рефераты
Главная

Рефераты по международному публичному праву

Рефераты по международному частному праву

Рефераты по международным отношениям

Рефераты по культуре и искусству

Рефераты по менеджменту

Рефераты по металлургии

Рефераты по муниципальному праву

Рефераты по налогообложению

Рефераты по оккультизму и уфологии

Рефераты по педагогике

Рефераты по политологии

Рефераты по праву

Биографии

Рефераты по предпринимательству

Рефераты по психологии

Рефераты по радиоэлектронике

Рефераты по риторике

Рефераты по социологии

Рефераты по статистике

Рефераты по страхованию

Рефераты по строительству

Рефераты по таможенной системе

Сочинения по литературе и русскому языку

Рефераты по теории государства и права

Рефераты по теории организации

Рефераты по теплотехнике

Рефераты по технологии

Рефераты по товароведению

Рефераты по транспорту

Рефераты по трудовому праву

Рефераты по туризму

Рефераты по уголовному праву и процессу

Рефераты по управлению

Курсовая работа: Расчет отопления здания

Курсовая работа: Расчет отопления здания

Министерство образования и науки Российской Федерации

Негосударственное образовательное учреждение

Высшего профессионального образования

«Камский институт гуманитарных и инженерных технологий»

ПОЯСНИТЕЛЬНАЯ ЗАПИСКА

к курсовому проекту

По дисциплине: «Теплоснабжение»

На тему: «Расчет отопления здания»

Выполнил:

Решетников С.В.

Студент группы: ДТ – 69

Проверил:

Русинова Н.Г.

Ижевск, 2010


Содержание

1.  Исходные данные и характеристика объекта

2.  Расчет строительных конструкций

3.  Расчёт тепловой мощности системы отопления, теплопотерь и тепловыделений

4.  Выбор и расчёт нагревательных приборов системы отопления

5.  Гидравлический расчёт принятой системы отопления

6.  Расчёт основного оборудования теплового пункта

Список использованной литературы


1. Исходные данные и характеристика объекта

·  Район строительства: Ульяновск.

·  Количество этажей в здании 3.

·  Высота типового этажа 3.0 м .

·  Высота подвального помещения 2.5 м.

·  Размер оконного проема 1.4х2.0

·  По СНиП 23.01-2003 «Строительная климатология»

- tн= -31℃.

- z=228 дней.

- tср.от.пер= -4.4℃.

·  Температура внутри здания:

- жилая комната tв=20℃

- туалет tв=16℃

- лестничная клетка tв=16 ℃

- «+2℃ на угловые помещения»

2. Расчет строительных конструкций

Задача расчета строительных конструкций – определение коэффициентов теплопередачи – К

 (2.1)

где К – это количество тепла, проходящее за единицу времени через 1 м2 ограждения при разнице температур на улице и в помещении в 1 °С.

Ro – термическое сопротивление ограждения.


 (2.2)

где в – коэффициент тепловосприятия у внутренней поверхности стены, [12], таблица 4

н - коэффициент тепловосприятия у наружной поверхности стены, [12], таблица 6

d [м]- толщина отдельного слоя;

l - коэффициент теплопроводности отдельного слоя, принимается по приложению 3 [12] по графе А или Б. Показателем графы служит карта зон влажности приложение 1 [12] и приложение 2 [12]

Контрольной величиной в расчет вводится требуемое термическое сопротивление:

 (2.3)

где tн [°C] – наружная температура воздуха, [8], таблица 1.

n – коэффициент на разность температур, [12], таблица 3

Градусо-сутки отопительного периода (ГСОП):

ГСОП= (tв-tоп) Zоп [°С сут] (2.4)

где tоп – средняя температура отопительного периода, [8], по таблице 1.

Zоп – количество суток отопительного периода, [8], таблица 1.

Расчет коэффициента теплопередачи наружной стены

 

Буква расчета - А

d3 = 250мм=0,25м

d4 = 20мм=0,02м

d1 =120мм=0,120м

tв = 20°С  [3] таблица

tн = -31°С  [8] таблица 1

tоп = -4.4°С  [8] таблица 1

Z = 228 cут [8 ] приложен 1

[12] таблица 4

 [12] таблица 6

l1=0,70 [12] приложен 3

l2=0,041 [12] приложен 3

l3=0,58 [12] приложен 3

l4=0,7 [12] приложен 3

Определение ГСОП Dd:

Dd =(tв-tоп)Z=( 20- (- 4.4))*228= 5563.2(℃. Сут)

Термическое сопротивление из условия энергосбережения:


R1, R2,Dd,Dd1, Dd2 – определяем по таб. 1 б [3]

=0.08 м

в=8.7, н=23 (СНиП)

Определяется общая толщина стены:

Определяется коэффициент теплоотдачи стены:

Расчет коэффициента теплопередачи пола над подвалом

d1 = 0,22 м.

d2 = 0,005 м.

d4 = 0,02 м.

d5 = 0,01 м.

[12] таблица 4

 [12] таблица 6

l1=1.92[12] приложение 3

l2=0,17  

l3=0,041  

l4=0,76  

l5=2.91  

Термическое сопротивление из условия энергосбережения:

R1, R2,Dd,Dd1, Dd2 – определяем по таб. 1 б [3]

=0.158 м

в=8.7, н=6 (СНиП)

Определяется общая толщина стены:

Определяется коэффициент теплоотдачи стены:

Расчет коэффициента теплопередачи чердачного перекрытия

d1 = 0,22 м.

d2 = 0,005 м.

d4= 0.05 м.

d5 = 0.02 м

d6 = 0.02 м

 

l1=1.92

l2=0,17

l3=0,21  

l4=0,47  

l6=0.76

l6=0.17

Термическое сопротивление из условия энергосбережения:

R1, R2,Dd,Dd1, Dd2 – определяем по таб. 1 б [3]

=0.56 м

в=8.7, н=12 (СНиП)

Определяется общая толщина стены:

Определяется коэффициент теплоотдачи стены:

Расчет коэффициентов дверей, окон, проемов

Коэффициент теплопередачи дверей:

=0.5

=0.27*Нзд (2-я дверь с тамбуром)

=0.34* Нзд (2-я дверь без тамбура)

=0.42* Нзд (одиночная дверь)

Hэт=3 м

Hпод= 2.5 м

Нзд=12.56 м

=0.34*12.56=4.27

Коэффициент теплопередачи окон:

Ответы :

Кст=0.34 ВТ/м2℃

Кпол=0.24 ВТ/м2℃

Кок=2.08 ВТ/м2℃

Кдв=6.27 ВТ/м2℃

3. Расчёт тепловой мощности системы отопления, теплопотерь и тепловыделений

Общие теплопотери здания:

Qобщ = Qосн (1+b) + Qинф [Вт]

где Qосн – основные теплопотери, учитывающие только размеры помещения

Qосн = кА (tв – tн) n [Вт]

к  – коэффициент теплопередачи ограждения

А м2– площадь ограждений;

tв °С – внутренняя расчетная температура;

tн °С – наружная расчетная температура, принимается температура наиболее холодной пятидневки с обеспеченностью 0.92 по таблице 1[8];

n – коэффициент учитывающий зависимость положения ограждающей конструкции по отношению к наружному воздуху, принимается по таблице 6 [9];

b - коэффициент добавок в долях.

Различают следующие добавки:


Qинф – количество тепла на прогрев воздуха через окна и двери

Qинф = 0,28 Св qинф lпроем (tв – tн) Кинф [Вт]

где Св – удельная массовая теплоемкомкость воздуха Св=1,07

qинф – количество воздуха инфильтрированного в единицу времени через 1 м2 ширины проема

qинф = 8,75 кг/час - для окон

qинф = 35 кг/час - для дверей.

Кинф – коэффициент инфильтрации = 0,9 – 1


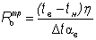
4. Выбор и расчёт нагревательных приборов системы отопления

Расчет сводится к определению числа чугунных радиаторов и определению марки и числа других приборов.

Min число секций чугунных радиаторов:

где Qнт – номинальный тепловой поток для подбора прибора [Вт]

Qпр – теплоотдача прибора без учета теплоотдачи стояков и подводок [Вт]

Qрасч – расчетная тепловая нагрузка на прибор – берется из расчета теплопотерь

Qтр – теплоотдача открыто-проложенных стояков и подводок отдающих тепло воздуху помещения

Qтр – 100Вт если Æ стояка 15 мм.

Qтр – 150Вт если Æ стояка 20 мм.

Qтр – 200Вт если Æ стояка 25 мм.

При нагрузках на стояк 300 Вт и менее Qлр не учитывается. Для верхних узлов с нижней разводкой Qтр принимается на половину меньше.

Qну – номинальный условный тепловой поток – тепловой поток через 1 секцию нагревательного прибора, принимается по приложению 3 таблица 3.9

Dtпр – перепад между средней температурой в приборе и воздухом


Gcт – расход воды через стояк

Yк – комплексный коэффициент приводящий систему в реальные условия

где n, p, c – из приложения 3, таблица 3.8

В - коэффициент учёта расчётного атмосферного давления, для отопительных приборов приложение 3 таблица 3.9

Y - коэффициент зависящий от направления движения воды, при направлении воды снизу вверх [2], таблица 9.11, если сверху вниз:

где а – коэффициент затекания воды в приборных узлах с радиаторами чугунными секционными, принимается по приложению 3 таблица 3.6

tвх – температура входа воды в каждый прибор

SQiпред – сумма нагрузок приборов предыдущих расчетному

b1 – коэффициент учитывающий число секций, приложение 3 таблица 3.4

b2 – коэффициент на установку прибора приложение 3 таблица 3.5

5. Гидравлический расчет

Задача гидравлического расчета - определение диаметров магистрали, стояков, подводок при расходе теплоносителя в них, обеспечивающем требуемую теплоотдачу нагревательных приборов.

Существует 3 метода расчета:

1. Метод динамических давлений.

2. Метод удельных потерь давления.

3. Метод характеристик сопротивления.

Метод динамических давлений.

Расчет ведется по формуле:

Нрасп > Нсист ; Па.

где Нрасп - располагаемое давление, условно заданное на вводе

потеря напора из расчета экономических диаметров и скоростей

Нрасп = 6000 - 7000 Па для систем небольшой этажности и протяженности.

Нрасп = 8000 - 13000 Па для систем средней этажности и протяженности.

Нрасп более 13000 Па для систем высотных зданий и большой протяженности.

Нсист - сопротивление системы отопления.

Нсист =Σζпр∙ Рдин. Па.

где Σζпр - приведенный коэффициент сопротивлений.

Σζпр=λ∙L/d+ Σζту+ Σζм

где λ∙L/d - приведенный коэффициент трения. Приложение 3 таблица 3.1.

Lм - длина участка в метрах.

Σζту- сумма приведенных сопротивлений местных типовых узлов. Приложение 3 таблица 3.2. для чугунных радиаторов

Σζм - сумма местных сопротивлений, приложение 3 таблица 3.3

Рдин. - динамический или скоростной напор, определяется по приложению 2 с учётом оптимальных диаметров и расхода потока.


Таблица гидравлического расчёта системы отопления.

Nуч Qуч

t

Gуч

d

мм

L

м

λ/d λ∙L/d Σζту

Σζм

м

Σζпр Pдин Hсис ΣHсис H %
1 2 3 4 5 6 7 8 9 10 11 12 13 14 15
Главная расчетная ветка через стояк 14
Ст14 6344 25 218 20 4 1.8 7.2 79.56 - 86.76 15.3 1327 1327
1-2 6344 25 218 20 15 1.8 27 - 9 36 15.3 550.8 1877.8
2-3 11899 25 409 25 12 1.4 16.8 - 3 19.8 20.5 405.9 2283.7
3-4 17377 25 598 32 12 1.0 12 - 3 15 14 210 2493.7
4-А 22855 25 786 40 9.5 0.8 7.6 - 22 29.6 14.85 439.56 2933.26
А-Б 39410 25 1355 50 11.5 0.55 6.33 - 6 12.33 14.85 183.1 3116.36
Б-Эл 78885 25 2713 65 24.5 0.4 9.64 - 30 39.64 22.55 893.8 4010.16 0.98%
Ст8 3406 25 117 15 4 2.7 10.8 85.51 - 96.31 14 1348 1348
5-6 3406 25 117 15 14 2.7 37.8 - 5 42.8 14 599.2 1947.2
6-7 11077 25 381 20 13 1.8 23.2 - 3 26.4 31.85 840.84 2788.04
7-А 16555 25 569 32 2 1.0 2 - 25 27 13.6 367.2 3155.24 7%

6. Расчёт основного оборудования теплового пункта

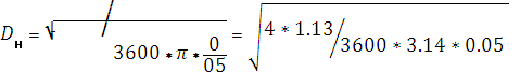
Подбор элеватора:

1.Коэффициент смешения

1.2.Расход воды в местной системе

1.3.Приведенный расход воды в системе

1.4.Определяетсядиаметр горловины элеватора

 мм

№ элеватора 6

1.5.Необходимоедавление сетевой воды

2.Подбор грязевиков и фильтров

=0.09

теплопередача здание отопление


Список использованной литературы

1.  Варфоломеев Ю.М., Кокорин О.Я. Отопление и тепловые сети. Учебник. – М.: ИНФРА-М, 2008 -480 с.

2.  Внутренние санитарно-технические устройства. – В 3-х ч. Ч.1. Отопление / Под ред. И.Г.Староверова.- 4-е изд., перераб. И доп. –М.: Стройиздат, 1990.

3.  ГОСТ 21.602-2003 Правила выполнения рабочей документации отопления, вентиляции и кондиционирования. –М.: Госстрой России, 2003.

4.  ГОСТ 8690-97 Радиаторы отопительные чугунные. Технические условия»

5.  Свистунов В.М., Пушняков Н.К. Отопление, вентиляция и кондиционирование объектов агропромышленного комплекса и жилищно-коммунального хозяйства: Учебник для вузов. – СПб.: Политехника, 2001.- 423 с.: ил.

6.  Сканави А.Н. Конструирование и расчёт систем водяного и воздушного отопления зданий. – М.: Стройиздат, 1983.

7.  Сибикин Ю.Д. Отопление, вентиляция и Кондиционирование воздуха: учебное пособие для студентов. – 4-е изд., стер.- М.: Издательский центр «Академия», 2007. -304 с.

8.  СНиП 23-01-99 Строительная климатология.–М.: Госстрой России.2003.

9.  СНиП23-02-2003 Тепловая защита зданий. – М.: Госстрой России. 2003.

10.  СНиП 41-01-2003. Отопление, вентиляция и кондиционирование. – М.: ЦИТП, 2003

11.  СНиП 3.05.01-85. Внутренние санитарно – технические системы. – М.: Госстрой России, 2000.

12.  CНиП II-3-79 Строительная теплотехника.

13.  Тихомиров Н.В., Сергеенко Э.С. Теплотехника, теплогазоснабжение и вентиляция. М. 2008.

14.  Тиатор И. Отопительные системы.- М.: Техносфера., 2006.- 272 с.

15.   Юркевич А.А. Отопление гражданского здания.- 2-е изд., переработ. и доп.- Ижевск: Издательство ИжГТУ, 2005 – 68 с.


© 2012 Рефераты, доклады и дипломные работы, курсовые работы бесплатно.