рефераты
Главная

Рефераты по международному публичному праву

Рефераты по международному частному праву

Рефераты по международным отношениям

Рефераты по культуре и искусству

Рефераты по менеджменту

Рефераты по металлургии

Рефераты по муниципальному праву

Рефераты по налогообложению

Рефераты по оккультизму и уфологии

Рефераты по педагогике

Рефераты по политологии

Рефераты по праву

Биографии

Рефераты по предпринимательству

Рефераты по психологии

Рефераты по радиоэлектронике

Рефераты по риторике

Рефераты по социологии

Рефераты по статистике

Рефераты по страхованию

Рефераты по строительству

Рефераты по таможенной системе

Сочинения по литературе и русскому языку

Рефераты по теории государства и права

Рефераты по теории организации

Рефераты по теплотехнике

Рефераты по технологии

Рефераты по товароведению

Рефераты по транспорту

Рефераты по трудовому праву

Рефераты по туризму

Рефераты по уголовному праву и процессу

Рефераты по управлению

Реферат: Энергосбережение в системах традиционного и альтернативного теплоснабжения

Реферат: Энергосбережение в системах традиционного и альтернативного теплоснабжения

Реферат по дисциплине «Энергосберегающие комплексы в системах теплоснабжения»

Выполнил: студент гр. ФТ-45 Лонский С. С.

Харьковский политехнический институт

Харьков 2011

Вступление

На сегодняшний день политика энергосбережения является приоритетным направлением развития систем энерго- и теплоснабжения. Фактически на каждом государственном предприятии составляются, утверждаются и воплощаются в жизнь планы энергосбережения и повышения энергоэффективности предприятий, цехов и пр..

В Украине принят ряд законов касающихся энергосбережения, составлен план развития энергетики страны на ближайшие 15 лет, направленный на увеличения доли использования альтернативных источников энергии, энергоэффективных технологий и повышения ее энергоэффективности в общем. Во всех сферах деятельности в нашем государстве стремятся уменьшить энергопотребление и потери энергии (в том числе и тепла).

Система теплоснабжения страны не исключение. Она довольно велика и громоздка, потребляет колоссальные объемы энергии и при этом происходят не менее колоссальные потери тепла и энергии.

Рассмотрим что из себя представляет система теплоснабжения, где происходят наибольшие потери и какие комплексы энергосберегающих мероприятий можно применить для увеличения «КПД» этой системы.

1 СИСТЕМЫ ТЕПЛОСНАБЖЕНИЯ

Теплоснабжение – снабжение теплом жилых, общественных и промышленных зданий (сооружений) для обеспечения коммунально-бытовых (отопление, вентиляция, горячее водоснабжение) и технологических нужд потребителей.

В большинстве случаев теплоснабжение – это создание комфортной среды в помещении – дома, на работе или в общественном месте. Теплоснабжение включает в себя также подогрев водопроводной воды и воды в плавательных бассейнах, обогрев теплиц и т.д.

Расстояние, на которое транспортируется тепло в современных системах централизованного теплоснабжения, достигает нескольких десятков км. Развитие систем теплоснабжения характеризуется повышением мощности источника тепла и единичных мощностей установленного оборудования. Тепловые мощности современных ТЭЦ достигают 2—4 Ткал/ч, районных котельных 300—500 Гкал/ч. В некоторых системах теплоснабжения осуществляется совместная работа нескольких источников тепла на общие тепловые сети, что повышает надёжность, манёвренность и экономичность теплоснабжения.

Нагретая в котельной вода может циркулировать непосредственно в системе отопления. Горячая вода нагревается в теплообменнике системы горячего водоснабжения (ГВС) до более низкой температуры, порядка 50–60 °С. Температура обратной воды может оказаться важным фактором защиты котла. Теплообменник не только передает тепло от одного контура другому, но и эффективно справляется с перепадом давлений, который существует между первым и вторым контурами.

Необходимая температура подогрева пола (30 °С) может быть получена путем регулирования темпера туры циркулирующей горячей воды. Перепад температур может быть также достигнут при использовании трехходового клапана, смешивающего в системе горячую воду с обратной. [1, 2]

Регулирование отпуска тепла в системах теплоснабжения (суточное, сезонное) осуществляется как в источнике тепла, так и в теплопотребляющих установках. В водяных системах теплоснабжения обычно производится так называемое центральное качественное регулирование подачи тепла по основному виду тепловой нагрузки — отоплению или по сочетанию двух видов нагрузки — отопления и горячего водоснабжения. Оно заключается в изменении температуры теплоносителя, подаваемого от источника теплоснабжения в тепловую сеть, в соответствии с принятым температурным графиком (то есть зависимостью требуемой температуры воды в сети от температуры наружного воздуха). Центральное качественное регулирование дополняется местным количественным в тепловых пунктах; последнее наиболее распространено при горячем водоснабжении и обычно осуществляется автоматически. В паровых системах теплоснабжения в основном производится местное количественное регулирование; давление пара в источнике теплоснабжения поддерживается постоянным, расход пара регулируется потребителями. [2]

1.1 Состав системы теплоснабжения

Система теплоснабжения состоит из следующих функциональных частей:

1) источник производства тепловой энергии (котельная, ТЭЦ, гелиоколлектор, устройства для утилизации тепловых отходов промышленности, установки для использования тепла геотермальных источников);

2) транспортирующие устройства тепловой энергии к помещениям (тепловые сети);

3) теплопотребляющие приборы, которые передают тепловую энергию потребителю (радиаторы отопления, калориферы). [2, 3]

1.2 Классификация систем теплоснабжения

По месту выработки теплоты системы теплоснабжения делятся на:

1) централизованные (источник производства тепловой энергии работает на теплоснабжение группы зданий и связан транспортными устройствами с приборами потребления тепла);

2) местные (потребитель и источник теплоснабжения находятся в одном помещении или в непосредственной близости).

Основные преимущества централизованного теплоснабжения перед местным — значительное снижение расхода топлива и эксплуатационных затрат (например, за счёт автоматизации котельных установок и повышения их кпд); возможность использования низкосортного топлива; уменьшение степени загрязнения воздушного бассейна и улучшение санитарного состояния населённых мест. В системах местного теплоснабжения источниками тепла служат печи, водогрейные котлы, водонагреватели (в том числе солнечные) и т. п.

По роду теплоносителя системы теплоснабжения делятся на:

1) водяные (с температурой до 150 °С);

2) паровые (под давлением 7—16 ат).

Вода служит в основном для покрытия коммунально-бытовых, а пар — технологических нагрузок. Выбор температуры и давления в системах теплоснабжения определяется требованиями потребителей и экономическими соображениями. С увеличением дальности транспортирования тепла возрастает экономически оправданное повышение параметров теплоносителя.

По способу подключения системы отопления к системе теплоснабжения последнии делятся на:

1) зависимые (теплоноситель, нагреваемый в теплогенераторе и транспортируемый по тепловым сетям, поступает непосредственно в теплопотребляющие приборы);

2) независимые (теплоноситель, циркулирующий по тепловым сетям, в теплообменнике нагревает теплоноситель, циркулирующий в системе отопления). (Рис.1)

В независимых системах установки потребителей гидравлически изолированы от тепловой сети. Такие системы применяются преимущественно в крупных городах — в целях повышения надёжности теплоснабжения, а также в тех случаях, когда режим давления в тепловой сети недопустим для тепло-потребляющих установок по условиям их прочности или же когда статическое давление, создаваемое последними, неприемлемо для тепловой сети (таковы, например, системы отопления высотных зданий).

Рисунок 1 – Принципиальные схемы систем теплоснабжения по способу подключения к ним систем отопления

По способу присоединения системы горячего водоснабжения к системе теплоснабжения:

1) закрытая;

2) открытая.

В закрытых системах на горячее водоснабжение поступает вода из водопровода, нагретая до требуемой температуры водой из тепловой сети в теплообменниках, установленных в тепловых пунктах. В открытых системах вода подаётся непосредственно из тепловой сети (непосредственный водоразбор). Утечка воды из-за неплотностей в системе, а также её расход на водоразбор компенсируются дополнительной подачей соответствующего количества воды в тепловую сеть. Для предотвращения коррозии и образования накипи на внутренней поверхности трубопровода вода, подаваемая в тепловую сеть, проходит водоподготовку и деаэрацию. В открытых системах вода должна также удовлетворять требованиям, предъявляемым к питьевой воде. Выбор системы определяется в основном наличием достаточного кол-ва воды питьевого качества, её коррозионными и накипеобразующими свойствами. В Украине получили распространение системы обоих типов.

По числу трубопроводов, используемых для переноса теплоносителя, различают системы теплоснабжения:

однотрубные;

двухтрубные;

многотрубные.

Однотрубные системы применяют в тех случаях, когда теплоноситель полностью используется потребителями и обратно не возвращается (например, в паровых системах без возврата конденсата и в открытых водяных системах, где вся поступающая от источника вода разбирается на горячее водоснабжение потребителей).

В двухтрубных системах теплоноситель полностью или частично возвращается к источнику тепла, где он подогревается и восполняется.

Многотрубные системы устраивают при необходимости выделения отдельных видов тепловой нагрузки (например, горячего водоснабжения), что упрощает регулирование отпуска тепла, режим эксплуатации и способы присоединения потребителей к тепловым сетям. В Украине преимущественное распространение получили двухтрубные системы теплоснабжения. [2, 3]

1.3 Виды потребителей тепла

Потребителями тепла системы теплоснабжения являются:

1) теплоиспользующие санитарно-технические системы зданий (системы отопления, вентиляции, кондиционирования воздуха, горячего водоснабжения);

2) технологические установки. [3]

Использование нагретой воды для отопления помещений – дело совершенно обычное. При этом применяются самые различные методы переноса энергии воды для создания комфортной среды в помещении. Один из самых распространенных – использование радиаторов отопления.

Альтернативой радиаторам отопления служит подогрев пола, когда отопительные контуры расположены под полом. Контур подогрева пола обычно подключен к контуру радиатора отопления.

Вентиляция – фанкойл, подающий горячий воздух в помещение, обычно используется в общественных зданиях. Часто применяют комбинацию отопительных устройств, например, радиаторов отопления и подогрева пола или радиаторов отопления и вентиляции.

Горячая водопроводная вода стала частью повседневной жизни и ежедневных потребностей. Поэтому установка для горячего водоснабжения должна быть надежной, гигиеничной и экономичной. [2]

По режиму потребления тепла в течение года различают две группы потребителей:

1) сезонные, нуждающиеся в тепле только в холодный период года (например, системы отопления);

2) круглогодичные, нуждающиеся в тепле весь год (системы горячего водоснабжения).

В зависимости от соотношения и режимов отдельных видов теплопотребления различают три характерные группы потребителей:

1) жилые здания (характерны сезонные расходы тепла на отопление и вентиляцию и круглогодичный — на горячее водоснабжение);

2) общественные здания (сезонные расходы тепла на отопление, вентиляцию и кондиционирование воздуха);

3) промышленные здания и сооружения, в том числе сельскохозяйственные комплексы (все виды теплопотребления, количественное отношение между которыми определяется видом производства).

2 ЦЕНТРАЛИЗОВАННОЕ ТЕПЛОСНАБЖЕНИЕ

2.1 Централизованное теплоснабжение

Централизованное теплоснабжение является экологически безопасным и надежным способом обеспечения теплом. Системы централизованного теплоснабжения распределяют горячую воду или, в некоторых случаях, пар из центральной котельной между многочисленными зданиями. Очень широк выбор источников, которые служат для получения тепла, включая сжигание нефти и природного газа или использование геотермальных вод. Использование тепла от низкотемпературных источников, например, геотермального тепла, возможно при применении теплообменников и тепловых насосов. Возможность использования неутилизированного тепла промышленных предприятий, излишков тепла от переработки отходов, промышленных процессов и канализации, целевых теплоцентралей или теплоэлектростанций в централизованном теплоснабжении, позволяет осуществить оптимальный выбор источника тепла с точки зрения и энергетической эффективности. Таким образом вы оптимизируете издержки и защищаете окружающую среду.

Горячая вода из котельной подается в теплообменник, который отделяет производственную площадку от распределительных трубопроводов сети центрального теплоснабжения. Затем тепло распределяется между конечными потребителями и через подстанции подается в соответствующие здания. В каждую из этих подстанций обычно входит по одному теплообменнику для отопления помещений и для горячего водоснабжения.

Существует несколько причин установки теплообменников для разделения теплоцентрали и сети центрального теплоснабжения. Там, где существуют значительные разности давлений и температур, которые могут нанести серьезный ущерб оборудованию и собственности, теплообменник может предохранить чувствительное отопительное и вентиляционное оборудование от попадания в них загрязненных или вызывающих коррозию сред. Еще одна важная причина разделения котельной, распределительной сети и конечных потребителей состоит в четком определении функций каждого компонента системы.

В теплоэлектроцентрали (ТЭЦ) тепло и электричество производятся одновременно, причем побочным продуктом является тепло. Тепло обычно применяется в системах центрального теплоснабжения, что ведет к повышению энергоэффективности и экономичности. Степень использования энергии, получаемой от сгорания топлива, составит 85–90 %. Эффективность будет выше на 35–40 %, чем в случае раздельного производства тепла и электроэнергии.

В ТЭЦ сжигание топлива разогревает воду, которая превращается в пар высокого давления и высокой температуры. Пар приводит в действие турбину, соединенную с генератором, производящим электроэнергию. После турбины пар конденсируется в теплообменнике. Тепло, выделенное в ходе этого процесса, затем подается в трубы центрального теплоснабжения и распределяется между конечными потребителями.

Для конечного потребителя централизованное теплоснабжение означает бесперебойное получение энергии. Система централизованного теплоснабжения более удобна и эффективна, чем небольшие индивидуальные системы отопления домов. Современные технологии сжигания топлива и очистки выбросов снижают негативное воздействие на окружающую среду.

В многоквартирных домах или других зданиях, отапливаемых центральными тепловыми пунктами, главным требованием является отопление, горячее водоснабжение, вентиляция и подогрев пола для большого количества потребителей при минимальных затратах энергии. Используя качественное оборудование в системе теплоснабжения, можно снизить общие расходы.

Другой очень важной задачей теплообменников в централизованном теплоснабжении является обеспечение безопасности внутренней системы путем отделения конечных потребителей от распределительной сети. Это необходимо из-за значительной разницы в величинах температур и давления. В случае аварии риск затопления может быть также сведен к минимуму.

В центральных тепловых пунктах часто встречается двухступенчатая схема подключения теплообменников (Рис.2, А). Такое подключение означает максимальное использование тепла и низкую температуру обратной воды при использовании системы горячего водоснабжения. Оно особенно выгодно при работе с теплоэлектроцентралью, где желательна низкая температура обратной воды. Данный тип подстанции может легко обеспечить теплоснабжение до 500 квартир, а иногда и более.

А) Двухступенчатое подключение Б) Параллельное подключение

Рисунок 2 – Схема подключения теплообменников

Параллельное подключение теплообменника ГВС (Рис.2, Б) менее сложно, чем двухступенчатое подключение, и может применяться при любом размере установки, которая не нуждается в низкой температуре обратной воды. Такое подключение обычно применяется для небольших и средних тепловых пунктов с нагрузкой приблизительно до 120 кВт. Схема присоединения водоподогревателей горячего водоснабжения в соответствии с СП 41-101-95.

Большинство систем централизованного теплоснабжения выдвигают высокие требования к установленному оборудованию. Оборудование должно быть надежным и гибким, обеспечивая необходимую безопасность. В некоторых системах оно должно также соответствовать очень высоким санитарно-гигиеническим стандартам. Еще один важный фактор в большинстве систем – это низкие эксплуатационные расходы. [1]

Однако в нашей стране система централизованного теплоснабжения находится в плачевном состоянии:

техническая оснащенность и уровень технологических решений при строительстве тепловых сетей соответствуют состоянию 1960-х годов, в то время как резко увеличились радиусы теплоснабжения, и произошел переход на новые типоразмеры диаметров труб;

качество металла теплопроводов, теплоизоляция, запорная и регулировочная арматура, конструкции и прокладка теплопроводов значительно уступает зарубежным аналогам, что приводит к большим потерям тепловой энергии в сетях;

плохие условия теплогидроизоляции теплопроводов и каналов тепловых сетей способствовали повышению повреждаемости подземных теплопроводов, что привело к серьезным проблемам замены оборудования тепловых сетей;

отечественное оборудование крупных ТЭЦ соответствует среднему зарубежному уров ню 1980-х годов, и в настоящее время паротурбинные ТЭЦ характеризуются высокой аварийностью, так как практически половина установленной мощности турбин выработала расчетный ресурс;

на действующих угольных ТЭЦ отсутствуют системы очистки дымовых газов от NOх и SOх, а эффективность улавливания твердых частиц часто не достигает требуемых значений;

конкурентоспособность СЦТ на современном этапе можно обеспечить только внедрением специально новых технических решений, как по структуре систем, так и по схемам, оборудованию энергоисточников и тепловых сетей. [4]

2.2 Эффективность систем централизованного теплоснабжения

Одним из важнейших условий нормальной работы системы теплоснабжения является создание гидравлического режима, обеспечивающего давления в тепловой сети достаточные для создания в теплопотребляющих установках расходов сетевой воды в соответствии с заданной тепловой нагрузкой. Нормальная работа систем теплопотребления суть обеспечение потребителей тепловой энергией соответствующего качества, и заключается для энергоснабжающей организации в выдерживании параметров режима теплоснабжения на уровне, регламентируемом Правилами Технической Эксплуатации (ПТЭ) электростанций и сетей РФ, ПТЭ тепловых энергоустановок. Гидравлический режим определяется характеристиками основных элементов системы теплоснабжения.

В процессе эксплуатации в действующей системе централизованного теплоснабжения из-за изменения характера тепловой нагрузки, подключения новых теплопотребителей, увеличения шероховатости трубопроводов, корректировки расчетной температуры на отопление, изменения температурного графика отпуска тепловой энергии (ТЭ) с источника ТЭ происходит, как правило, неравномерная подача тепла потребителям, завышение расходов сетевой воды и сокращение пропускной способности трубопроводов.

В дополнение к этому, как правило, существуют проблемы в системах теплопотребления. Такие как, разрегулированность режимов теплопотребления, разукомплектованность элеваторных узлов, самовольное нарушение потребителями схем присоединения (установленных проектами, техническими условиями и договорами). Указанные проблемы систем теплопотребления проявляются, в первую очередь, в разрегулированности всей системы, характеризующейся повышенными расходами теплоносителя. Как следствие – недостаточные (из-за повышенных потерь давления) располагаемые напоры теплоносителя на вводах, что в свою очередь приводит к желанию абонентов обеспечить необходимый перепад посредством слива сетевой воды из обратных трубопроводов для создания хотя бы минимальной циркуляции в отопительных приборах (нарушения схем присоединения и т.п.), что приводит к дополнительному увеличению расхода и, следовательно, к дополнительным потерям напора, и к появлению новых абонентов с пониженными перепадами давления и т.д. Происходит «цепная реакция» в направлении тотальной разрегулировки системы.

Все это оказывает негативное влияние на всю систему теплоснабжения и на деятельность энергоснабжающей организации: невозможность соблюдения температурного графика; повышенная подпитка системы теплоснабжения, а при исчерпании производительности водоподготовки – вынужденная подпитка сырой водой (следствие – внутренняя коррозия, преждевременный выход из строя трубопроводов и оборудования); вынужденное увеличение отпуска тепловой энергии для сокращения числа жалоб населения; увеличение эксплуатационных затрат в системе транспорта и распределения тепловой энергии.

Необходимо указать, что в системе теплоснабжения всегда имеет место взаимосвязь установившихся тепловых и гидравлических режимов. Изменение потокораспределения (его абсолютной величины включительно) всегда меняет условие теплообмена, как непосредственно на подогревательных установках, так и в системах теплопотребления. Результатом не нормальной работы системы теплоснабжения является, как правило, высокая температура обратной сетевой воды.

Следует отметить, что температура обратной сетевой воды на источнике тепловой энергии является одной из основных режимных характеристик, предназначенной для анализа состояния оборудования тепловых сетей и режимов работы системы теплоснабжения, а также для оценки эффективности мероприятий, проводимых организациями, эксплуатирующими тепловые сети, с целью повышения уровня эксплуатации системы теплоснабжения. Как правило, в случае разрегулировки системы теплоснабжения, фактическое значение данной температуры существенно отличается от своего нормативного, расчетного для данной системы теплоснабжения значения.

Таким образом, при разрегулировке системы теплоснабжения температура сетевой воды, как один из основных показателей режима отпуска и потребления тепловой энергии в системе теплоснабжения, оказывается: в подающем трубопроводе практически во всех интервалах отопительного сезона характеризуется пониженными значениями; температура обратной сетевой воды, несмотря на это, характеризуется повышенными значениями; перепад температур в подающих и обратных трубопроводах, а именно этот показатель (наряду с удельным расходом сетевой воды на присоединенную тепловую нагрузку) характеризует уровень качества потребления тепловой энергии, занижен по сравнению с требуемыми значениями.

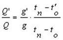
Следует отметить еще один аспект, связанный с увеличением относительно расчетного значения расхода сетевой воды на тепловой режим систем теплопотребления (отопления, вентиляции). Для непосредственного анализа целесообразно воспользоваться зависимостью, которая определяет в случае отклонения действительных параметров и конструктивных элементов системы теплоснабжения от расчетных, отношение действительного расхода тепловой энергии в системах теплопотребления к его расчетному значению.

 

(*)

где Q- расход тепловой энергии в системах теплопотребления;

g- расход сетевой воды;

tп и tо - температура в подающем и обратном трубопроводах.

Данная зависимость (*), отображена на рис.3. По оси ординат отложены отношения действительного расхода тепловой энергии к его расчетному значению, по оси абсцисс отношение действительного расхода сетевой воды к его расчетному значению.

Рисунок 3 – График зависимости расхода тепловой энергии системами

теплопотребления от расхода сетевой воды.

В качестве общих тенденций, необходимо указать, что, во-первых, увеличение расхода сетевой воды в n раз не вызывает соответствующего этому числу увеличения расхода тепловой энергии, то есть коэффициент расхода теплоты отстает от коэффициента расхода сетевой воды. Во-вторых, при уменьшении расхода сетевой воды подача теплоты в местную систему теплопотребления уменьшается тем быстрее, чем меньше фактический расход сетевой воды по сравнению с расчетным.

Таким образом, системы отопления и вентиляции весьма слабо реагируют на перерасход сетевой воды. Так, увеличение расхода сетевой воды на эти системы относительно расчетного значения на 50% вызывает увеличение теплопотребления только на 10%.

Точка на рис.3 с координатами (1;1) отображает расчетный, фактически достижимый режим работы системы теплоснабжения после проведения наладочных мероприятий. Под фактически достижимым режимом работы подразумевается такой режим, который характеризуется существующим положением конструктивных элементов системы теплоснабжения, тепловыми потерями зданиями и сооружениями и определяющимся суммарным расходом сетевой воды на выводах источника тепловой энергии, необходимым для обеспечения заданной тепловой нагрузки при существующем графике отпуска тепловой энергии.

Также следует отметить, что увеличенный расход сетевой воды, ввиду ограниченного значения пропускной способности тепловых сетей, приводит к уменьшению необходимых для нормальной работы теплопотребляющего оборудования значений располагаемых напоров на вводах потребителей. Следует отметить, что потери напора по тепловой сети определяются квадратичной зависимостью от расхода сетевой воды:

То есть, при увеличении фактического расхода сетевой воды GФ в 2 раза относительно расчетного значения GР потери напора по тепловой сети увеличиваются в 4 раза, что может привести к недопустимо малым располагаемым напорам на тепловых узлах потребителей и, следовательно, к недостаточному теплоснабжению этих потребителей, что может вызывать несанкционированный слив сетевой воды для создания циркуляции (самовольному нарушению потребителями схем присоединения и т.п.)

Дальнейшее развитие такой системы теплоснабжения по пути увеличения расхода теплоносителя, во-первых, потребует замены головных участков теплопроводов, дополнительной установки сетевых насосных агрегатов, увеличения производительности водоподготовки и т.п., во-вторых, ведет к еще большему увеличению дополнительных издержек - расходов на компенсацию электроэнергии, подпиточной воды, потерь тепловой энергии.

Таким образом, технически и экономически более обоснованным представляется развитие такой системы за счет улучшения ее качественных показателей - повышения температуры теплоносителя, перепадов давления, увеличения перепада температур (теплосъема), что невозможно без кардинального сокращения расходов теплоносителя (циркуляционного и на подпитку) в системах теплопотребления и, соответственно, во всей системе теплоснабжения.

Таким образом, главным мероприятием, которое может быть предложено для оптимизации такой системы теплоснабжения, является наладка гидравлического и теплового режима системы теплоснабжения. Техническая сущность данного мероприятия заключается в установлении потокораспределения в системе теплоснабжения исходя из расчетных (т.е. соответствующих присоединенной тепловой нагрузке и выбранному температурному графику) расходов сетевой воды для каждой системы теплопотребления. Это достигается установкой на вводах в системы теплопотребления соответствующих дросселирующих устройств (авторегуляторов, дроссельных шайб, сопел элеваторов), расчет которых производится исходя из расчетного перепада давлений на каждом вводе, который рассчитывается исходя из гидравлического и теплового расчета всей системы теплоснабжения.

Следует отметить, что создание нормального режима функционирования такой системы теплоснабжения не ограничивается только проведением наладочных мероприятий, необходимо также проведение работ по оптимизации гидравлического режима системы теплоснабжения.

Режимная наладка охватывает основные звенья системы централизованного теплоснабжения: водоподогревательную установку источника теплоты, центральные тепловые пункты (при наличии таковых), тепловую сеть, контрольно-распределительные пункты (при наличии), индивидуальные тепловые пункты и местные системы теплопотребления.

Наладка начинается с обследования системы централизованного теплоснабжения. Проводится сбор и анализ исходных данных по фактическим эксплуатационным режимам работы системы транспорта и распределения тепловой энергии, сведений по техническому состоянию тепловых сетей, степени оснащённости источника теплоты, тепловых сетей и абонентов коммерческими и технологическими средствами измерения. Анализируются применяемые режимы отпуска тепловой энергии, выявляются возможные дефекты проекта и монтажа, подбирается информация для анализа характеристики системы. Проводится анализ эксплуатационной (статистической) информации (ведомостей учета параметров теплоносителя, режимов отпуска и потребления энергии, фактических гидравлических и тепловых режимов тепловых сетей) при различных значениях температуры наружного воздуха в базовые периоды, полученной по показаниям штатных СИ, а также проводится анализ отчетов специализированных организаций.

Параллельно разрабатывается расчетная схема тепловых сетей. Создается математическая модель системы теплоснабжения на базе расчетного комплекса ZuluThermo, разработки Политерм (г. С-Петербург), способного моделировать фактический тепловой и гидравлический режим работы системы теплоснабжения.

Необходимо указать, что существует достаточно распространенный подход, который заключается в максимальном снижении финансовых затрат, связанных с разработкой мероприятий по наладке и оптимизации системы теплоснабжения, а именно - затраты ограничиваются приобретением специализированного программного комплекса.

«Подводным камнем» при таком подходе является достоверность исходных данных. Математическая модель системы теплоснабжения, созданная на основе недостоверных исходных данных по характеристикам основных элементов системы теплоснабжения, оказывается, как правило, неадекватной действительности. [5, 6]

2.3 Энергосбережение в системах ЦТ

В последнее время имеют место критические замечания по поводу централизованного теплоснабжения на базе теплофикации - совместной выработки тепловой и электрической энергии. Как основные недостатки отмечаются большие теплопотери в трубопроводах при транспорте тепла, снижение качества теплоснабжения из-за несоблюдения температурного графика и требуемых напоров у потребителей. Предлагается переходить на децентрализованное, автономное теплоснабжение от автоматизированных котельных, в том числе и расположенных на крышах зданий, обосновывая это меньшей стоимостью и отсутствием необходимости прокладки теплопроводов. Но при этом, как правило, не учитывается, что подключение тепловой нагрузки к котельной лишает возможности выработки дешевой электроэнергии на тепловом потреблении. Поэтому эта часть невыработанной электроэнергии должна замещаться производством ее по конденсационному циклу, КПД которого в 2-2, 5 раза ниже, чем по теплофикационному. Следовательно, и стоимость электроэнергии, потребляемой зданием, теплоснабжение которого осуществляется от котельной, должна быть выше, чем у здания, подключенного к теплофикационной системе теплоснабжения, а это вызовет резкое увеличение эксплуатационных расходов.

С. А. Чистович на юбилейной конференции "75 лет теплофикации в России", проходившей в Москве в ноябре 1999 г., предложил, чтобы домовые котельные дополняли централизованное теплоснабжение, выполняя роль пиковых источников тепла, где недостающая пропускная способность сетей не позволяет осуществлять качественное снабжение теплом потребителей. При этом как бы сохраняется теплофикация и повышается качество теплоснабжения, но от этого решения веет стагнацией и безысходностью. Необходимо, чтобы централизованное теплоснабжение полностью выполняло свои функции. Ведь в теплофикации есть свои мощные пиковые котельные, и очевидно, что одна такая котельная будет экономичней сотен мелких, а если недостаточна пропускная способность сетей, то надо перекладывать сети или отсекать эту нагрузку от сетей, чтобы она не нарушала качество теплоснабжения других потребителей.

Большого успеха в теплофикации добилась Дания, которая, несмотря на низкую концентрацию тепловой нагрузки на 1 м2 площади поверхности, опережает нас по охвату теплофикацией на душу населения. В Дании проводится специальная государственная политика по предпочтению подключения к централизованному теплоснабжению новых потребителей тепла. В Западной Германии, например в г. Манхейме, быстрыми темпами развивается централизованное теплоснабжение на базе теплофикации. В Восточных землях, где, ориентируясь на нашу страну, также широко применялась теплофикация, несмотря на отказ от панельного домостроения, от ЦТП в жилых микрорайонах, оказавшимися неэффективными в условиях рыночной экономики и западного образа жизни, продолжает развиваться область централизованного теплоснабжения на базе теплофикации как наиболее экологически чистая и экономически выгодная.

Все сказанное свидетельствует о том, что на новом этапе мы должны не потерять свои передовые позиции в области теплофикации, а для этого необходимо выполнить модернизацию системы централизованного теплоснабжения, чтобы повысить ее привлекательность и эффективность.

Все плюсы совместной выработки тепла и электрической энергии относились на сторону электроэнергии, централизованное теплоснабжение финансировалось по остаточному принципу - порой ТЭЦ уже была построена, а тепловые сети еще не подведены. В результате создавались теплопроводы низкого качества с плохой изоляцией и неэффективным дренажом, подключение потребителей тепла к тепловым сетям осуществлялось без автоматического регулирования нагрузки, в лучшем случае с применением гидравлических регуляторов стабилизации расхода теплоносителя очень низкого качества.

Это вынуждало выполнять отпуск тепла от источника по методу центрального качественного регулирования (путем изменения температуры теплоносителя в зависимости от наружной температуры по единому графику для всех потребителей с постоянной циркуляцией в сетях), что приводило к значительному перерасходу тепла потребителями из-за различий их режима эксплуатации и невозможности совместной работы нескольких источников тепла на единую сеть для осуществления взаимного резервирования. Отсутствие или неэффективность действия регулировочных устройств в местах подключения потребителей к тепловым сетям вызвало также перерасход объема теплоносителя. Это приводило к росту температуры обратной воды до такой степени, что появлялась опасность выхода из строя станционных циркуляционных насосов и это вынуждало снижать отпуск тепла на источнике, нарушая температурный график даже в условиях достаточной мощности.

В отличие от нас, в Дании, например, все выгоды теплофикации в первые 12 лет отдаются на сторону тепловой энергии, а затем делятся пополам с электрической энергией. В результате Дания оказалась первой страной, где были изготовлены предварительно изолированные трубы для бесканальной прокладки с герметичным покровным слоем и автоматической системой обнаружения утечек, что резко снизило потери тепла при его транспортировке. В Дании впервые были изобретены бесшумные, безопорные циркуляционные насосы "мокрого хода", приборы учета тепла и эффективные системы авторегулирования тепловой нагрузки, что позволило сооружать непосредственно в зданиях у потребителей автоматизированные индивидуальные тепловые пункты (ИТП) с автоматическим регулированием подачи и учета тепла в местах его использования.

Поголовная автоматизация всех потребителей тепла позволила: отказаться от качественного метода центрального регулирования на источнике тепла, вызывающего нежелательные температурные колебания в трубопроводах теплосети; снизить максимальные параметры температуры воды до 110-1200С; обеспечить возможность работы нескольких источников тепла, включая мусоросжигательные заводы, на единую сеть с наиболее эффективным использованием каждого.

Температура воды в подающем трубопроводе тепловых сетей меняется в зависимости от уровня установившейся температуры наружного воздуха тремя ступенями: 120-100-80°С или 100-85-70°С (намечается тенденция к еще большему снижению этой температуры). А внутри каждой ступени, в зависимости от изменения нагрузки или отклонения наружной температуры, меняется расход циркулирующего в тепловых сетях теплоносителя по сигналу фиксируемой величины перепада давлений между подающим и обратным трубопроводами - если перепад давлений снижается ниже заданного значения, то на станциях включаются последующие теплогенерирующие и насосные установки. Теплоснабжающие компании гарантируют каждому потребителю заданный минимальный уровень перепада давлений в подводящих сетях.

Подключение потребителей проводится через теплообменники, причем, на наш взгляд, применяется избыточное количество ступеней подключения, что вызвано, видимо, границами владений собственностью. Так, была продемонстрирована следующая схема подключения: к магистральным сетям с расчетными параметрами в 125°С, находящимся в ведении производителя энергии, через теплообменник, после которого температура воды в подающем трубопроводе снижается до 120°С, подключаются разводящие сети, находящиеся в муниципальной собственности.

Уровень поддержания этой температуры задается электронным регулятором, воздействующем на клапан, устанавливаемый на обратном трубопроводе первичного контура. Во вторичном контуре циркуляция теплоносителя осуществляется насосами. Присоединение к этим разводящим сетям местных систем отопления и горячего водоснабжения отдельных зданий выполняется через самостоятельные теплообменники, устанавливаемые в подвалах этих зданий с полным набором приборов регулирования и учета тепла. Причем регулирование температуры воды, циркулирующей в местной системе отопления, выполняется по графику в зависимости от изменения температуры наружного воздуха. В расчетных условиях максимальная температура воды достигает 95°С, в последнее время наблюдается тенденция ее снижения до 75-70°С, максимальное значение температуры обратной воды, соответственно, 70 и 50°С.

Подключение тепловых пунктов отдельных зданий выполняется по стандартным схемам с параллельным присоединением емкостного водонагревателя горячего водоснабжения либо по двухступенчатой схеме с использованием потенциала теплоносителя из обратного трубопровода после водонагревателя отопления с применением скоростных теплообменников горячего водоснабжения, при этом возможно использование напорного бака-аккумулятора горячей воды с насосом для зарядки бака. В контуре отопления для сбора воды при ее расширении от нагревания используются напорные мембранные баки, у нас большее применение имеют атмосферные расширительные баки, устанавливаемые в верхней точке системы.

Для стабилизации работы регулирующих клапанов на вводе в тепловой пункт обычно устанавливают гидравлический регулятор постоянства перепада давлений. А для выведения на оптимальный режим работы систем отопления с насосной циркуляцией и облегчения распределения теплоносителя по стоякам системы - "клапан-партнер" в виде балансового вентиля, позволяющего по замеренной на нем величине потерь давления выставить правильный расход циркулирующего теплоносителя.

В Дании не обращают особого внимания на увеличение расчетного расхода теплоносителя на тепловой пункт при включении нагрева воды на бытовые нужды. В Германии законодательно запрещено учитывать при подборе мощности тепла нагрузку на горячее водоснабжение, и при автоматизации тепловых пунктов принято, что при включении водонагревателя горячего водоснабжения и при заполнении бака-аккумулятора выключаются насосы, обеспечивающие циркуляцию в системе отопления, т. е. прекращается подача тепла на отопление.

В нашей стране также придается серьезное значение недопущению увеличения мощности источника тепла и расчетного расхода теплоносителя, циркулирующего в тепловой сети в часы прохождения максимума горячего водоснабжения. Но принятое в Германии для этой цели решение не может быть применено в наших условиях, поскольку у нас значительно выше соотношение нагрузок горячего водоснабжения и отопления, из-за большой величины абсолютного потребления бытовой воды и большей плотности заселения.

В соответствии с действующим в Украине СНиП 2.04.07-86* при выборе мощности источника тепла и при определении расчетного расхода теплоносителя для подбора диаметра трубопроводов тепловой сети учитывают среднечасовую за отопительный период нагрузку горячего водоснабжения. Поэтому при автоматизации тепловых пунктов потребителей применяют ограничение максимального расхода воды из тепловой сети при превышении заданного значения, определенного исходя из среднечасовой нагрузки ГВС. При теплоснабжении жилых микрорайонов это выполняется путем прикрытия клапана регулятора подачи тепла на отопление в часы прохождения максимума водопотребления. Задавая регулятору отопления некоторое завышение поддерживаемого графика температуры теплоносителя, возникающий при прохождении максимума водораздела недогрев в системе отопления компенсируется в периоды водоразбора ниже среднего (в пределах заданного расхода воды из тепловой сети - связанное регулирование).

Датчиком расхода воды, который является сигналом для ограничения, служит измеритель расхода воды, входящий в комплект теплосчетчика, установленного на вводе теплосети в ЦТП или ИТП. Регулятор перепада давлений на вводе не может служить ограничителем расхода, т. к. он обеспечвает заданный перепад давлений в условиях полного открытия клапанов регулятора отопления и горячего водоснабжения, установленных параллельно.

С целью повышения эффективности совместной выработки тепловой и электрической энергии и выравнивания максимума энергопотребления в Дании нашли широкое применение тепловые аккумуляторы, которые устанавливаются у источника. Нижняя часть аккумулятора соединена с обратным трубопроводом тепловой сети, верхняя через подвижный диффузор с подающим трубопроводом. При сокращении циркуляции в распределительных тепловых сетях происходит зарядка бака. При увеличении циркуляции излишний расход теплоносителя из обратного трубопровода поступает в бак, а горячая вода выдавливается из него. Необходимость теплоаккумуляторов возрастает в ТЭЦ с противодавленческими турбинами, в которых соотношение вырабатываемой электрической и тепловой энергии фиксировано.

Если расчетная температура воды, циркулирующей в тепловых сетях, ниже 100°С, то применяют баки-аккумуляторы атмосферного типа, при более высокой расчетной температуре в баках создается давление, обеспечивающее невскипание горячей воды.

Однако, установка термостатов вместе с измерителями теплового потока на каждый отопительный прибор ведет к почти двойному удорожанию системы отопления, а в однотрубной схеме, кроме того, увеличивается необходимая поверхность нагрева приборов до 15% и имеет место существенная остаточная теплоотдача приборов в закрытом положении термостата, что снижает эффективность авторегулирования. Поэтому альтернативой таким системам, особенно в недорогом муниципальном строительстве, являются системы пофасадного автоматического регулирования отопления - для протяженных зданий и центральные с коррекцией температурного графика по отклонению температуры воздуха в сборных каналах вытяжной вентиляции из кухонь квартир - для точечных зданий или зданий со сложной конфигурацией.

Однако надо иметь в виду, что при реконструкции существующих жилых зданий для установки термостатов необходимо со сваркой входить в каждую квартиру. В то же время при организации пофасадного авторегулирования достаточно врезать перемычки между пофасадными ветками секционных систем отопления в подвале и на чердаке, а для 9-этажных бесчердачных зданий массового строительства 60-70-х годов - только в подвале.

Следует отметить, что новое строительство в год не превышает по объему 1-2% сложившегося жилого фонда. Это свидетельствует о том, какое важное значение приобретает реконструкция существующих зданий с целью снижения затрат тепла на отопление. Однако все здания сразу автоматизировать невозможно, а в условиях, когда автоматизируются несколько зданий, реальная экономия не достигается, т. к. сэкономленный на автоматизированных объектах теплоноситель перераспределяется между неавтоматизированными. Отмеченное еще раз подтверждает, что необходимо опережающими темпами возводить КРП на существующих тепловых сетях, поскольку значительно легче автоматизировать одновременно все здания, питающиеся от одного КРП, чем от ТЭЦ, а другие уже созданные КРП не пропустят лишнее количество теплоносителя в свои распределительные сети.

Все вышеизложенное не исключает возможности подключения отдельных зданий к котельным при соответствующем технико-экономическом обосновании с увеличением тарифа на потребляемую электроэнергию (например, когда необходима прокладка или перекладка большого количества сетей). Но в условиях сложившейся системы централизованного теплоснабжения от ТЭЦ это должно иметь локальный характер. Не исключается возможность применения тепловых насосов, передачи части нагрузки на ПГУ и ГТУ, но при существующей конъюнктуре цен на топливо и энергоносители это не всегда рентабельно.

Теплоснабжение жилых зданий и микрорайонов в нашей стране, как правило, осуществляется через групповые тепловые пункты (ЦТП), после которых отдельные здания снабжаются по самостоятельным трубопроводам горячей водой на отопление и на бытовые нужды водопроводной водой, нагретой в теплообменниках, установленных в ЦТП. Порой из ЦТП выходит до 8 теплопроводов (при 2-зонной системе горячего водоснабжения и наличии значительной вентиляционной нагрузки), причем хотя и применяются оцинкованные трубопроводы горячего водоснабжения, но из-за отсутствия химводоподготовки они подвергаются интенсивной коррозии и после 3-5 лет эксплуатации на них появляются свищи.

В настоящее время в связи с приватизацией жилища и предприятий сферы обслуживания, а также с ростом стоимости энергоносителей, актуальным является переход от групповых тепловых пунктов к индивидуальным (ИТП), расположенным в отапливаемом здании. Это позволяет применить более эффективную систему пофасадного авторегулирования отопления для протяженных зданий или центральную с коррекцией по температуре внутреннего воздуха в точечных зданиях, позволяет отказаться от распределительных сетей горячего водоснабжения, снизив потери тепла при транспортировке и расход электроэнергии на перекачку бытовой горячей воды. Причем это целесообразно делать не только в новом строительстве, но и при реконструкции существующих зданий. Такой опыт есть в Восточных землях Германии, где так же, как и у нас сооружались ЦТП, но сейчас их оставляют только как насосные водопроводные подкачивающие станции (при необходимости), а теплообменное оборудование вместе с циркуляционными насосами, узлами регулирования и учета переносят в ИТП зданий. Внутриквартальные сети не прокладывают, трубопроводы горячего водоснабжения оставляют в земле, а трубопроводы отопления, как более долговечные, используют для подачи перегретой воды в здания.

Для повышения управляемости тепловыми сетями, к которым будет подключено большое количество ИТП, и для обеспечения возможности резервирования в автоматическом режиме следует вернуться к устройству контрольно-распределительных пунктов (КРП) в местах подключения распределительных сетей к магистральным. Каждый КРП подключается к магистрали с обеих сторон секционных задвижек и обслуживает потребителей с тепловой нагрузкой 50-100 МВт. В КРП устанавливаются переключающие электрозадвижки на вводе, регуляторы давления, циркуляционно-подмешивающие насосы, регулятор температуры, предохранительный клапан, приборы учета расходов тепла и теплоносителя, приборы контроля и телемеханики.

Схема автоматизации КРП обеспечивает поддержание давления на постоянном минимальном уровне в обратной линии; поддержание постоянного заданного перепада давлений в распределительной сети; снижение и поддержание по заданному графику температуры воды в подающем трубопроводе распределительной сети. Вследствие этого в режиме резервирования возможна подача по магистралям от ТЭЦ уменьшенного количества циркуляционной воды с повышенной температурой без нарушения температурного и гидравлического режимов в распределительных сетях.

КРП должны располагаться в наземных павильонах, они могут блокироваться с водопроводными подкачивающими станциями (это позволит в большинстве случаев отказаться от установки высоконапорных, а потому более шумных насосов в зданиях), и могут служить границей балансовой принадлежности теплоотпускающей организации и теплораспределяющей (следующей границей между теплораспределяющей и теплоиспользующей организациями будет стена здания). Причем находиться КРП должны в ведении теплотпускающей организации, поскольку они служат для управления и резервирования магистральных сетей и обеспечивают возможность работы нескольких источников тепла на эти сети, с учетом поддержания заданных теплораспределяющей организацией параметров теплоносителя на выходе из КРП.

Правильное использование теплоносителя со стороны теплопотребителя обеспечивается применением эффективных систем автоматизации управления. Сейчас имеется большое количество компьютерных систем, которые могут выполнить любые по сложности задачи управления, но определяющими остаются технологические задания и схемные решения подключения систем теплопотребления.

В последнее время стали строить системы водяного отопления с термостатами, которые осуществляют индивидуальное автоматическое регулирование теплоотдачи отопительных приборов по температуре воздуха в помещении, где установлен прибор. Такие системы широко применяются за рубежом с дополнением обязательного измерения количества тепла, используемого прибором, в долях от общего теплопотребления системой отопления здания.

В нашей стране в массовом строительстве такие системы стали применять при элеваторном присоединении к тепловым сетям. Но элеватор устроен таким образом, что при неизменном диаметре сопла и одном и том же располагаемом напоре он пропускает постоянный расход теплоносителя через сопло, независимо от изменения расхода воды, циркулирующей в системе отопления. В результате в 2-трубных системах отопления, в которых термостаты, закрываясь, приводят к сокращению расхода теплоносителя, циркулирующего в системе, при элеваторном присоединении будет расти температура воды в подающем трубопроводе, а затем и в обратном, что приведет к увеличению теплоотдачи нерегулируемой части системы (стояков) и к недоиспользованию теплоносителя.

В однотрубной системе отопления с постоянно действующими замыкающими участками при закрывании термостатов горячая вода без остывания сбрасывается в стояк, что также приводит к росту температуры воды в обратном трубопроводе и за счет постоянства коэффициента смешения в элеваторе - к подъему температуры воды в подающем трубопроводе, а поэтому к тем же последствиям, как и в 2-трубной системе. Поэтому в таких системах обязательно осуществление автоматического регулирования температуры воды в подающем трубопроводе по графику в зависимости от изменения температуры наружного воздуха. Такое регулирование возможно за счет изменения схемного решения подключения системы отопления к тепловой сети: заменой обычного элеватора на регулируемый, путем применения насосного смешения с регулирующим клапаном или путем присоединения через теплообменник с насосной циркуляцией и регулирующим клапаном на сетевой воде перед теплообменником. [

3 ДЕЦЕНТРАЛИЗОВАННОЕ ТЕПЛОСНАБЖЕНИЕ

3.1 Перспективы развития децентрализованного теплоснабжения

Ранее принятые решения о закрытии малых котельных (под предлогом их низкой эффективности, технической и экологической опасности) сегодня обернулись сверх централизацией теплоснабжения, когда горячая вода проходит от ТЭЦ до потребителя путь в 25-30 км, когда отключение источника тепла из-за неплатежей или аварийной ситуации приводит к замерзанию городов с миллионным населением.

Большинство индустриально развитых стран шло другим путем: совершенствовали теплогенерирующее оборудование повышая уровень его безопасности и автоматизации, КПД газогорелочных устройств, санитарно гигиенические, экологические, эргономические и эстетические показатели; создали всеобъемлющую систему учёта энергоресурсов всеми потребителями; приводили нормативно-техническую базу в соответствие с требованиями целесообразности и удобства потребителя; оптимизировали уровень централизации теплоснабжения; перешли к широкому внедрению альтернативных источников тепловой энергии. Результатом такой работы стало реальное энергосбережение во всех сферах экономике, включая ЖКХ.

Постепенное увеличение доли децентрализованного теплоснабжения, максимальная приближения источника тепла к потребителю, учёт потребителем всех видов энергоресурсов позволят не только создать потребителю более комфортные условия, но и обеспечить реальную экономию газового топлива.

Современная система децентрализованного теплоснабжения представляет сложный комплекс функционально взаимосвязанного оборудования, включающего автономную теплогенерирующую установку и инженерные системы здания (горячее водоснабжение, системы отопления и вентиляции). Основными элементами системы поквартирного отопления, представляющего собой вид децентрализованного теплоснабжения, при котором каждая квартира в многоквартирном доме оборудуется автономной системой обеспечения теплотой и горячей водой, являются отопительный котел, отопительные приборы, системы подачи воздуха и отвода продуктов сгорания. Разводка выполняется с применением стальной трубы или современных теплопроводных систем - пластиковых или металлопластиковых. [4]

Традиционное для нашей страны система централизованного снабжения теплом через ТЭЦ и магистральные теплопроводы, известна и обладает рядом достоинств. Но в условиях перехода к новым хозяйственным механизмам, известной экономической нестабильности и слабости межрегиональных, межведомственных связей, многие из достоинств системы централизованного теплоснабжения оборачиваются недостатками.

Главным из которых является протяженность теплотрасс. Cредний процент изношенности которых оценивается в 60-70% . Удельная повреждаемость теплопроводов в настоящее время выросла до 200 зарегистрированных повреждений в год на 100 км тепловых сетей . По экстренной оценке не менее 15% тепловых сетей требуют безотлагательной замены. В дополнению к этому, за последние 10 лет в результате недофинансирования практически не обновлялся основной фонд отрасли. Вследствие этого, потери теплоэнергии при производстве, транспортировке и потреблении достигли 70%, что привело к низкому качеству теплоснабжения при высоких затратах.

Организационная структура взаимодействия потребителей и теплоснабжающих предприятий не стимулирует последних к экономии энергетических ресурсов. Система тарифов и дотаций не отражает реальных затрат на теплоснабжение.

В целом, критическое положение, в котором оказалась отрасль, предполагает в ближайшем будущем возникновение крупномасштабной кризисной ситуации в сфере теплоснабжения для разрешения которой потребуются колоссальные финансовые вложения.

Насущный вопрос – разумная децентрализация теплоснабжения, поквартирное теплоснабжение. Децентрализация теплоснабжения (ДТ) – наиболее радикальный, эффективный и дешёвый способ устранения многих недостатков. Обоснованное применения ДТ в сочетании с энергосберегающими мероприятиями при строительстве и реконструкции зданий даст большую экономию энергоресурсов в Украине. В сложившихся сложных условиях единственным выходом является создание и развитие системы ДТ за счёт применения автономных тепло источников.

По квартирное теплоснабжение – это автономное обеспечение теплом и горячей водой индивидуального дома или отдельной квартиры в многоэтажном здании. Основными элементами таких автономных систем является: теплогенераторы – отопительные приборы, трубопроводы отопления и горячего водоснабжения, системы подачи топлива, воздуха и дымоудаления.

Объективными предпосылками внедрения автономных (децентрализованных) систем теплоснабжения является:

отсутствие в ряде случаев свободных мощностей на централизованных источниках;

уплотнение застройки городских районов объектами жилья;

кроме того, значительная часть застройки приходится на местности с неразвитой инженерной инфраструктурой;

более низкие капиталовложения и возможность поэтапного покрытия тепловых нагрузок;

возможность поддержания комфортных условий в квартире по своему собственному желанию, что в свою очередь является более привлекательным по сравнению с квартирами при централизованном теплоснабжении, температура в которых зависит от директивного решения о начале и окончании отопительного периода;

появление на рынке большого количества различных модификаций отечественных и импортных (зарубежных) теплогенераторов малой мощности.

Сегодня разработаны и серийно выпускаются модульные котельные установки, предназначенные для организации автономного ДТ. Блочно-модульный принцип построения обеспечивает возможность простого построения котельной необходимой мощности. Отсутствие необходимости прокладки теплотрасс и строительства здания котельной снижают стоимость коммуникаций и позволяют существенно повысить темпы нового строительства. Кроме того, это дает возможность использовать такие котельные для оперативного обеспечения теплоснабжения в условиях аварийных и чрезвычайных ситуаций в период отопительного сезона.

Блочные котельные представляют собой полностью функционально законченное изделие, оснащены всеми необходимыми приборами автоматики и безопасности. Уровень автоматизации обеспечивает бесперебойную работу всего оборудования без постоянного присутствия оператора.

Автоматика отслеживает потребность объекта в тепле в зависимости от погодных условий и самостоятельно регулирует работу всех систем для обеспечения заданных режимов. Этим достигается более качественное соблюдение теплового графика и дополнительная экономия топлива. В случае возникновения нештатных ситуаций, утечек газа, система безопасности автоматически прекращает подачу газа и предотвращает возможность аварий.

Многие предприятия, сориентировавшиеся к сегодняшним условиям и просчитав экономическую выгоду, уходят от централизованного теплоснабжения, от отдалённых и энергоёмких котельных.

Достоинствами децентрализованного теплоснабжения являются:

отсутствие необходимости отводов земли под тепловые сети и котельные;

снижение потерь теплоты из-за отсутствия внешних тепловых сетей, снижение потерь сетевой воды, уменьшение затрат на водоподготовку;

значительное снижение затрат на ремонт и обслуживание оборудование;

полная автоматизация режимов потребления.

Если брать во внимание недостаток автономного отопления от небольших котельных и относительно невысоких дымоотводящих труб и в связи с этим нарушение экологии, то значительное уменьшение потребления газа, связанное с демонтажем старой котельной, снижает и выбросы в 7 раз!

При всех достоинствах, у децентрализованного теплоснабжения имеются и негативные стороны. У мелких котельных, в том числе и "крышных", высота дымовых труб, как правило, значительно ниже, чем у крупных, из-за резко ухудшаются условия рассеивания. Кроме того, небольшие котельные располагаются, как правило, вблизи жилой зоны.

Внедрение программ децентрализации источников тепла позволяет в два раза сократить потребность в природном газе и в несколько раз снизить затраты на теплоснабжение конечных потребителей. Принципы энергосбережения, заложенные в действующей системе теплоснабжения украинских городов, стимулируют появление новых технологий и подходов, способных решить эту проблему в полной мере, а экономическая эффективность ДТ делает эту сферу весьма привлекательной в инвестиции.[8]

Применение поквартирной системы теплоснабжения многоэтажных жилых домов позволяет полностью исключить потери тепла в тепловых сетях и при распределении между потребителями, и значительно снизить потери на источнике. Позволит организовать индивидуальный учет и регулирование потребления теплоты в зависимости от экономических возможностей и физиологических потребностей. Поквартирное теплоснабжение приведет к снижению единовременных капитальных вложений и эксплуатационных затрат, а также позволяет экономить энергетические и сырьевые ресурсы на выработку тепловой энергии и как следствие этого, приводит к уменьшению нагрузки на экологическую обстановку.

Поквартирная система теплоснабжения является экономически, энергетически, экологически эффективным решением вопроса теплоснабжения для многоэтажных домов. И все-таки, необходимо проводить всесторонний анализ эффективности применения той или иной системы теплоснабжения, принимая во внимание множество факторов. [5]

Таким образом, анализ составляющих потерь при автономном теплоснабжении позволяет:

1) для существующего жилого фонда повысить коэффициент энергетической эффективности теплоснабжения до 0, 67 против 0, 3 при централизованном теплоснабжении;

2) для нового строительства только за счет увеличения термического сопротивления ограждающих конструкций повысить коэффициент энергетической эффективности теплоснабжения до 0, 77 против 0, 45 при централизованном теплоснабжении;

3) при использовании всего комплекса энергосберегающих технологий повысить коэффициент до 0, 85 против 0, 66 при централизованном теплоснабжении. [9]

3.2 Энергоэффективные решения для ДТ

При автономном теплоснабжении можно использовать новые технические и технологические решения, позволяющие полностью устранить или значительно сократить все непроизводительные потери в цепи выработки, транспортировки, распределения и потребления тепла, и не просто путем строительства мини-котельной, а возможностью использования новых энергосберегающих и эффективных технологий, таких как:

1) переход на принципиально новую систему количественного регулирования выработки и отпуска тепла на источнике;

2)эффективное использование частотно-регулируемого электропривода на всех насосных агрегатах;

3) сокращение протяженности циркуляционных тепловых сетей и уменьшение их диаметра;

4) отказ от строительства центральных тепловых пунктов;

5) переход на принципиально новую схему индивидуальных тепловых пунктов с количественно-качественным регулированием в зависимости от текущей температуры наружного воздуха с помощью многоскоростных смесительных насосов и трехходовых кранов регуляторов;

6) установка "плавающего" гидравлического режима тепловой сети и полный отказ от гидравлической увязки подсоединенных к сети потребителей;

7) установка регулирующих термостатов на отопительных приборах квартир;

8) поквартирная разводка систем отопления с установкой индивидуальных счетчиков потребления тепла;

9) автоматическое поддержание постоянного давления на водоразборных устройствах горячего водоснабжения у потребителей.

Реализация указанных технологий позволяет в первую очередь минимизировать все потери и создает условия совпадения по времени режимов количества выработанного и потребленного тепла.

3.3 Выгоды децентрализованного теплоснабжения

Если проследить всю цепь: источник-транспорт-распределение-потребитель, то можно отметить следующее:

1 Источник тепла - значительно сокращается отвод земельного участка, удешевляется строительная часть (под оборудование не требуется фундаментов). Установленную мощность источника можно выбрать почти равной потребляемой, при этом предоставляется возможность не учитывать нагрузку горячего водоснабжения, так как в часы максимум она компенсируется аккумулирующей способностью здания потребителя. Сегодня это резерв. Упрощается и удешевляется схема регулирования. Исключаются потери тепла за счет несовпадения режимов выработки и потребления, соответствие которых устанавливается автоматически. Практически, остаются только потери, связанные с КПД котлоагрегата. Таким образом, на источнике имеется возможность сократить потери более чем в 3 раза.

2 Тепловые сети - сокращается протяженность, уменьшаются диаметры, сеть становится более ремонтопригодной. Постоянный температурный режим повышает коррозионную устойчивость материала труб. Уменьшается количество циркуляционной воды, ее потери с утечками. Отпадает необходимость сооружения сложной схемы водоподготовки. Отпадает необходимость поддержания гарантированного перепада давления перед вводом потребителя, и в связи с этим не нужно принимать меры по гидравлической увязке тепловой сети, так как эти параметры устанавливаются автоматически. Специалисты представляют, какая это сложная проблема - ежегодно производить гидравлический расчет и выполнять работы по гидравлической увязке разветвленной тепловой сети. Таким образом, потери в тепловых сетях снижаются почти на порядок, а в случае устройства крышной котельной для одного потребителя этих потерь вообще нет.

3 Распределительные системы ЦТП и ИТП. Необходимость в ЦТП отпадает, и отсутствуют потери, связанные с ним. Схема индивидуального теплового пункта с количественно-качественным регулированием, многоскоростным смесительным насосом в контуре отопления как при зависимом, так и независимом присоединении, а также с многоскоростным циркуляционным насосом по греющей среде в контуре горячего водоснабжения, делает его независимым от гидравлического режима тепловой сети. Кроме того, ИТП автоматически устанавливает свой гидравлический режим во внутренних системах потребителя и автоматический тепловой режим по погодному регулятору, забирая из сети ровно столько тепла, сколько в текущий момент необходимо потребителю, совершенно не влияет и не зависит от условий работы соседних потребителей.

Автоматически устанавливаются режимы ночного и дневного времени. Потери сокращаются в 5-6 раз. Контроль за работой всех автономных источников за исключением АИТ коммунальной зоны осуществляется из единого диспетчерского пункта района. Такое решение существенно сокращает эксплуатационные затраты.

4 Внутренние системы потребления, существующие или проектируемые по традиционным технологиям, должны оснащаться регуляторами циркуляции на стояках и термостатами на отопительных приборах.

Новые системы должны быть с поквартирной разводкой системы отопления и установкой на вводах регулятора потребления тепла по датчику температуры внутри помещения и счетчиком потребления тепла.

Использование в проекте теплоснабжения жилого района энергосберегающих технологий и эффективных технических решений позволяет:

1 Снизить:

- суммарную установленную мощность источников тепла на 20%;

- годовую выработку тепла и, соответственно, годовой расход топлива на 41%;

- годовой расход электроэнергии в 2, 5 раза;

- количество воды на подпитку тепловой сети более чем в 5 раз.

2 Сократить:

- протяженность тепловых сетей на 40, 3 км (наиболее трудоемкую и капиталоемкую ее часть - магистральные);

- капитальные вложения на строительство на 53%, в т. ч. на источники тепла на 39, 6%, а на тепловые сети почти в 2, 8 раза.

3 Уменьшить стоимость потребляемого тепла более чем в 1, 5 раза. [9]

Значительные трудности при внедрении новых энергоэффективных технологий возникают при согласовании с надзорными и согласующими органами.

4 Энергоаудит систем теплоснабжения

Энергетический баланс систем генерирования и потребления теплоты и электрической энергии «котельная — тепловые сети — система отопления здания (или технологическое теплоснабжение)» показывает, что среднестатистический коэффициент полезного использования энергии составляет не более 40 %. Таким образом, около 60 % тепловой энергии теряется с уходящими газами котельных, технологических печей, сушильных и пропарочных камер, в тепловых сетях, через наружные ограждения общественных и жилых зданий.

Для выявления причин низкой эффективности полезного использования тепловой энергии необходимо проводить мероприятия по энергоаудиту общественных и жилых зданий, потребителей энергии, технологических установок и котельных. Это позволит проанализировать причины теплопотерь и разработать мероприятия по экономии тепловой энергии.

Энергоаудит предполагает следующие этапы: сбор документальной информации, инструментальное обследование, обработка и анализ полученной информации, разработка рекомендаций по энергосбережению, составление энергетического паспорта здания, установок, технологических процессов [10].

Для инструментальных замеров при проведении энергоаудита зданий используются следующие приборы: пирометр С-9Л, ультразвуковой расходомер жидкости «Postaflow MK-IIR», толщиномер SONAG E2, тепломер, приборы для определения подвижности воздуха и относительной влажности, токоизмерительные клещи Ц 4505, тестер М890G, люксметр Ю-116. К основным приборам, перечисленным выше, для проведения аудитов промышленных объектов добавляется электронный анализатор горения типа КМ 9006 «Quintox», позволяющий определять концентрации основных газообразных загрязнителей, коэффициент избытка воздуха, КПД котла, печей, топочных устройств.

Для эффективного решения задач снижения (а в некоторых случаях исключения) платы за потери в подводящих теплоту системах необходимо организовать постоянный учет и контроль расхода энергоносителей. Как показывают обследования, счетчики коммерческого учета тепловой энергии и воды установлены не во всех исследуемых объектах либо не на всех вводах. При значительной территории, прилегающей к объекту, больших объемах зданий рекомендуется на всех вводах в здание, объектах, сдаваемых в аренду, устанавливать счетчики технического учета.

Анализ результатов энергоаудитов, проведенных в действующих отопительных котельных малой теплопроизводительности, показал, что они нуждаются в замене, т. к. в большинстве случаев котлы и вспомогательное оборудование выработали свой ресурс.

Об электрохозяйстве систем теплоснабжения. В структурах теплоснабжения чаще бытует мнение о первостепенности задач теплоснабжения потребителей, что местами привело к игнорированию нарастающих проблем в электрохозяйстве объектов теплоснабжения и к роспуску квалифицированного электротехнического персонала. Этому способствует несовершенство нормативно-правовой базы целого комплекса проблем и застойное представления об электропотреблении объектов теплоснабжения.

Наиболее распространённые меры повышения эффективности использования электроэнергии, получившие широкое распространение в последние годы, это её экономия на замене освещения, установке устройств частотно-регулируемого привода и автоматизации технологических процессов. Следует отметить, что доля освещения в балансе потребления электроэнергии очень мала (до 5%), устройства ЧРП не всегда себя оправдывают, а автоматизация требует квалифицированного обслуживания. Поэтому, чаще приходится сталкиваться с ситуацией, когда персонал следит только за своевременным отключением освещения, ЧРП выходит из рабочего режима и персонал осуществляет переключения на прямое питание электродвигателей, в АСУТП не используется все возможности, АСКУЭ не введено в эксплуатацию или носит формальный вид, об управлении нагрузками и переключениями групп представление отсутствует.

Как ни парадоксально, но в системах теплоснабжения потенциал нерационального использования электрической мощности можно оценить в треть объёма всего её потребления, т.е. более 30 %, из которых на электродвигатели приходится 22 %, на освещение – до 3 % и выше, в управлении электроснабжением – 7-10 %.

В тоже время, следует заметить, что снижение удельного потребления электроэнергии и мощности и нормализация электроснабжения сопровождаются снижением тепловых потерь, выраженных экономией топлива в котельных и на источниках генерации электроэнергии. Полезный эффект может дать комплекс организационных мероприятий по совершенствованию учёта потребления топлива, электроэнергии и отпуску тепла.

Отдельные методы, требуют согласованного взаимодействия структур теплоснабжения, электроснабжения и администрации городов, районов.

Реализация метода «энергетической сетки» для компенсации реактивной мощности в энергосистеме непосредственно увязана с тарифным планом района потребителя и подразумевает использование электрических вводов котельных и ЦТП в качестве масштабной сетки, покрывающей весь город или район, как правило, находящихся в управлении одной или ограниченного состава структур энергоснабжения. Но задачи компенсации реактивной мощности целесообразно рассматривать одновременно с задачами высвобождения электрической мощности.

Превалирующими способами высвобождения мощности являются замена насосов и электродвигателей на энергоэффективные, замена освещения на энергосберегающее и установка автоматических компенсации реактивной мощности (КРМ), что выполняется в завершающий момент, а сами эти мероприятия должны сопровождаться дополнительным комплексом мер и процедур. Так как современные объекты оборудуются приборами учета, частотными преобразователями и устройствами плавного пуска, технологическими контроллерами, диспетчерскими блоками, компьютеризированными АСУТП и АСКУЭ, автоматикой горения, современной осветительной аппаратурой, и пр., электронная база которых требует электропитания высокого качества, сбалансированной нагрузки фаз, выровненного напряжения и чистых гармоник, компенсаторы реактивной мощности целесообразно дооснащать электрическими фильтрами.

Перераспределение финансовых потоков и реформы электроэнергетики повлекли к перераспределению нагрузок и мощностей, что в большинстве случаев создало серьёзные проблемы:

- режимы работы источников промышленного теплоснабжения не соответствует режимам теплопотребления коммунальной энергетики, и как следствие, это привело к нарушениям температурных графиков, дисбалансу сетей гидравлическому и тепловому;

- тепло, выработанное на ТЭЦ не находит своего потребителя, и как следствие, подлежит сбросу, дисбаланс в выработки электроэнергии и тепла на ТЭЦ привёл к перерасходам топлива и увеличению удельных расходов на выработку электроэнергии, к снижению КПД и качественных показателей ресурсов выработки, к росту тарифов как на электроэнергию, так и на тепло ТЭЦ;

- рост объёмов потребления тепловой энергии в системах централизованного теплоснабжения потребовал строительства новых котельных и увеличения производительности существующих мощностей, и как следствие, это привело к росту потребления топлива и электроэнергии на выработку тепла;

- отказ от децентрализации систем теплоснабжения, даже частичный, привёл к укрупнению тепловых сетей и росту потерь тепла и теплоносителя в них;

- изменение схем тепловых сетей (как правило, сети коммунальных предприятий не связаны с сетями ТЭЦ АО-Энерго) и присоединение новых тепловых источников повлекло перераспределение нагрузок и укрупнение сетей, что потребовало повышение насосной мощности на циркуляцию теплоносителя, а значит увеличение потребления электроэнергии на производство и передачу тепла.

Стоимость ТЭР перекладывается на стоимость услуг и продукции потребления и отражается на их качестве. Само производство продукции в нашей стране довольно энергоёмко, и по ряду отраслей в несколько раз превышает энергоёмкость аналогичной продукции других стран, что снижает её инвестиционную привлекательность и конкурентоспособность, а значит и приток денег в город или регион.

Создавшаяся ситуация в структурах теплоснабжения на сегодня потворствует неудержимому росту потребления топлива и электроэнергии, как в количественных, так и в удельных величинах. Эта тенденция усугубляется ростом потребления газа и снижением возможности использования других ресурсов. В свою очередь, на поставку газа затрачивается та же электроэнергия и топливо, и т.д.

Как известно, в структурах теплоснабжения оценка деятельности предприятий и тарификация производятся по удельным показателям расхода топлива, а вот удельные расходы электроэнергии и показатели мощности практически не нормируются и не отслеживаются. Этот факт является существенной недоработкой нормативной базы, тогда как удельные показатели потребления электроэнергии и электрической мощности могут служить значимыми индикаторами систем теплоснабжения, снижение которых и будет определяющим критерием оценки эффективности систем энергоснабжения. Поэтому, разработка и введение удельных электрических регуляторов и ограничений по коэффициентам использования электрической мощности сегодня целесообразно, обосновано и необходимо.

О насосном хозяйстве систем теплоснабжения. В поле особого внимания попадают насосы, необходимость оценки эффективности которых обоснована высокой долей потребления электроэнергии и мощности в электрическом балансе объектов теплоснабжения (до 85% и выше), и, как следствие, существенной долей финансовых затрат в структуре платежей.

Часто имеют место расхождения между фактическими характеристиками насосов и их учётными данными, не всегда соответствующим маркировке насосов. Если учесть, что технологии производства корпусов насосов, рабочих колёс, электродвигателей, уплотнений и пр. постоянно совершенствуются, то очевидно, что насосы 60-80-х годов прошлого века, никак не могут иметь более высокие показатели энергоэффективности, нежели современные насосы. Причин такого состояния в расхождении данных о насосах может быть много: ошибочная комплектация насосных пар при поставке и монтаже, неверная учётная запись, естественный износ, замена электродвигателя, некачественный ремонт и обслуживание, некачественное изготовление насосов и двигателей, срезка рабочего колеса, неверный подбор патрубков и т.д.

В связи с чем, представляется целесообразным предлагать предприятиям теплоснабжения произвести инвентаризацию насосного хозяйства, сверить технические характеристики с маркировкой насосов и электродвигателей. Если вопрос инвентаризации разрешим, то выверка технических характеристик представляется более сложной процедурой, для которой может потребоваться организация режимно-наладочных испытаний (РНИ) основного насосного парка. При этом следует обратить внимание на режимы эксплуатации и расхождения паспортных данных насосов с фактическим КПД насосов, с мощностью установленных электродвигателей и коэффициентом использования электрической мощности, сверить измеренные данные гидравлической характеристики насосов с их паспортными данными.

Предлагаемые меры позволят не только точно оценить фактические параметры насосного оборудования, но и грамотно оптимизировать работу насосов и управление ими, сократить плату за электрическую мощность, а при необходимости – заменить электродвигатель, механическую часть или насосную пару в целом, либо принять иное решение.

Как показали результаты обследований, неверный учёт потребляемой мощности, часов наработки и коэффициента загрузки может серьёзно изменить картинку параметров заявленной электрической мощности объектов, учёт потребления мощности и электроэнергии, и особенно в неотопительный период, когда параметры факта отличаются от заявки не в 10-ки, а порой в 100-ни раз. По показателям режимных дней меры практически не принимаются. Критерии необходимости выполнения РНИ и диагностики насосов могут быть назначены в обязательном порядке, исходя из состава и структуры насосного парка, возможностей эксплуатирующего предприятия, особенностей организации ремонтов и технического обслуживания. РНИ могут быть выполнены и выборочно, если выявлены какие-либо признаки несоответствия.

Для технико-экономического анализа сопоставление насосов осуществлено на соответствии технических характеристик: за основу аналога приняты рабочая точка (равный напор) и производительность насоса, затем частота вращения вала, мощность на валу, КПД и мощность электропривода.

Многообразие моделей насосов и технологий разных производителей всегда осложняет любой процесс сравнения.

Следует учесть, что установленные насосы чаще имеют завышенную мощность – соответственно коэффициент загрузки у них должен быть ниже, чем у сопоставляемых. Итогом замещения насосов, следовательно, будет разгрузка электрической схемы, снижение реактивной составляющей, увеличение коэффициента электрической мощности в энергосистеме, повышение эффективности использования электроэнергии и снижение её потребления.

Ожидаемый фактический экономический эффект, в среднем должен быть выше в 1, 5 раза.

С учётом наличия эксплуатационных затрат и времени уточнённой наработки насосов за год сроки окупаемости замены ожидаются в 2, 0-2, 5 раза ниже, что в денежном выражении компенсируется затратами на монтажно-наладочные работы.

Сопоставив существующие и современные насосы с энергоэффективными двигателями, можно наглядно представить потери электроэнергии в процентном отношении. Если предположить, что электродвигатели в системах теплоснабжения потребляют до 85% электроэнергии и более, то потенциал экономии электроэнергии можно оценить пропорционально примерно около 22, 0 %..

Коэффициенты мощности в энергосистеме при использовании насосов с энергоэффективными электродвигателями, без учёта возможной компенсации реактивной мощности, достигают 0, 96 на уровне 0, 4 кВ и 0, 98 – на 10 кВ.

Эффективность использования площади котельных на отпуск 1 Гкал теплоты увеличивается при этом в 7, 9 раз, коэффициент использования топлива увеличивается в 1, 35 раз. Причем, средние годовые удельные расходы электроэнергии при этом не должны превысить 12 кВтч/Гкал на отпуск тепла и 11 кВтч/Гкал на выработку (для сравнения, часто встречаются котельные с показателями, превышающими 150 и 100 кВтч/Гкал соответственно). Затраты при реконструкции мощности на 1 Гкал отпуска тепла в настоящем варианте также существенно меньше, чем при замене и реконструкции идентичных котлов; уменьшается сумма эксплуатационных расходов и т.д.

Учитывая опыт внедрения и эксплуатации современных автоматизированных котельных, реконструкция отдельно выбранных котельных с их переводом на класс котлов DHAL, или ТКН, позволит повысить резерв тепловой мощности существующих котельных и дополнительно принять нагрузки, высвободив устаревшие котельные мощности в резерв или ликвидировав их.

Стоимость высвобождённого помещения можно просчитать пропорционально стоимости одного машино-места (равнозначная площадь котельной, трансформаторной подстанции, насосной станции, ЦТП и пр.), за аренду которого платит хозяйствующий субъект, по степени удалённости от центра города

Такие результаты получены без экологической оценки, которая может раскрыть очень широкий спектр вопросов. Следует добавить, что уже выпускаются котлы с конденсационным циклом утилизации газовых выбросов с повышенным КПД, соответственно и показатели эффективности использования помещений и земельных территорий возрастут.

Анализ схем компоновки котельной, теплопункта, насосной станции или иного объекта, конструктивного исполнения и габаритно-весовых показателей оборудования может существенно сократить занимаемые площади объёктов, что позволяет оптимизировать затраты и получать наибольшую выгоду при эксплуатации и в новом строительстве объектов недвижимости.

Если учесть, что за десятки лет изменилась структура потребления тепла и состав потребителей, сами нагрузки, то целесообразно пересматривать схемы теплоснабжения городов и районов в целом комплексе энергетического обследования, тем более, что этот сектор разнообразен и имеет высокую инвестиционную привлекательность.[11]

Список литературы

1 Системы теплоснабжения. Эффективные и надежные решения для систем теплоснабжения во всем мире. Рекламно-информационная брошюра ОАО «Альфа Лаваль Поток». – Москва. 2009. – 20с.

2 http://terion.su/post/Teplosnabzhenie.html

3 http://ru.wikipedia.org/wiki/Теплоснабжение

4 Анализ перспективных систем теплоснабжения. Симонов С. А. Доклад на ХVI Международной научно-практической конференции «Альтернативная энергетика и энергоэффективные технологии». 2007 г.

5 Повышение эффективности систем централизованного теплоснабжения. Марков А.Р. Электронный журнал энергосервисной компании «Экологические системы». №11. 2008 г. http://www.politerm.com.ru/

6 Энергоэффективность сетей централизованного теплоснабжения. Пастушенко В.П., Иголкин В.И. Электронный журнал энергосервисной компании «Экологические системы». №12. 2008 г. http://www.energosber.74.ru

7 В.И. Ливчак, к.т.н. Энергосбережение в системах централизованного теплоснабжения на новом этапе развития. http://www.abok.ru/for_spec/articles.php?nid=159

8 Децентрализованное отопление. Куприянов Л. С. Доклад на ХVI Международной научно-практической конференции «Альтернативная энергетика и энергоэффективные технологии». 2007 г.

9 Энергоэффективные и энергосберегающие технологии в системе теплоснабжения жилого района Куркино г. Москвы. А. Я. Шарипов, к.т.н., директор ФГУП "СантехНИИпроект". Журнал "энергосбережение" 2001 год №5. (Москва.)

10 Ливчак В. И. Экспертиза энергоэффективности строительства зданий // АВОК. 2003. № 7.

11 Энергоаудит систем теплоснабжения. О некоторых аспектах. Интернет – Доклад. В.А. Кожевников, МЭИ (ТУ). 2008 г.

Для подготовки данной работы были использованы материалы с сайта http://referat.ru


© 2012 Рефераты, доклады и дипломные работы, курсовые работы бесплатно.