рефераты
Главная

Рефераты по международному публичному праву

Рефераты по международному частному праву

Рефераты по международным отношениям

Рефераты по культуре и искусству

Рефераты по менеджменту

Рефераты по металлургии

Рефераты по муниципальному праву

Рефераты по налогообложению

Рефераты по оккультизму и уфологии

Рефераты по педагогике

Рефераты по политологии

Рефераты по праву

Биографии

Рефераты по предпринимательству

Рефераты по психологии

Рефераты по радиоэлектронике

Рефераты по риторике

Рефераты по социологии

Рефераты по статистике

Рефераты по страхованию

Рефераты по строительству

Рефераты по таможенной системе

Сочинения по литературе и русскому языку

Рефераты по теории государства и права

Рефераты по теории организации

Рефераты по теплотехнике

Рефераты по технологии

Рефераты по товароведению

Рефераты по транспорту

Рефераты по трудовому праву

Рефераты по туризму

Рефераты по уголовному праву и процессу

Рефераты по управлению

Реферат: Основы построения телекоммуникационных систем

Реферат: Основы построения телекоммуникационных систем

Содержание


  1. Введение _______________________________ 2

  2. Техническое задание _____________________ 3

  3. Расчет количества линий

коммутируемого доступа

от ТФОП к модемному лупу ______________ 4

  1. Расчет требуемой пропускной

способности канала связи к двум

смежным узлам провайдеров Интернет ____ 4

  1. Примерный состав оборудования _________ 5

  2. Схема организации связи ________________ 6

1. Введение


По данным исследовательских и консалтинговых компаний совсем недавно количество пользователей сети Интернет превышало 100 млн. Интернет предлагает своим пользователям самые разнообразные услуги, производители оборудования и ПО регулярно создают новые виды Интернет – приложения. Благодаря этому появляются новые группы пользователей, для которых всемирная сеть становится важным инструментом профессиональной деятельности. Среди таких групп одной из важнейших и постоянно растущих можно назвать категорию крупных корпоративных клиентов, использующих Интернет в своем бизнес процессе. Однако все острее стоит проблема доступа к сети Интернет, поскольку ее быстрое расширение уже сильно отразилось на телекоммуникационных системах. Очевидно, что скоро возникнет необходимость альтернативного доступа к сети помимо ТФОП.


2.Техническое задание

N 7 вариант – Е


    1. Составить схему организации связи, примерный состав оборудования городского узла Интернет.

    2. Выполнить расчет количества линий коммутируемого доступа от ТФОП к модемному пулу.

    3. Исходные данные:


Количество пользователей:


коммутируемый доступ – 800 пользователей,

нагрузка от одного пользователя – 0,01(Эрл).

некоммутируемый доступ – 100 пользователей,

нагрузка от одного пользователя – 0,01 (Эрл).

среднюю скорость передачи данных пользователя принять 12 ( Кбит/с). Допустимое снижение скорости – 5%.

30% трафика пользователя идет на местный WEB – сервер.

    1. Рассчитать требуемую пропускную способность канала связи к двум смежным узлам провайдеров Интернет.


3.Расчет количества линий коммутируемого

доступа от ТФОП к модемному пулу.


Так как количество пользователей коммутируемого доступа – 800, а нагрузка от одного пользователя – 0,01 (Эрл), то можем найти суммарную нагрузку от абонентов коммутируемого доступа.


Ак = 800 . 0,01 = 8 ( Эрл ) ;


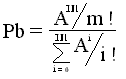
Для определения количества линий от ТФОП к модемному пулу воспользуемся табулированными значениями первой формулы Эрланга:



Где А – интенсивность нагрузки

m – количество линий

Рb – вероятность блокировки


При средней вероятности блокировки Рb = 0,005 количество линий будет равно m = 16.


4.Расчет требуемой пропускной способности канала связи к двум

смежным узлам провайдеров Интернет.


    1. Расчет нагрузки от пользователей некоммутируемого доступа.


Найдем суммарную нагрузку от абонентов некоммутируемого доступа:


Ан = 100польз х 0,01= 1 ( Эрл ).


Воспользовавшись табулированными значениями первой формулы Эрланга получим, что нагрузка эквивалентна 5 занятым линиям. Т.к. по заданию скорость передачи данных у абонентов некоммутируемого доступа равна 2 мбит/с, то суммарная скорость передачи будет 10 мбит/с.


    1. Расчет суммарной нагрузки от пользователей:


В пункте 3 полученное значение линий от ТФОП к модемному пулу получилось равным 16, при средней скорости передачи данных пользователей коммутируемого доступа – 12 кбит/с суммарная скорость будет:


12 х 16 = 192 кбит/с.


Таким образом скорость передачи данных пользователей коммутируемого и некоммутируемого доступа в сумме будет составлять 10 мбит/с + 192 кбит/с = 10,192 мбит/с.

Таким образом требуемая пропускная способность канала связи к двум смежным узлам провайдеров составит:

10,192 мбит/с

30% трафика, поступающего на местный WEB – сервер = 7,101 мбит/с.


  1. Примерный состав оборудования для организации связи.

Для организации связи требуется примерно следующее оборудование:


  • Модемы для пользователей коммутируемого доступа к примеру

Motorolla со скоростью передачи – 33,6 кбит/с.

  • Модемы для пользователей коммутируемого доступа, например

Hponics PCMS – модем для выделенных линий со скоростью

передачи – 2048 кбит/с.

  • В качестве сервера используется компьютер, например

Intel Pentium-III.

  • Так же применяется маршрутизатор, например Cisco 2600.



© 2012 Рефераты, доклады и дипломные работы, курсовые работы бесплатно.