рефераты
Главная

Рефераты по международному публичному праву

Рефераты по международному частному праву

Рефераты по международным отношениям

Рефераты по культуре и искусству

Рефераты по менеджменту

Рефераты по металлургии

Рефераты по муниципальному праву

Рефераты по налогообложению

Рефераты по оккультизму и уфологии

Рефераты по педагогике

Рефераты по политологии

Рефераты по праву

Биографии

Рефераты по предпринимательству

Рефераты по психологии

Рефераты по радиоэлектронике

Рефераты по риторике

Рефераты по социологии

Рефераты по статистике

Рефераты по страхованию

Рефераты по строительству

Рефераты по таможенной системе

Сочинения по литературе и русскому языку

Рефераты по теории государства и права

Рефераты по теории организации

Рефераты по теплотехнике

Рефераты по технологии

Рефераты по товароведению

Рефераты по транспорту

Рефераты по трудовому праву

Рефераты по туризму

Рефераты по уголовному праву и процессу

Рефераты по управлению

Курсовая работа: Связной передатчик с амплитудной модуляцией

Курсовая работа: Связной передатчик с амплитудной модуляцией

Министерство образования РФ

ГОУ ВПО УГТУ-УПИ

Радиотехнический институт

Кафедра РЭИС

ПОЯСНИТЕЛЬНАЯ ЗАПИСКА К КУРСОВОЙ РАБОТЕ

ПО ДИСЦИПЛИНЕ УГФС

СВЯЗНОЙ ПЕРЕДАТЧИК С АМПЛИТУДНОЙ МОДУЛЯЦИЕЙ

Руководитель Харитонов Ф. В.

Студент Карамышев А. Ф.

Екатеринбург 2009


ЗАДАНИЕ НА КУРСОВОЕ ПРОЕКТИРОВАНИЕ

-  назначение передатчика: связной,

-  диапазон рабочих частот: f = (35 ¸ 45) МГц,

-  мощность, передаваемая в антенну: РАмол = 1,5 Вт,

-  относительная стабильность частоты: Df/f = 4*10-5,

-  вид источника питания: химический источник тока (U = 16 В).


СОДЕРЖАНИЕ

1.  Выбор и обоснование функциональной схемы передатчика

2.  Выбор транзистора для оконечной ступени передатчика

3.  Расчет оконечного каскада передатчика

4.  Расчет входного сопротивления антенны

5.  Расчет цепи согласования

Заключение

Библиографический список


1. ВЫБОР И ОБОСНОВАНИЕ ФУНКЦИОНАЛЬНОЙ СХЕМЫ ПЕРЕДАТЧИКА

Для того чтобы выбрать и обосновать функциональную схему передатчика необходимо выяснить основные принципы построения проектируемого передатчика: выбрать способ формирования заданного вида модуляции, определить принцип построения выходного каскада и тип применяемых в нем транзисторов, решить вопрос о применении типового возбудителя или необходимости разработки автогенератора. На основании этих данных есть возможность составить функциональную схему и определить общее число усилителей и других каскадов, типы транзисторов и т. д.

Исходя из того, то АМ является основным видом модуляции, то необходимо выбрать способ ее осуществления, обеспечивающий заданное качество модуляции при возможно более высоком КПД передатчика и простом управлении.

Заданная полезная мощность – одно из основных требований к передатчику. Ее обеспечивает выходной (оконечный) каскад передатчика. Между выходом передатчика, предназначенного для подключения антенно-фидерной системы, и транзисторами выходного каскада всегда расположены цепи согласования, фильтрации и др. Несмотря на то что они обычно выполняются на реактивных элементах (конденсаторах, катушках индуктивности), в них всегда теряется часть энергии. На начальном этапе проектирования об этих согласующих цепях еще ничего не известно, поэтому приходится учитывать их свойства ориентировочно. Исходя из заданного частотного диапазона и выходной мощности передатчика, КПД согласующей цепи не превышает 0,8.


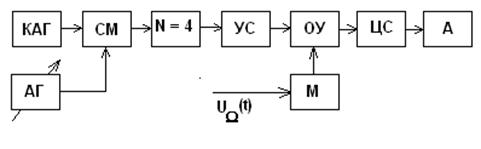
Рис. 1: Функциональная схема передатчика: КАГ – кварцевый автогенератор; АГ – автогенератор; СМ – смеситель; N – умножитель частоты; УС – промежуточный усилитель; ОУ – оконечный усилитель; М – модулятор; ЦС – цепь связи; А – антенна.

Модулирующий сигнал поступает в модулятор с выхода микрофона или, если это необходимо, с усилителя низкой частоты. Модулируемый сигнал формируется с помощью кварцевого автогенератора настроенного на частоту 8 МГц и автогенератора генерирующего колебания с частотами 0,75 – 3,25 МГц.

Стабильность частоты кварцевого автогенератора Df/fКАГ = 10-5, перестраевомого Df/fАГ= 5*10-4. Общая нестабильность частоты Dfå/få=4*10-5. Далее эти колебания складываются в смесителе. Далее модулируемый сигнал поступает на умножитель частоты, кратность умножения – 4. Следовательно колебательный контур в умножителе частоты должен быть настроен на четвертую гармонику. Для подачи сигнала в оконечный каскад его необходимо предварительно усилить его. Для этого используется предварительный усилитель. В оконечном усилителе происходит окончательное усиление сигнала. Так как выходное сопротивление оконечного каскада меньше, чем входное сопротивление антенны, необходимо использовать цепь согласования.


2. ВЫБОР ТРАНЗИСТОРА ДЛЯ ОКОНЕЧНОЙ СТУПЕНИ ПЕРЕДАТЧИКА

Рациональный выбор транзистора для усилителя мощности - многовариантная задача, решение которой влияет на такие характеристики генератора с внешним возбуждением, как коэффициент полезного действия и коэффициент усиления мощности.

В задании на курсовое проектирование указана колебательная мощность на входе антенны в режиме молчания - РАМОЛ = 1,5 Вт. То есть

РАMAX = (1 + m)2 = 6 Вт

Но между фидерным разъемом и коллекторной цепью транзистора стоит цепь связи, трансформирующая сопротивление фидера и ослабляющая внеполосные излучения передатчика. На сопротивлениях потерь элементов цепи связи бесполезно теряется часть колебательной мощности, генерируемой транзистором. Для оценки мощности Р1, которую должен отдавать транзистор, следует задаться величиной КПД цепи связи.

hЦС = РФ/P1 = 0,7

Мощность, на которую следует рассчитывать ГВВ, равна:

Р1 = РАMAX/hЦС = 6 Вт / 0,7 = 8,6 Вт

Справочная величина мощности, отдаваемой транзистором в приведенном примере, должна быть не менее 10 Вт.

Как правило, для генерации заданной мощности в нагрузке в определенном диапазоне частот можно подобрать целый ряд транзисторов. При одинаковой выходной мощности ГВВ на этих приборах будут иметь разный КПД и коэффициент усиления по мощности. Из группы транзисторов нужно выбрать тот, который обеспечивает наилучшие электрические характеристики усилителя мощности.

Коэффициент полезного действия каскада связан с величиной сопротивления насыщения транзистора - r НАС. Чем меньше его величина, тем меньше остаточное напряжение в граничном режиме и выше КПД генератора.

Коэффициент усиления по мощности КР зависит от ряда параметров транзистора - коэффициента передачи тока базы bО , частоты единичного усиления f T и величины индуктивности эмиттерного вывода LЭ . При прочих равных условиях КР будет тем больше, чем выше значение bО , f T и меньше LЭ.

Из данных таблицы [1] следует, что заданную мощность можно получить, используя транзисторы 2Т921А, 2Т934Б, 2Т909А. Далеко не все их можно использовать в проектируемом генераторе. Сразу следует отсеять транзисторы, диапазон рабочих частот которых не совпадает с заданной частотой. Исходя из вышеизложенного выберем транзистор 2Т921А.

Параметры идеализированных статических характеристик:

Сопротивление насыщения транзистораrНАС=1.2 Ом;

Коэффициент усиления по току в схеме с ОЭβо=28;

Высокочастотные параметры:

Граничная частота усиления по току в схеме с ОЭ fт=164 МГц;

Барьерная емкость коллекторного переходаСк=45 пФ;

Барьерная емкость эмиттерного переходаСэ=367 пФ;

Индуктивность вывода эмиттераLэ=3 нГн;

Допустимые параметры

Предельное напряжение на коллекторе Uкэ доп=65 В;

Постоянная составляющая коллекторного тока Iкомакс. доп=3,5А;

Диапазон рабочих частот КВ, УКВ;

Энергетические параметры

Максимально допустимая мощностьPн=12,5 Вт;

Режим работы линейный, <-30 дБ.

3. РАСЧЕТ ОКОНЕЧНОГО КАСКАДА ПЕРЕДАТЧИКА

В оконечном каскаде радиопередатчика необходимо усилить имеющийся сигнал до заданной мощности. В этом разделе необходимо произвести расчет коллекторной цепи в критическом режиме и режиме молчания, а также рассчитать входную цепь транзистора. Передатчик считается узкодиапазонный, т.к. коэффициент перекрытия частоты рабочего диапазона = == 1,28.

Расчет коллекторной цепи генератора в критическом режиме:

Р1 = РАMAX = 10 Вт

Eк = 16 В

Примем угол отсечки q = 1100, согласно таблице [3]:

(q) = 0,509

1(q) = 0,713

0 = 0,379

1 = 0,513

2 = 0,131

Sгр = 1/rНАС = 1/1,2 = 0,83

Амплитуда первой гармоники напряжения на коллекторе:

Uк = Eк * xк = 12,2 В


Амплитуда тока первой гармоники тока коллектора:

IK1 = 2P1 / Uk = 20 Вт / 12,2 В = 1,64

Постоянная составляющая коллекторного тока:

IK0 = IK1 / g1(q)

Высота импульса тока коллекторного тока:

IKMAX = IK1 / 1(q) = 1.64/0.513 = 3.2

I k макс не должен превышать допустимое значение максимального тока для выбранного транзистора

Сопротивление коллекторной нагрузки:

RK = UK / IK1 = 12.2/1.64 = 7.44 Ом

Остаточное напряжение на коллекторе транзистора в граничном режиме:

eкMIN = IKMAX* rНАС = 3.2*1.2 = 3.84

Мощность, потребляемая от источника коллекторного питания:

Р0 = 16В*1,21А = 19,4 Вт

КПД: h = Р1/Р0 = 0,5*xгрa0(q)/a1(q) = 0,5*,76*,379/,513 = 0,28


Расчет входной цепи транзистора:

Так как значения сопротивлений rб, rэ и Rуэ не заданы, то их необходимо принять равными

Для устранения перекосов в импульсах включим шунтирующее добавочное сопротивление Rдоп между выводами базы и эмиттера транзистора. Сопротивление Rдоп выбирают следующим образом:

Подпись: Рис.4.


.

Амплитуда тока базы:

c = 1 + 0,713*6,28*164*106*45*10-12*7,44 = 0,24

Максимальное обратное напряжение на эмиттерном переходе:

Постоянные составляющие базового и эмиттерного токов:


Iэ0 = 1,253 А

Расчет режима молчания:

В силу линейности статической модуляционной характеристики

Iк1МОЛ = Iк1MAX/(1 + m), но Iк1МОЛ = S*Uб*1(qМОЛ), следовательно:

1(q) = Iк1MAX/((1 + m) S*Uб)

1(qМОЛ) = 0,367 Þ qМОЛ = 800, COSqМОЛ = 0.174, 0(qМОЛ) = 0,286

1(qМОЛ) = 0,472:

ЕМОЛ = -UБ* COSqМОЛ + Е`

UW = ЕБMAX - ЕМОЛ

4. РАСЧЕТ ВХОДНОГО СОПРОТИВЛЕНИЯ АНТЕННЫ

RВХ = Rå/sin2(2pLА/l) = 20(2p LА /l)2/sin2(2p LА /l)

RВХ = 20(2p/6)2/sin2(2p/6) = 29,6 Ом » 30 Ом

5. РАСЧЕТ ЦЕПИ СОГЛАСОВАНИЯ

передатчик транзистор генератор антенна

Цепь согласования предназначена для согласования выходного сопротивления оконечного каскада и входного сопротивления антенны. Перед расчетом схемы согласования необходимо выяснить, необходимо ли при этом учитывать реактивности схемы замещения транзистора. Для этого необходимо проверить выполнение условия QВЫХ = wСКRКЭ < 0,1 для схемы замещения транзистора. wСКRКЭ = 0,11, следовательно, при расчете ЦС реактивности схемы замещения транзистора учитывать надо.

Учет реактивностей АЭ в РПУ с заданными АЧХ (как узкодиапазонных, так и широкодиапазонных) производится следующим образом. Ёмкость Ск и индуктивность Lк вписывают (абсорбируют) в структуру СУ. Часто структуру СУ разбивают на две. Первая, простейшая абсорбирует реактивности транзистора. Вторая обеспечивает трансформацию (и может быть фильтрацию гармоник).

Рис. 2 Схема c ППФ

Используем в качестве первой структуры схему двухконтурного ППФ рис. 2. При выполнении условий: Df < 0.073/CkRk; fо2 = fв х fн; элементы схемы рассчитываются по формулам:

L1=1/о2Ck-Lk; L2=(0.9CkRk2-nLk)/n2 >(2-10) нГ; C = 1.1Rk/n2 ;

n = 1/(1-о2CkLk); R=0.9Rк/n2.

Вторая часть СУ осуществляет трансформацию сопротивления R (рис. 2) к уровню сопротивления фидера RВХ. В качестве такого СУ можно использовать ППФ, квазиполосовые фильтры, связанные контура, трансформаторы на отрезках длинных линий (ТДЛ). ППФ квазиполосовые фильтры и связанные контура частично фильтруют гармоники и требования к фильтрам гармоник снижаются.


Рис. 3 Схема согласующего устройства

Пример расчета СУ, состоящего из двух частей: двухконтурного ППФ (рис.2), абсорбирующего ёмкость Ск и индуктивность Lк, и четырехэлементной квазиполосовой цепи, трансформирующей сопротивление R к уровню RВХ, показан на рис. 3.

Для расчета принято: fо= 39,7 МГц, f=10 МГц, Cк=45 пФ, Rк=7,4 Ом, Lк=3 нГ. По соотношениям к рис. 2: L1=352 нГ; L2=180 нГ; C=270 пФ; R=5,74 Ом.

Нормированные величины элементов квазиполосовой цепи определим из табл.: 4=1.366; 3=0.652; =3.26; =n2=0.3415. Коэффициент трансформации сопротивления n2 = RВХ /R = 30/7,4 = 4,05. (Примем n2=4) и а = 2(fв-fн)/(fв+fн)=0.25 (Примем а=0.3). Денормируя, получим: L4=20.5 нГ; C3=110 пФ; L2=48 нГ; C1=45 пФ.


ЗАКЛЮЧЕНИЕ

В ходе выполнения курсовой работы спроектирован связной передатчик с АМ с параметрами указанными в задании на проектирование, а именно: выбраны структурная схема, элементная база, получена электрическая принципиальная схема, произведены электрические и конструктивные расчёты ОК и ЦС с фидером. Таким образом, спроектированный передатчик обеспечивает работу в диапазоне 35…45 МГц с выходной мощностью 1,5 Вт при питании от химического источника тока напряжением 16 В.


БИБЛИОГРАФИЧЕСКИЙ СПИСОК

1.  Булатов Л.И., Гусев Б.В., Генерирование и формирование сигналов: Методические указания к курсовому проектированию по дисциплине “Устройства формирования сигналов”. Екатеринбург: Изд-во УГТУ, 2003 г.

2.  Шумилин М.С., Козырев В.А., Власов В.А. и др. Проектирование транзисторных каскадов передатчиков: Учеб. Пособие для техникумов. – М.: Радио и связь 1987. 320 с.: ил.

3.  Гусев Б. В. Устройства генерирования и формирования сигналов: Учебное пособие / Екатеринбург: ГОУ ВПО УГТУ-УПИ, 2002. 138с.


© 2012 Рефераты, доклады и дипломные работы, курсовые работы бесплатно.