рефераты
Главная

Рефераты по международному публичному праву

Рефераты по международному частному праву

Рефераты по международным отношениям

Рефераты по культуре и искусству

Рефераты по менеджменту

Рефераты по металлургии

Рефераты по муниципальному праву

Рефераты по налогообложению

Рефераты по оккультизму и уфологии

Рефераты по педагогике

Рефераты по политологии

Рефераты по праву

Биографии

Рефераты по предпринимательству

Рефераты по психологии

Рефераты по радиоэлектронике

Рефераты по риторике

Рефераты по социологии

Рефераты по статистике

Рефераты по страхованию

Рефераты по строительству

Рефераты по таможенной системе

Сочинения по литературе и русскому языку

Рефераты по теории государства и права

Рефераты по теории организации

Рефераты по теплотехнике

Рефераты по технологии

Рефераты по товароведению

Рефераты по транспорту

Рефераты по трудовому праву

Рефераты по туризму

Рефераты по уголовному праву и процессу

Рефераты по управлению

Учебное пособие: Стандартизация надежности в технике

Учебное пособие: Стандартизация надежности в технике


ЛЕКЦИЯ

"Стандартизация надежности в технике"


Введение

Надежность – это один из основных показателей качества, проявляющийся во времени и отражающий свойства объекта сохранять требуемые качественные показатели на протяжении всего времени его эксплуатации.

Надежность – свойство объекта сохранять во времени установленных пределах значения всех параметров, характеризующих способность выполнять требуемые функции в заданных режимах и условиях применения, технического обслуживания, хранения и транспортирования.

Надежность является комплексным свойством, которое в зависимости от назначения объекта и условий его применения может включать безотказность, долговечность, ремонтопригодность и сохраняемость или определенные сочетания этих свойств.

Под качеством объекта понимается совокупность свойств, определяющих его пригодность для использования по назначению.

Например, автомобиль характеризуется такими свойствами как: скорость, грузоподъемность, проходимость, расход горючего и др. Но эти показатели оценивают объект не полностью. Необходимо еще знать способность объекта сохранять эти свойства, эти показатели качества в течение определенного времени. Эта способность объекта оценивается надежностью.

В связи с повышением требований к продукции, ее усложнением надежность стала одной из наиболее сложных проблем, а последствия ненадежности, которые нельзя оценить никакими экономическими показателями – является гибель людей в результате различных катастроф, отказов военной техники в ответственные моменты. Поэтому, повышение надежности, продление ее ресурса, сокращение затрат на ремонт и технического обслуживания – основные задачи заказчика, разработчика, производителя, эксплуатационщика. Проблема надежности должна решаться на всех стадиях жизненного цикла изделия.

На стадии разработки изделия закладывается его надежность. Она зависит от:

– конструкции изделия и его узлов;

– применяемых материалов;

– методов защиты от вредных воздействий;

– системы смазки;

– приспособленности к техническому обслуживанию и ремонту.

На стадии производства обеспечивается надежность изделия, которая зависит от:

– качества изготовления деталей и сборки изделия;

– методов контроля и испытаний;

– других показателей технологического процесса.

На стадии эксплуатации реализуется надежность, проявляющаяся только в процессе использования техники по назначению с учетом своевременного и правильного технического обслуживания и ремонта.

Учитывая большое значение надежности, вопросам ее стандартизации всегда уделялось большое внимание.


1. Система стандартов «Надежность в технике»

Еще в годы существования СССР в нашей стране была разработана система стандартов «Надежность в технике» (ССНТ), которая обозначается как ГОСТ 27. В настоящее время ГОСТ 27. является межгосударственной, региональной системой стандартов стран СНГ.

Система стандартов «Надежность в технике» предназначена обеспечить эффективность организационных, конструкционных, технологических и эксплуатационных мероприятий, направленных на достижение оптимального уровня надежности объектов, а также объективность и сопоставимость результатов контроля и испытаний на надежность.

В систему стандартов «Надежность в технике» входят технические и организационно-методические стандарты, объекты стандартизации которых относятся к классификационным группам, указанным в табл. 1.

Таблица 1 – Классификационные группы системы стандартов «Надежность в технике»

Код группы Классификация группы объектов стандартизации
0 Общие вопросы надежности
1 Нормирование надежности
2 Методы расчета надежности
3 Методы обеспечения надежности
4 Испытания и контроль надежности
5 Сбор и обработка информации по надежности
6–9 Резерв

Стандарты в системе «Надежность в технике» обозначаются:

ГОСТ 27. – Система стандартов «Надежность в технике»;

ГОСТ 27.Х – код группы по табл. 4;

ГОСТ 27.ХХХ – порядковый номер в данной кодовой группе;

ГОСТ 27.ХХХ-ХХ – год утверждения стандарта (через тире).

Например, ГОСТ 27.003–90

Здесь ГОСТ 27. – ССНТ;

0 – код группы–общие вопросы надежности;

03 – порядковый номер стандарта в кодовой группе. Состав и общие правила задания требований по надежности;

90 – год утверждения стандарта.

Терминология в теории надежности

В теории надежности существует своя, в ряде случаев специфическая, терминология, определяющаяся ГОСТ 27.002–89. В ней все рассматриваемые изделия (деталь, узел, аппарат, агрегат, машина, система машин) называются объектом.

Каждый объект характеризуется качественными и количественными показателями (параметрами), которые определяются нормативными документами (в частности – эксплуатационной документацией. Параметры характеризуют все количественные и качественные свойства объекта. Но среди них есть выходные параметры, которые при несоответствии их НД, влияют на использование объекта по назначению, а есть параметры, которые не влияют на использование объекта по назначению.

Исправное состояние – состояние объекта, при котором он соответствует всем требованиям нормативно-технической и (или) конструкторской (проектной) документации.

Неисправное состояние – состояние объекта, при котором он не соответствует хотя бы одному из требований нормативно-технической и (или) конструкторской (проектной) документации. Неисправный – объект, не удовлетворяющий хотя бы одному требованию НД (машина с помятым крылом, противогаз с ржавчиной на противогазовой коробке и др.).

Работоспособное состояние – состояние объекта, при котором значения всех параметров, характеризующих способность выполнять заданные функции, соответствуют требованиям нормативно-технической и (или) конструкторской (проектной) документации. Таким образом, понятие работоспособность объекта связано не только со способностью работать, т.е. выполнять необходимые функции, но и с тем чтобы выходные параметры объекта находились в установленных пределах

Неработоспособное состояние – состояние объекта, при котором значение хотя бы одного параметра, характеризующего способность выполнять заданные функции, не соответствует требованиям нормативно-технической и (или) конструкторской (проектной) документации.

Нарушение работоспособности объекта характеризуется повреждением или отказом.

Повреждение – событие, заключающееся в нарушении исправного состояния при сохранении работоспособности объекта.

Отказ – событие, заключающееся в нарушении работоспособности объекта. Любой отказ возникает или может возникнуть через некоторый промежуток времени, который является случайной величиной и оценивается наработкой. Различные отказы имеют и разные последствия – от незначительных отклонений в работе объекта до аварийных ситуаций.

В случае отказа работоспособность объекта может быть восстановлена или не восстановлена в конкретной рассматриваемой ситуации.

Объект, работоспособность которого может быть восстановлена, называется восстанавливаемым, а если не может быть восстановлена – невосстанавливаемым.

Каждый объект характеризуется наработкой на отказ или сроком службы. Наработка определяется в часах, в километрах пробега, числом рабочих циклов, числом запусков, выстрелов и т.д. Наработку различают:

– для невосстанавливаемых объектов – «наработка до отказа», т.е. от начала эксплуатации до первого отказа;

– для восстанавливаемых объектов – «наработка на отказ», т.е. от окончания восстановления его работоспособности после отказа до возникновения следующего отказа.

Суммарная наработка объекта от начала его эксплуатации до достижения предельного состояния называется ресурсом.

Срок службы – календарная продолжительность эксплуатации объекта от ее начала или возобновления после среднего или капитального ремонта до наступления предельного состояния.

Предельное состояние – состояние объекта, при котором его дальнейшая эксплуатация должна быть прекращена из-за:

– неустранимого нарушения требований техники безопасности;

– неустранимого ухода заданных параметров за установленные пределы;

– неустранимого снижения эффективности эксплуатации;

– необходимости проведения среднего или капитального ремонта;

– других причин, указанных в НД.

Для оценки надежности объектов, находящихся на хранении и при транспортировании, введено понятие «срок сохраняемости». Это календарная продолжительность хранения и (или) транспортирования объекта, в течение которой сохраняются в заданных пределах значения параметров, характеризующих способность объекта выполнять заданные функции. По истечении срока сохраняемости объект должен соответствовать требованиям безотказности, долговечности и ремонтопригодности, установленным НД на объект. Различают также понятия: остаточный ресурс, назначенный ресурс, назначенный срок службы, назначенный срок хранения.

Остаточный ресурс – суммарная наработка объекта от момента контроля его технического состояния до перехода в предельное состояние. Аналогично вводятся понятия остаточной наработки до отказа, остаточного срока службы и остаточного срока хранения.

Назначенный ресурс – суммарная наработка, при достижении которой эксплуатация объекта должна быть прекращена независимо от его технического состояния.

Назначенный срок службы – календарная продолжительность эксплуатации, при достижении которой эксплуатация объекта должна быть прекращена независимо от его технического состояния.

Назначенный срок хранения – календарная продолжительность хранения, при достижении которой хранение объекта должно быть прекращено независимо от его технического состояния.

По истечении назначенного ресурса (срока службы, срока хранения) объект должен быть изъят из эксплуатации и должно быть принято решение, предусмотренное соответствующей НД – направление в ремонт, списание, уничтожение, проверка и установление нового назначенного срока и т.д.

Надежность – как свойство объекта сохранять во времени свою работоспособность является обобщенным понятием, включающим в себя: безотказность, долговечность, ремонтопригодность и сохраняемость.

Безотказность – это свойство объекта непрерывно сохранять работоспособность в течение длительного периода времени или некоторой наработки. Свойство безотказности объекта распространяется как на период его использования, так и на период хранения и транспортирования.

Долговечность – это свойство объекта сохранять работоспособность до наступления предельного состояния при установленной системе технического обслуживания.

Ремонтопригодность – это свойство объекта, заключающееся в приспособленности к предупреждению и обнаружению причин возникновения его отказов и устранению их последствий путем проведения ремонтов и технического обслуживания.

Сохраняемость – это свойство объекта непрерывно сохранять исправное и работоспособное состояние в течение и после хранения и (или) транспортирования.

С учетом этого можно дать следующее определение: надежность – это свойство работоспособного объекта, обусловленное его безотказностью, долговечностью, ремонтопригодностью и сохраняемостью.

Каждое из указанных выше свойств объекта (безотказность, долговечность, ремонтопригодность, сохраняемость), которые в целом характеризуют его надежность, определяются соответствующими показателями надежности по определенным планам наблюдения.

Планы наблюдения показателей надежности

На практике используют семь основных планов наблюдений, обозначенных индексами:

/N, U, N/; /N, U, r/; /N, U, T/; /N, R, r/; /N, R, T/; /N, M, r/; /N, M, T/.

Здесь N – число наблюдаемых объектов;

T – установленная наработка или календарная продолжительность наблюдений;

r – число отказов.

Буквы U, R, M в обозначениях планов наблюдений указывают степень и характер восстановления объектов в процессе наблюдения:

U – невосстанавливаемые и незаменяемые в случае отказа;

R – невосстанавливаемые, но заменяемые в случае отказа;

M – восстанавливаемые в случае отказа.

Прочитаем, для примера, некоторые из них:

/N, U, N/ – под наблюдение поставлено N объектов, наблюдения ведутся до отказа всех объектов или достижения ими предельного состояния. Отказавшие объекты не восстанавливаются и не заменяются новыми;

/N, R, r/ – под наблюдение поставлено N объектов, наблюдения ведутся до возникновения r отказов или предельных состояний. Отказавшие объекты не восстанавливаются, но заменяются новыми;

/N, M, T/ – Под наблюдение поставлено N объектов, наблюдение ведется в течение времени T. Отказавшие объекты в случае отказа восстанавливаются.

2. Показатели надежности и методы их определения

Показатели надежности подразделяются на составляющие свойства надежности для невосстанавливаемых и восстанавливаемых объектов (таблица 2).

Таблица 2 – Составляющие надежности для невосстанавливаемых и восстанавливаемых объектов

Составляющие

надежности

Показатели надежности для объектов
невосстанавливаемых восстанавливаемых
Безотказность

Р(t) – вероятность безотказной работы

Тср – средняя наработка

до отказа

Т0 – наработка на отказ

l(t) – интенсивность отказов

w – параметр потока отказов

Долговечность совпадают с показателями безотказности

Тр – средний ресурс

Тсл – средний срок службы

Ремонтопригодность -

Тв – среднее время восстановления

Сохраняемость

Тс – средний срок сохраняемости

Безотказность и ремонтопригодность (комплексные показатели) -

– коэфф. готовности

kти – коэфф. тех. использования

kог – коэфф. оперативной готовности

Рассмотрим эти показатели надежности.

Показатели безотказности

Вероятность безотказной работы (коэффициент надежности) – Р(t) – вероятность того, что в заданном интервале времени t (или в пределах заданной наработки) отказа объекта не возникает.

P(t)=Nt/Nto, (1)

где Nt, Nto – число работоспособных объектов в момент времени (t) и в начальный момент времени, т.е. при t=0.

В условиях эксплуатации количественную оценку безотказной работы получают по результатам обработки опытных данных, путем расчета отношения числа объектов (N), безотказно проработавших до момента времени (t), к числу (N0) объектов, работоспособных в начальный момент времени

, (2)

где r(t) – число отказов за время t.

При экспоненциальном законе распределения наработки на отказ, характерном для установившегося режима эксплуатации, вероятность безотказной работы определяется по формуле:

, (3)

где l – интенсивность отказов;

e – основание натуральных логарифмов (e=2,7183);

t – время.

Значение Р(t), как всякой вероятности, может находиться в пределах 0  P(t)  1.

Противоположное понятие – вероятность отказа Q(t). А сумма вероятностей противоположных событий равна единице.

P(t) + Q(t) = 1, (4)

Следует иметь ввиду, что применение вероятности безотказной работы и вероятности отказа без указания периода времени наблюдения не имеет смысла, ибо для различной продолжительности работы объекта вероятность безотказной работы и вероятность отказа будут так же различными.

Средняя наработка до отказа (для невосстанавливаемых объектов) – Тср – математическое ожидание наработки до первого отказа.

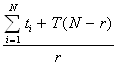
При плане наблюдений /N, U, T/ средняя наработка до отказа определяется по формуле

Тср= , (5)

где ti – наработка i-го объекта до отказа;

T – время наблюдения;

N – число наблюдаемых объектов;

r – число отказов во время наблюдения.

При плане наблюдения /N, U, N/ средняя наработка до отказа определяется по формуле:

Тср= , (6)


где tH - суммарная наработка до первого отказа всех наблюдаемых объектов;

N – число наблюдаемых объектов.

Интенсивность отказов l(t) (для невосстанавливаемого объекта) это вероятность отказа в единицу времени. При плане наблюдения /N, U, T/ определяется по формуле

, (7)

где r – число отказавших объектов за время Т (без их восстановления и замены новыми);

N – число объектов, поставленных под наблюдение;

Т – продолжительность наблюдения.

Для установившегося периода наблюдения при экспоненциальном законе распределения между показателем средней наработки до отказа Тср и интенсивностью отказов l(t) существует зависимость:

, (8)

Наработка на отказ Т0 – это отношение наработки к числу отказов в течение этой наработки и вычисляется по формуле:

, (9)

где tH – суммарная наработка объекта за время наблюдения без учета времени восстановления;

r – число отказов за время наблюдения (при условии восстановления каждого отказавшего элемента).

Достоинством этого показателя безотказности восстанавливаемых объектов является удобство вычисления его по экспериментальным данным. Поэтому Т0 используется в тактико-технических требованиях (ТТТ) для задания количественных требований надежности восстанавливаемых объектов.

Параметр потока отказов w – это среднее количество отказов в единицу времени. Следовательно, параметр потока отказов – величина, обратная наработке до отказа, т.е.

, (10)

Показатели долговечности

Межгосударственный стандарт ГОСТ 27. 003–90 устанавливает восемь показателей долговечности. Основные из них:

Средний ресурс Тр – это средняя наработка изделия до достижения предельного состояния, оговоренного в технической документации (это может быть средний или капитальный ремонт).

По статистической информации средний ресурс определяется

, (11)

где Tр,n – ресурс n-го объекта;

N – число объектов.

Гамма-процентный ресурс Тр g% – это наработка, в течение которого объект не достигает предельного состояния с заданной вероятностью g процентов. Если g=90%, то ресурс называют «девяностопроцентный ресурс».

Средний срок службы Тсл – это средняя календарная продолжительность срока службы изделия. Различают срок службы до списания, до капитального ремонта, межремонтный срок службы.

Гамма-процентный срок службы Тслg% – календарная продолжительность эксплуатации, в течение которой объект не достигает предельного состояния с вероятностью g процентов.

Как показатель надежности срок службы в отличие от ресурса характеризует долговечность объекта в процессе его эксплуатации и широко используется для нормирования надежности.

Показатели ремонтопригодности

Среднее время восстановления Тв – это математическое ожидание времени восстановления работоспособности объекта.

Под восстановлением работоспособности понимают ремонтный цикл, в течение которого осуществляют в определенной последовательности все установленные НД виды технического обслуживания и ремонта. Единица измерения – чел./часы.

В ряде случаев говорят о средней оперативной трудоемкости (продолжительности, стоимости) технического обслуживания (ремонта) данного вида объекта. Здесь под оперативной трудоемкостью понимают как среднее время восстановления в чел./час, так и стоимость технического обслуживания (ремонта) в рублях.

Показатели сохраняемости

Показателями сохраняемости оценивается способность объекта противостоять отрицательному влиянию условий хранения и (или) транспортирования на показатели безотказности, долговечности и ремонтопригодности, которые были у объекта до начала его хранения и (или) транспортирования.

Для восстанавливаемых и невосстанавливаемых объектов основными показателями сохраняемости являются:

Средний срок сохраняемости Тс – это средняя календарная продолжительность хранения и (или) транспортирования, в течение и после которой показатели безотказности, долговечности и ремонтопригодности объекта не выйдут за установленные пределы.

Гамма-процентный срок сохраняемости Тсg% – гарантируется срок сохраняемости с вероятностью g процентов.

Назначенный срок хранения – календарная продолжительность хранения в заданных условиях, по истечение которой применение объекта по назначению не допускается, независимо от технического состояния.

Комплексные показатели надежности

Комплексные показатели надежности отражают свойства безотказности и ремонтопригодности объектов. Рассмотрим три основных показателя.

Коэффициент готовности kг – вероятность того, что объект окажется работоспособным в произвольный момент времени, кроме планируемых периодов, в течение которых применение объекта по назначению не предусматривается.

kг оценивает надежность объекта на определенном интервале эксплуатации. Статистически среднее значение коэффициента готовности за определенный интервал эксплуатации объекта оценивается по формуле:

kг=, (12)


где tn – суммарная наработка n-го объекта в заданном интервале эксплуатации (Т0);

tвn – суммарная продолжительность восстановления работоспособности n-го объекта в интервале эксплуатации (Тв).

Другими словами, коэффициент готовности это отношение безотказной работы объекта за определенный интервал эксплуатации к сумме безотказной работы и ремонта объекта за тот же период, т.е.:

надежность техника стандарт показатель

kг= , (13)

Этот показатель часто используется в качестве нормируемого показателя надежности в ТТТ и в ТТЗ.

Коэффициент технического использования kти – отношение математического ожидания наработки объекта за некоторый период эксплуатации к сумме математических ожиданий наработки, продолжительности технического обслуживания и ремонтов за тот же период эксплуатации.

Статистически kти определяется отношением суммарного времени пребывания объектов в работоспособном состоянии (tn) к произведению числа наблюдаемых объектов (N) за время эксплуатации (Тэкс):

kти = , (14)

В отличии от kг коэффициент kти учитывает так называемые «узаконенные отказы», т.е. простои, вызванные необходимостью проведения плановых технического обслуживания и ремонта. Обычно kти определяют на базе первого ремонтного цикла и на базе последующих ремонтных циклов, т.е. Тэкс это время до окончания ремонтного цикла или от текущего ремонтного цикла до окончания последующего ремонтного цикла.

Коэффициент оперативной готовности kог – это вероятность того, что объект, находясь в режиме ожидания, окажется работоспособным в произвольный момент времени и, начиная с этого момента времени, будет работать безотказно в течение заданного интервала времени:

kог = P(t).kг, (15)

где P(t) – вероятность безотказной работы за время с момента которого возникает необходимость применения объекта по назначению, до момента времени, когда применение объекта по назначению прекращается;

kг – коэффициент готовности.

В данном случае kог характеризует надежность объекта, находящегося в режиме ожидания. Под режимом ожидания понимается не только то время, когда объект, находясь в работоспособном состоянии, бездействует, но и то время, когда он работает (или работают его отдельные механизмы), однако эффект от функционирования не используется (например, режим работы в учебных целях и др.).

В режиме ожидания объекты эксплуатируются как восстанавливаемые.

В режиме работы объекты эксплуатируются как невосстанавливаемые и характеризуются вероятностью безотказной работы Р(t) в течение времени их работы по назначению.

Показатель kог достаточно полно отражает модели функционирования различных образцов вооружения, использование которых в боевой обстановке осуществляется в режиме ожидания и в режиме работы.

В заключение рассмотрения количественных показателей надежности следует отметить следующее:

1. Показатели надежности объектов имеют характер системы. Чем большее число показателей используется для анализа надежности объекта, тем более полным становится этот анализ. Но это не означает, что всякий раз надо использовать весь перечень возможных показателей надежности. Этот перечень должен быть целесообразным, т.е. отвечать задаче объективной характеристики свойств объекта.

2. В системе показателей надежности целесообразно выделять главные показатели и вспомогательные, Для объектов сложных по своей структуре, многофункциональным по своим задачам к главным показателям относятся комплексные показатели.

3. Количественные значения показателей надежности следует задавать с учетом двух требований: с одной стороны показатель надежности должен быть не ниже некоторого уровня, который обеспечивает требуемую эффективность; с другой стороны – он не должен превышать этого уровня, ибо это приводит к удорожанию объекта.

4. Показатель надежности объекта всегда должен быть четко сформулирован на понятном для пользователя языке. Если, например, в ТТТ (ТТЗ) указываются требования к наработке на отказ (То), то обязательно должно быть разъяснено, что понимается под отказом данного объекта.

Физическая сущность и классификация отказов

Успешное решение практических вопросов обеспечения надежности военной техники зависит от правильного понимания физической сущности отказов, причин их возникновения, возможных последствий и способов борьбы с ними.

Напомним, что отказ – это событие, заключающееся в нарушении работоспособности объекта. Следовательно, в процессе воздействия на объект эксплуатационных факторов в любой произвольно выбранный момент времени может быть зафиксировано одно из двух возможных состояний объекта: работоспособное и неработоспособное. Но если все же отказ произошел и объект оказался в неработоспособном состоянии, то в каждом конкретном случае причины отказа и его проявления могут оказаться различными.

Различают два основных вида отказов: постепенный и внезапный.

Постепенные отказы возникают в результате изменения параметров и технических характеристик во времени. Они обусловлены физико-химическими процессами, протекающими в объекте под воздействием механической, тепловой, химической, электромагнитной и других видов энергии.

Перечисленные виды энергии воздействуют на объект, вызывая в нем ряд нежелательных процессов, и создают условия для ухудшения технических характеристик. Сам же процесс ухудшения технических характеристик объекта под воздействием физико-химических факторов и фактора времени принято называть «износом» или «старением». Процессы эти, как правило, необратимы и могут протекать с различной скоростью. Они проявляются в виде поломок, деформаций, износа, тепловых трещин, коррозии и т.д.

Постепенный отказ является неизбежным, закономерным результатом износа и старения любого объекта. Поэтому его возникновение нельзя рассматривать как случайное событие. Случайной величиной является только момент наступления отказа, то есть наработка объекта до отказа или предельного состояния. Вероятность отказа Q(t) в течение заданного периода времени от t1 до t2 зависит от длительности предыдущей работы объекта t1ч и связано с процессами износа, коррозии, усталости, ползучести материалов и др. факторами.

Внезапные отказы возникают в результате сочетания неблагоприятных факторов и внешних воздействий, превышающих возможности объекта к их восприятию. Отказ характеризуется скачкообразным изменением одного или нескольких параметров объекта. Сам факт возникновения внезапного отказа можно считать случайным событием, то есть вероятность наступления такого события не равна единице, а сам отказ в течение рассматриваемого отрезка времени может произойти или не произойти. Естественно, что и момент возникновения внезапного отказа тоже является случайной величиной, то есть вероятность его наступления меньше единицы и больше нуля. При этом выход из строя объекта происходит, как правило, внезапно, без предшествующих симптомов разрушения.

Интенсивность отказов при эксплуатации военной техники схематически изображена на рисунке 1.


Рисунок 1 – Зависимость интенсивности отказов (λ) от продолжительности эксплуатации (t)

На рисунке 1 представлена зависимость интенсивности отказов (λ) от продолжительности эксплуатации (t), характерная для ВТ, на которой можно, как правило, различить три периода (зависимость а).

Первый, начальный период характерен тем, что здесь проявляются так называемые приработочные отказы, интенсивность которых со временем снижается. Повышенная интенсивность отказов в этот период объясняется возможным наличием скрытых производственных дефектов и приработкой деталей. Этот период присущ лишь сложным образцам ВТ, собранных из комплектующих изделий и частей, изготовленных на разных предприятиях, при условии незначительных отклонений от технологического процесса, превышении допустимых величин внешних воздействующих факторов и др.

Второй период соответствует нормальной эксплуатации машины. Для этого периода характерен примерно постоянный уровень интенсивности отказов. Отказы первого и второго периодов возникают внезапно.

Для изделий, изготовленных на предприятиях с функционирующей сертифицированной системой качества, выпускаемых в строгом соответствии с существующими технологическими процессами, при использовании качественных материалов и комплектующих, первый и второй периоды эксплуатации между собой существенно не отличаются (зависимость б), поэтому стремление разработчиков и изготовителей изделий должно быть направлено на соблюдение этой зависимости. Как правило, реальная зависимость находится между линиями (а) и (б).

Третий период характеризуется нарастанием интенсивности отказов. Это связано с износом изделий и старением материалов. В этом периоде, наряду с внезапными отказами, все в большей степени появляются характерные постепенные, износные отказы. Но при правильной и умелой эксплуатации изделия можно отдалить наступление третьего периода. Путем своевременной профилактической замены близких к предельному состоянию деталей и узлов можно предотвратить их отказы в изделии в процессе их эксплуатации и тем самым исключить или свести к минимуму связанные с появлением отказов вредные последствия. При этом, систематическое выявление и изучение причин отказов позволяет устранить эти причины и тем самым повысить надежность объектов. То есть систематический, хорошо организованный сбор и изучение информации об отказах, анализ их физической природы, обнаружение и устранение их скрытых внутренних причин является реальной возможностью повышения надежности объектов.

Сбор и изучение информации об отказах вооружения и средств РХБ защиты

Сбор и изучение информации об отказах должен обеспечить выявление:

– наименее надежных составных частей и комплектующих элементов, лимитирующих надежность образцов;

– конструкционных и производственных недостатков, следствием которых является недостаточная надежность образцов;

– нарушений правил эксплуатации, недостатков системы технического обслуживания и ремонта образцов;

– несоответствия установленной номенклатуры и объема поставки ЗИП действительным потребностям.

Для реализации этого комплексной системой контроля качества (КСКК) в ГОСТ В 20.57.104 (112, 113, 114) изложены общие требования к формам сообщений о надежности изделий, планированию и организации наблюдений, а также требования к порядку и методам обработки информации о надежности изделий.

На основании перечисленных ГОСТов с учетом специфических особенностей разработано и введено в действие «Положение об организации сбора, обработки и реализации информации о надежности вооружения и средств РХБЗ».

В соответствии с этим Положением военные округа два раза в год (к 15 января и к 15 июня) представляют в ФГУ 33 ЦНИИИ МО РФ сведения о надежности вооружения и средств РХБ защиты по формам №2 и №5.

Форма 2 – это первичное сообщение об отказах и наработке изделий В и С РХБЗ. Она представляется в округа войсковыми частями на основе журналов наблюдений и содержит четыре раздела:

Раздел 1 – учет работы специального оборудования;

Раздел 2 – сведения об отказах специального оборудования;

Раздел 3 – учет технического обслуживания специального оборудования;

Раздел 4 – сведения о ремонтах специального оборудования.

Каждый раздел представляет собой таблицу.

На основании форм 2 военные округа обобщают сведения из войсковых частей в форму 5 – обобщенное сообщение об отказах, неисправностях и наработке специального оборудования, и вместе с формами 2 отправляют в ФГУ 33 ЦНИИИ МО РФ.

В ФГУ 33 ЦНИИИ МО РФ обобщают, обрабатывают всю эту информацию и представляют ее разработчикам и производителям для модернизации изделий с целью устранения причин, снижающих их надежность, совершенствования системы технического обслуживания, ремонта и обеспечения запасными частями.

Таким образом, система сбора, обработки и реализации информации о надежности вооружения и средств РХБ защиты обеспечивает решение задач повышения боевой готовности, качества и эффективности эксплуатации В и С РХБЗ.


Заключение

На сегодняшнем занятии мы рассмотрели следующие учебные вопросы:

– система стандартов «Надежность в технике».

– показатели надежности и методы их определения.


© 2012 Рефераты, доклады и дипломные работы, курсовые работы бесплатно.