсная система, по внешнему виду похожая на пену. Режим эмульгирования соответствует максимальной эффективности насадочных колонн. При этом резко возрастает  аппарата (отрезок ВС). Поддерживать этот режим затруднительно. По скорости газа режим очень узок.

Четвертый режим – режим уноса (с→), жидкость уносится из аппарата газовым потоком. В технике этот режим не используется.

Равномерное распределение газа по сечению аппарата.

Насадки должны иметь как можно больше а, кроме того, они должны:

-  хорошо смачиваться орошаемой жидкостью;

-  больше e и S;

-  обладать большой механической прочностью, стойкостью;

-  иметь невысокую стоимость.

8. Схема абсорбционной установки

абсорбер баланс равновесие насадка

Абсорбционная установка (рис. 7) предназначена для проведения процесса абсорбции хлористого водорода из смеси с воздухом водой при противоточном движении фаз. Она состоит из насадочного абсорбера, линии подачи газовой смеси и абсорбента, контрольно-измерительной и регулирующей аппаратуры. Абсорбер 1 работает при противоточном движении фаз и представляет собой колонный аппарат D=100 мм и высотой 2530 мм.

Абсорбер состоит из восьми секций. В верхней секции размещены каплеотбойник и распределитель жидкости. Шесть секций заполнены насадкой из керамических колец Рашига размером 15x15x2. Удельная поверхность насадки а=200 м2/м\ доля свободного объема насадки Vсв=0.71 м3/м3, суммарная высота слоя насадки Н=1500 мм. Каждая из секций снабжена распределителем жидкости. В нижней секции собраны узел подачи газа и узел гидрозатвора для отвода жидкости. Вода подается в верхнюю часть абсорбера, стекает по насадке и через узел гидрозатвора 2 сбрасывается в канализацию. Расход воды регулируется вентилем 3. Газовая смесь подается в нижнюю часть абсорбера, проходит через насадку, каплеотбойник и сбрасывается в атмосферу. Расход газа регулируется вентилем 4. Давление и температура в абсорбере измеряются при помощи датчиков 5 и 6 соответственно. Начальная и конечная концентрации хлористого водорода в газе измеряются с помощью датчика 7. Выходные сигналы датчиков поступают на вторичный регистрирующий прибор 8.


 |

Рис. 7 - Абсорбционная установка: 1 - колонна абсорбционная; 2 - гидрозатвор; 3, 4 - вентили; 5,6,7 - датчики давления, температуры и концентрации соответственно; 8 - регистрирующий прибор; 9 - переключатель


© 2012 Рефераты, доклады и дипломные работы, курсовые работы бесплатно.