рефераты
Главная

Рефераты по международному публичному праву

Рефераты по международному частному праву

Рефераты по международным отношениям

Рефераты по культуре и искусству

Рефераты по менеджменту

Рефераты по металлургии

Рефераты по муниципальному праву

Рефераты по налогообложению

Рефераты по оккультизму и уфологии

Рефераты по педагогике

Рефераты по политологии

Рефераты по праву

Биографии

Рефераты по предпринимательству

Рефераты по психологии

Рефераты по радиоэлектронике

Рефераты по риторике

Рефераты по социологии

Рефераты по статистике

Рефераты по страхованию

Рефераты по строительству

Рефераты по таможенной системе

Сочинения по литературе и русскому языку

Рефераты по теории государства и права

Рефераты по теории организации

Рефераты по теплотехнике

Рефераты по технологии

Рефераты по товароведению

Рефераты по транспорту

Рефераты по трудовому праву

Рефераты по туризму

Рефераты по уголовному праву и процессу

Рефераты по управлению

Курсовая работа: Характеристика процесса ипотечного кредитования

Курсовая работа: Характеристика процесса ипотечного кредитования

I.  Погашение кредита равными ежемесячными платежами

Российские банки применяют в настоящий момент два способа погашения долга – аннуитетными (равными) и дифференцированными (уменьшающимися) платежами. Аннуитетные платежи иногда еще называют рентными, а способ погашения кредита дифференцированными платежами – коммерческими. Могут встречаться и другие определения.

1.1 Ежемесячный аннуитетный платеж

Это постоянная сумма, которую заемщик каждый месяц отдает банку. Он складывается из двух составляющих – возвращения основного долга и начисленных процентов. В начале выплат в структуре ежемесячного платежа основная доля – проценты, и незначительная – выплаты основного долга. В финале все изменяется с точностью до наоборот: в структуре аннуитетного платежа преобладает уже погашение основного долга.

Формула аннуитетного платежа выглядит следующим образом:

ЕП = СК , (1)

где ЕП – размер ежемесячного платежа;

СК – сумма кредита;

ПС – годовая процентная ставка;

КМ – количество месяцев (срок, на который выдан кредит).

Как было сказано выше, ежемесячный аннуитетный платеж складывается из двух составляющих – возвращения основного долга и начисленных процентов:


ЕП = ВОД + ЕПВ, (2)

где ВОД – возврат основного долга;

ЕПВ – ежемесячные процентные выплаты.

На этом сходство в подходах банков заканчивается, и начинаются различия. Состоят они в подходах к вычислению суммы причитающихся процентов. Основных подходов два, разница – в используемой временной базе. Часть банков исходят из того, что «в году 12 месяцев», и тогда размер ежемесячных процентных выплат определяется по формуле:

ЕПВ = ОЗ, (3)

где ЕПВ – ежемесячные процентные выплаты;

ОЗ – остаток задолженности в данном месяце;

ПС – годовая процентная ставка.

Часть банков исходит из того, что «в году 365 дней» и такой подход называется расчетом точных процентов с точным числом дней ссуды. Размер ежемесячных процентных выплат в данном случае определяется по формуле:

ЕПВ = ОЗ • ПС •, (4)

где ЕПВ – ежемесячные процентные выплаты; ОЗ – остаток задолженности в данном месяце; ПС – годовая процентная ставка;

ЧДМ – число дней в месяце (понятно, что это число меняется от 28 до 31).

Для того чтобы вычислить сумму возврата основного долга, необходимо из суммы ежемесячного аннуитетного платежа (размер которого остается неизменным) вычесть размер процентных выплат в данном месяце:


ВОД = ЕП – ЕПВ.

1.2 Ежемесячный дифференциальный платеж

Он также складывается из двух составляющих – возвращения основного долга и процентных выплат (процентные выплаты вычисляются по приведенной выше формуле). Каждый месяц сумма основного долга уменьшается на одинаковое число (сумма кредита, деленная на количество месяцев). Из-за постоянного уменьшения суммы долга уменьшается и размер процентных выплат, а с ними и ежемесячный платеж. Формула расчета дифференцированного платежа выглядит следующим образом (разница – в точности подсчета дней в месяце):

ЕП = +ОЗ, (5)

или

ЕП = +ОЗ • ПС, (6)

где ЕП – размер ежемесячного платежа;

СК – сумма кредита;

КМ – количество месяцев (срок, на который выдан кредит);

ОЗ – остаток задолженности в данном месяце;

ПС – годовая процентная ставка;

ЧДМ – число дней в месяце (от 28 до 31).

Как определить, какой способ погашения является более выгодным?

Рассмотрим конкретный пример.

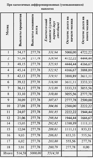
Пример 1. Банк А предлагает кредит в 5 тыс. у.е. на 18 месяцев под 13 % годовых. Выплаты кредита – ежемесячно равными частями (аннуитет). Банк Б предлагает аналогичные условия, но с дифференцированными выплатами (размер ежемесячного платежа по мере погашения долга уменьшается). Дополнительных комиссий в обоих случаях не предусмотрено. Сколько заемщик заплатит за кредит банку А и банку Б?

В результате подсчетов мы получим следующие графики платежей (Приложение А) и (Приложение Б). В данных таблицах при подсчетах использован подход «в году 12 месяцев».

Получилось, что при прочих равных в случае аннуитетных выплат заемщик заплатит за кредит 530,28 у. е., а в случае дифференцированных – 514,58.

Приведенные таблицы наглядно доказывают тот факт, что дифференцированные выплаты, как правило, выгоднее для заемщика. Причина выгодности дифференцированного платежа проста: в этом случае долг заемщика уменьшается быстрее, что и способствует минимизации процентных выплат. На длительных сроках и при внушительных суммах кредита экономия на платежах действительно существенна. Однако именно внушительные суммы играют с дифференцированным платежом злую шутку. На первоначальном этапе его размер ощутимо больше, нежели размер аннуитета. Соответственно, во-первых, банк одобрит меньшую сумму кредита. А во-вторых, многие заемщики оказываются просто не в состоянии выплачивать дифференцированные платежи в первые месяцы и потому, кусая локти, соглашаются на аннуитет. Даже зная, что он по определению менее выгоден. Например, для кредита в 4 млн. руб., взятого на 25 лет по ставке 11 % годовых, размер ежемесячного аннуитетного платежа составит около 49 тыс. руб. В то же время заемщик, выбравший дифференцированный платеж, на протяжении первого года будет отдавать 61 – 62,5 тыс. руб. в месяц. Только к исходу восьмого года размер дифференцированного платежа станет меньше аннуитетного.

Наглядно разницу между аннуитетными и дифференцированными платежами можно представить следующим образом.


Рис. 1.1 Схема аннуитетного и дифференциального платежей

Большинство банков применяют все же аннуитетные платежи, аргументируя свой выбор тем, что это удобнее для заемщиков – не надо думать, какую сумму вносить в каждом следующем месяце. Это верно лишь отчасти. Даже в случае дифференцированных выплат ничто не мешает заемщику ежемесячно выплачивать банку равную сумму, ведь проценты в любом случае будут начисляться на остаток задолженности (но при этом «тело долга» будет убывать быстрее). Существует другой важный аргумент в пользу аннуитетных выплат. В самом начале погашения долга именно аннуитет более комфортен для заемщика (см. графики выплат).

Необходимо отметить, что для небольших краткосрочных кредитов разница в способе погашения кредита – аннуитетными или дифференцированными платежами - практически не ощущается. Она становится более заметной при увеличении срока кредита и при более высокой процентной ставке.

Пример 2. Сколько денег заплатит заемщик, выплачивая кредит в 10 тыс. у. е., взятый на разные сроки и под разные ставки? Один из банков предлагает ему погашать долг аннуитетными выплатами, другой – дифференцированными.

Для решения задачи подсчитаем суммарные выплаты процентов при погашении кредита двумя упомянутыми выше способами (для одинаковой суммы кредита, но для разных сроков и ставок). Результаты вычислений представлены в таблицах.

Таблица 1

Сумма кредита: 10 тыс. у. е. Ставка: 10 % годовых

Таблица 2

Сумма кредита: 10 тыс. у. е. Ставка: 12 % годовых


II.  Досрочное погашение кредита

Многие заемщики, получившие ранее кредит, спустя некоторое время задумываются о досрочном выполнении своих обязательств по нему. Это рождает ряд вопросов о выгодности такой процедуры. Досрочное погашение кредита является одним из способов экономии.

Существует два вида досрочного погашения кредита:

1.  Частичное досрочное погашение кредита – это внесение заемщиком суммы, идущей в счет погашения кредита с опережением графика платежей, но недостаточной для полного погашения кредита.

2.  Полное досрочное погашение кредита – это внесение заемщиком суммы в счет погашения кредита с опережением графика платежей. Размер вносимой суммы равен остатку задолженности заемщика по кредиту.

Таким образом, при полном досрочном погашении кредита заемщик выплачивает всю сумму кредита и перестает быть должником кредитной организации, а, следовательно, его объект недвижимости должен быть освобожден от залога (обременения). При частичном досрочном погашении заемщик производит платеж с опережением графика, но остается должен оставшуюся часть кредита. Это основные отличия в данных терминах.

При частичном досрочном погашении кредита возможны два варианта перерасчета графика платежей:

·  уменьшение срока выплаты кредита, при сохранении размера ежемесячного платежа;

·  уменьшение (пересчет) ежемесячного платежа и сохранение срока кредита.

В большинстве кредитных договоров по умолчанию используется первый вариант досрочного погашения, а по заявлению заемщика и одобрении его кредитной организацией может быть использован второй вариант. Второй способ погашения ипотечного кредита позволяет снизить финансовую нагрузку на заемщика по ипотечному кредиту.

Когда заемщик располагает денежными средствами для частичного или полного досрочного погашения кредита, ему необходимо определиться не только со своими возможностями, но и с тем, в какой момент лучше это делать. Дело в том, что часть ипотечных программ может предусматривать мораторий на досрочное погашение кредита в первые месяцы жизни ипотечного кредита. Обычно этот срок составляет 6 – 12 месяцев. Однако есть программы, которые позволяют снизить процентную ставку по кредиту в обмен на отказ заемщика от своего права на досрочное погашение кредита на определенный период, к примеру 1 – 5 лет. Производство досрочного погашения ипотечного кредита в период действия моратория может приводить к появлению штрафных санкций по отношению к заемщику.

Бывают кредитные договоры или договоры займа, в которых отсутствуют ограничения по досрочному погашению. В такой ситуации заемщик может выплатить ранее положенного срока основной долг и проценты, начисленные за пользование денежными средствами.

При досрочном погашении кредита проценты будут рассчитываться в соответствии с фактическим сроком пользования предоставленными денежными средствами, то есть со сроком, когда заемщик окончательно выполнил свое финансовое обязательство. Для производства погашения с перевыполнением графика платежей заемщик должен направить залогодержателю (кредитной организации) заявление-обязательство о частичном или полном досрочном возврате ипотечного кредита.

Итак, почему некоторые кредитные организации негативно относятся к досрочному погашению ипотечного кредита? При досрочном погашении ипотеки кредитные организации теряют клиента, регулярно приносящего им доход, так как в каждом платеже содержится сумма процентов, начисленных за пользование кредитом. Следовательно, досрочное погашение ипотечного кредита для кредитной организации выглядит как потеря запланированных доходов. В случае рефинансирования (перекредитования) кредитная организация может вообще потерять заемщика, так как для снижения платежа по кредиту он просто уйдет в другую кредитную организацию.

Для кредитных организаций досрочное погашение невыгодно – оно выгодно для заемщиков. Самым выгодным для банка является стабильный и предсказуемый кредит. Поэтому для кредитной организации выгодно, когда заемщик платит точно в срок, как это указано в его графике внесения платежей, принося кредитной организации запланированный доход.

При производстве досрочного погашения вне зависимости от того, является оно полным или частичным, необходимо уведомлять залогодержателя о своем желании совершать такой платеж. При производстве частичного досрочного погашения надо учитывать и тот факт, что кредитным договором может быть установлен минимальный размер платежа для досрочного погашения. Принимать досрочные платежи менее установленного размера кредитная организация не будет или предложит произвести такое досрочное погашение с уплатой штрафных санкций.


III.  Перекредитование

Перекредитование – это получение кредита с более низкой процентной ставкой для погашения кредита с более высокой ставкой, взятого ранее. Воспользовавшись перекредитованием, заемщик может значительно сократить переплату по приобретаемому жилью.

Перекредитование очень распространено в тех странах, которые имеют более длительную историю ипотеки, нежели в России. В случае, когда разница процентных ставок составляет даже десятые доли процента, перекредитование уже становится выгодной процедурой.

В нашей стране процедура перекредитования имеет смысл только в том случае, когда разница ставок составляет не менее 2 -3 %. Это обусловлено наличием существенных дополнительных доходов, которые возникают при получении ипотечного кредита.

Наиболее оптимальным вариантом является перекредитование в том же банке, где заемщик получил ипотечный кредит. Это может позволить сократить расходы на получение кредита. Такой вариант не всегда устраивает банки, которые не хотят снижать проценты по тем кредитам, которые были выданы ранее. Для того, что аргументировать свое решение, заемщик может получить решение о выдаче кредита с более низкой ставкой в другом банке. Предъявив его после банку-кредитору, заемщик может просить об изменении условий кредитования.

Если в процессе перекредитования не удается избежать смены банка-кредитора, то необходимо быть подготовленным к дополнительным затратам и трудностям. Необходимо рассчитывать на то, что придется заплатить дополнительные банковские сборы повторно: за рассмотрение заявки, за открытие и ведение счета, так как практически у каждого ипотечного банка имеются собственные партнеры: и оценщики, и страховщики.

Также стоит обратить внимание на то, что требования к ипотечному жилью у разных банков разные, и не каждый банк может одобрить то жилье, которое уже было приобретено заемщиком.

Четкие и отлаженные механизмы для проведения процедуры перекредитования в России только появляются. Это значит, что со временем заемщику будет проще и дешевле перекредитовываться.


Расчет практической части

I. Расчет инвестиционного потенциала семьи

1)  Расчет величины совокупного семейного дохода:

CCDс = CCDед · N, тыс. руб., (1)

где CCDед – совокупный семейный доход на 1 человека в месяц, тыс. руб.;

N – количество членов семьи, чел.

CCDс = 12,2 · 2 = 24,4 тыс. руб.

2)  Определение возможности участия семьи в ипотечной программе:

CCDmin(1+kс) · МПБ · N(1+k0), тыс. руб., (2)

где kс – коэффициент отчислений в семейный страховой фонд, ед.;

k0 – коэффициент отчислений на погашение кредита, ед.;

МПБ – минимальный прожиточный бюджет на 1 человека в месяц, тыс. руб.

ипотнчный кредит погашение платеж

CCDmin = (1+0,03) · 7 · 2(1+0,2) = 17,3 тыс. руб.

Поскольку CCDс > CCDmin, то семья может участвовать в ипотечной программе.

3)  Расчет максимально возможного размера кредита:


Kmax = 12k0 · CCDс, тыс. руб., (3)

где n – срок кредитования, лет;

r – ставка по кредиту, ед.

Kmax = 12 · 0,2  · 24,4 = 355 тыс. руб.

4)  Расчет размера денежных накоплений на первоначальный взнос в течение 3-х лет при ставке 10 % годовых:

Р = 12Рн, тыс. руб., (4)

где Рн = (k0+kс) · CCDс – размер ежемесячных % на накопления, тыс. руб.;

rн – ставка накопительного вклада, ед.;

n – продолжительность накопительного периода, лет.

Рн = 12(0,2+0,03) · 24,4 · = 223 тыс. руб.

5)  Стоимость собственного жилья типа Т:

Ссж = Fсж · Сед, тыс. руб., (5)

где Fсж – стандартная площадь собственного жилья, м2;

Сед – стоимость 1 м2 жилья, тыс. руб.


Ссж = 35 · 31,2 = 1 092 тыс. руб.

6)  Определение инвестиционного потенциала семьи:

И = Kmax + Р + Ссж, тыс. руб. (6)

И = 355 + 223 + 1 092 = 1 670 тыс. руб.

II. Выбор приобретаемой квартиры

1)  Расчет площади жилья, доступного для приобретения:

- расчетная площадь жилья типа Н

FН =, м2, (7)

FН = = 76 м2

- расчетная площадь жилья типа Т

FТ = , м2, (8)

FТ =  = 54 м2

- расчетная площадь жилья типа У

FУ = , м2, (9)

FУ =  = 36 м2


- расчетная площадь жилья типа С

FС = , м2, (10)

FС =  = 30 м2

2)  Определение площади квартир по вариантам:

- жилье типа Н – четырехкомнатная квартира площадью 76 м2, т.к. Fр=Fст;

- жилье типа Т – двухкомнатная квартира площадью 52 м2, т.к. Fр>Fст;

- жилье типа У – однокомнатная квартира площадью 40 м2 недоступна для приобретения, т.к. Fр<Fст;

- жилье типа С – однокомнатная квартира площадью 50 м2 недоступна для приобретения, т.к. Fр<Fст.

3)  Выбор варианта приобретения жилья.

Принять решение приобрести двухкомнатную квартиру типовой планировки общей стоимостью (Снж):

Снж = Fнж · Сед, (11)

где Fнж – площадь приобретенного жилья.

Снж = 52 · 31,2 = 1 622 тыс. руб.

4)  Определяем размер свободных средств:

Ссв = И-Снж, тыс. руб. (12)


Ссв = 1 670 – 1 622 = 48 тыс. руб.

Поскольку на вторичном рынке сразу оплачивается вся стоимость квартиры, то целесообразно снизить размер денежных накоплений на величину свободных средств, т.е.

Ртр = Р-Ссв, тыс. руб. (13)

Ртр = 223 – 48 = 175 тыс. руб.

5)  Расчет структурных составляющих стоимости жилья:

Снж = Р+К+Ссж, тыс. руб. (14)

Снж = 175 + 355 + 1 092 = 1 622 тыс. руб.

6)  Структура стоимости жилья в процентах:

- доля денежных накоплений Р(%) =  · 100 = 10,8 %

- доля кредита К(%) =  · 100 = 21,9 %

-доля стоимости собственного жилья Ссж(%) =  · 100 = 67,3 %

III. Расчет ежемесячных платежей

1)  Расчет ежемесячного платежа на погашение кредита:

В = , тыс. руб. (15)


В =  = 4,88 тыс. руб.

2)  Расчет ежемесячного платежа на накопление первоначального взноса:

Вн = (k0+kс) · CCDс, тыс. руб. (16)

Вн = (0,2 + 0,03) · 24,4 = 5,612 тыс. руб.

3)  Расчет полной стоимости жилья:

= + К · r · n, тыс. руб., (17)

где - расчетная стоимость приобретаемого жилья, тыс. руб.

= 1 622 + 355 · 0,125 · 25 = 2 731 тыс. руб.

Основные результаты расчетов

1.  Варианты приобретения квартир, исходя из доступной площади жилья:

- типа Н – 4-комнатная, площадью 76 м2;

- типа Т – 2-комнатная, площадью 52 м2.

2.  Показатели варианта приобретения 2-комнатной квартиры типа Т, площадью 52 м2:

- общая стоимость – 1 622 тыс. руб. или 100 %;

- денежные накопления – 175 тыс. руб. или 10,8 %;

- кредит – 355 тыс. руб. или 21,9 %;

- стоимость собственного жилья – 1 092 тыс. руб. или 67,3 %.

3.  Обязательные платежи:

- отчисления на накопление первоначального взноса (р) – 5,612 тыс. руб.;

- отчисления на погашение кредита – 4,88 тыс. руб.


Список использованных источников

1.  Дарьин Е.М., Трофимов А.В., Трофимова Т.Е., Хавин Д.В. Ипотечное кредитование. Теория и методика проектирования моделей жилищной ипотеки: Учебное пособие. – Н.Новгород: ННГАСУ, 2009.

2.  http://www.ipoteka-uni.com

3.  http://www.pro-n.ru

4.  http://www.newipoteka.ru

5.  http://credit.rbc.ru

6.  http://credit.ucoz.ru


Приложение А


Приложение Б

 


© 2012 Рефераты, доклады и дипломные работы, курсовые работы бесплатно.