рефераты
Главная

Рефераты по международному публичному праву

Рефераты по международному частному праву

Рефераты по международным отношениям

Рефераты по культуре и искусству

Рефераты по менеджменту

Рефераты по металлургии

Рефераты по муниципальному праву

Рефераты по налогообложению

Рефераты по оккультизму и уфологии

Рефераты по педагогике

Рефераты по политологии

Рефераты по праву

Биографии

Рефераты по предпринимательству

Рефераты по психологии

Рефераты по радиоэлектронике

Рефераты по риторике

Рефераты по социологии

Рефераты по статистике

Рефераты по страхованию

Рефераты по строительству

Рефераты по таможенной системе

Сочинения по литературе и русскому языку

Рефераты по теории государства и права

Рефераты по теории организации

Рефераты по теплотехнике

Рефераты по технологии

Рефераты по товароведению

Рефераты по транспорту

Рефераты по трудовому праву

Рефераты по туризму

Рефераты по уголовному праву и процессу

Рефераты по управлению

Курсовая работа: Расчет межстанционной сети связи районированной ГТС с УВС

Курсовая работа: Расчет межстанционной сети связи районированной ГТС с УВС

Минобрнауки России

Федеральное агентство по образованию

Государственное образовательное учреждение высшего профессионального образования

«Ижевский государственный технический университет»

Кафедра «Сети связи и телекоммуникационные системы»

Курсовая работа

по дисциплине «Теория телетрафика»

на тему: «Расчет межстанционной сети связи районированной ГТС с УВС»

Вариант 6

Выполнил

студент группы 8-77-3: Мухачев В.В.

Принял: Абилов А.В.

Ижевск, 2011


Содержание

1. Задание и исходные данные

2. Расчет интенсивности поступающей нагрузки для каждой АТС

3. Расчет интенсивности нагрузки на выходе каждой АТС

4. Определение внутристанционной нагрузки

5. Определение интенсивности нагрузки на УСС и АМТС

6. Расчет интенсивности нагрузки, распределяемой по направлениям других АТС

7. Распределение интенсивности нагрузки на направлениях межстанционной связи различными методами

7.1 Пропорционально исходящим интенсивностям нагрузок станций

7.2 Пропорционально ёмкости станций

7.3 Пропорционально условным исходящим интенсивностям нагрузок станций

8. Структурные матрицы распределения нагрузок

8.1 Пропорционально исходящим нагрузкам

8.2 Пропорционально ёмкости станций

8.3 Пропорционально коэффициентам тяготения

9. Структурные матрицы расчетных нагрузок

9.1 Пропорционально исходящим нагрузкам

9.2 Пропорционально ёмкости станций

9.3 Пропорционально коэффициентам тяготения

10. Матрицы соединительных линий

10.1 Пропорционально исходящим нагрузкам

10.2 Пропорционально ёмкости станций

10.3 Пропорционально коэффициентам тяготения

11. Структурные матрицы потоков

11.1 Пропорционально исходящим нагрузкам

11.2 Пропорционально ёмкости станций

11.3 Пропорционально коэффициентам тяготения

12. Расчет числа соединительных линий и цифровых трактов между площадками

13. Проектирование ГТС с УВС с использованием программы "NET 5(6)"

13.1 Матрица нагрузок (каждая с каждой)

13.2 Структурная матрица нагрузок

13.3 Матрица соединительных линий

13.4 Структурная матрица 30-канальных трактов

Вывод

Список литературы


1. Задание и исходные данные

Задание

1. Для каждой АТС заданной сети рассчитать поступающую от абонентов телефонные нагрузки, пересчитать нагрузки на выходы каждой АТС.

2. Распределить общую выходящую нагрузку каждой АТС по следующим направлениям: на АМТС, на УСС, на внутристанционном направлении.

3. Оставшуюся нагрузку (исходящую) распределить по направлениям других АТС тремя методами: пропорционально емкости АТС, пропорционально исходящим нагрузкам АТС, пропорционально условным исходящим нагрузкам АТС (с учетом расстояний между АТС). Составить соответствующие матрицы (таблицы) нагрузок для полносвязной схемы.

4. Для каждого из трех методов распределения нагрузки составить структурные матрицы (таблицы) нагрузок согласно заданной схемы соединения АТС в сети.

Составить соответствующие матрицы (таблицы) расчетных нагрузок.

5. По табл. Эрлангов определить количество СЛ на всех направлениях межстанционной связи и составить соответствующие матрицы (таблицы) соединительных линий.

6. Составить матрицы (таблицы) первичных цифровых трактов (ПЦТ) между площадками.

7. Сравнить результаты, полученные для разных трех методов распределения нагрузки, и сделать выводы.

8. Провести все аналогичные расчеты параметров межстанционной связи с помощью программы «NET5(6)» (с использованием одного метода распределения нагрузок по направлениям других АТС – пропорционально исходящим нагрузкам).

9. Сделать вывод по курсовой работе.

Исходные данные: Параметры РАТС:

Число абонентов квартирного и учрежденческого сектора (таблица 1.1):

Таблица 1.1 Число абонентов квартирного и учрежденческого сектора

 АТС1  АТС2  АТС3  АТС4  АТС5  АТС6  АТС7  АТС8
НХ  КИ  НХ  КИ  НХ  КИ НХ  КИ  НХ  КИ НХ  КИ НХ  КИ НХ  КИ
3000 7000 5000 4000 6000 3000 9000 1000 3000 4000 1000 8000 1000 8000 1000 8000
 10000  9000  9000  10000  7000  9000  9000  9000

Из-за отсутствия результатов статистических наблюдений за параметрами нагрузки, воспользуемся средними значениями параметров нагрузки для абонентов различных категорий ГТС, представленные в табл. 1.2.

Таблица 1.2 Параметры нагрузки для числа абонентов квартирного сектора до 75%.

Число жителей населенного пункта, тысяч человек Квартирный сектор Учрежденческий сектор

, с

, с

Свыше 500 1,1 110 4,0 85

Параметры нагрузки для числа абонентов квартирного сектора свыше 75%.

Таблица 1.3

Число жителей населенного пункта, тысяч человек Квартирный сектор Учрежденческий сектор

, с

, с

Свыше 500 1,2 140 3,3 90

- средняя продолжительность разговора;

 – среднее число вызовов от одного абонента.

На АТС1, АТС2, АТС3, АТС4, АТС5 доля абонентов квартирного сектора не превышает 75%, а на АТС6, АТС7 и АТС8 доля абонентов квартирного сектора превышает 75%. Все АТС – координатные.

Для АТСК принимаем следующий спектр занятий (таблица 1.4)

Таблица 1.4 Спектр занятий и средние длительности занятий.

kзн kно kош kтех tсо tпв tнн tуст tпвн tтех tош tст
0,3 0,5 0,18 0,02 0,5 2,5с 30с 12с 18с

 - средняя продолжительность слушания абонентом сигнала «ответ станции»;

– среднее время посылки вызова абонента;

 - средне время набора номера;

 - среднее время установления соединения;

- среднее время посылки вызова номера;

– средняя длительность безуспешного занятия по техническим причинам;

 - среднее время отбоя.

кp – коэффициент полезного действия станции по вызовам.

кзн – коэффициент занятости линии вызываемого абонента.

кно – коэффициент неответа вызываемого абонента.

кош – коэффициент ошибки вызывающего абонента.

ктех – коэффициент технической неисправности в узлах коммутации.



2. Расчет интенсивности поступающей нагрузки для каждой АТС

Для начала дадим определение интенсивности поступающей нагрузки.

Интенсивностью поступающей нагрузки называется среднее число вызовов, поступивших на вход системы обслуживания от группы источников N за время, равное средней длительности одного занятия :

Расчёт интенсивности нагрузки можно выполнять для источников каждой категории отдельно. Интенсивность поступающей нагрузки в целом определяется как сумма интенсивностей нагрузки каждой категории абонентов (2.1):

                                                         (2.1)

где  – число абонентов i-ой категории;

 – среднее число вызовов от одного абонента i-ой категории;

– средняя длительность занятия коммутационной системы при обслуживании одного вызова от абонента i-ой категории;

Средняя длительность одного занятия на АТС может быть рассчитана по формуле (2.2):

         (2.2)


где  - средняя длительность успешного занятия:

;

 - средняя длительность безуспешного занятия по причине занятости линии вызываемого абонента:

 ;

 - средняя длительность безуспешного занятия по причине неответа вызываемого абонента:

Рассчитаем значения , ,  и среднюю длительность одного занятия для абонентов квартирного и учрежденческого секторов при использовании АТСК, используя данные табл. 1.2 спектра занятий (для АТС1, АТС2, АТС3, АТС4, АТС5) (таблица 2.1):

Таблица 2.1 Средняя длительность одного занятия для абонентов квартирного и учрежденческого секторов.

Категория абонентов

, с

, с

, с

, с

Квартирный сектор 131,5 14,5 44,5 78,47
Учережденческий сектор 106,5 14,5 44,5 65,97

Используя данные табл.1.3 рассчитываются значения , ,  и средняя длительность одного занятия для абонентов квартирного и учрежденческого секторов при использовании АТСК (для АТС6, АТС7, АТС8):

Таблица 2.2

Категория абонентов

, с

, с

, с

, с

Квартирный сектор 161,5 14,5 44,5 93,47
Учережденческий сектор 111,5 14,5 44,5 68,47

В табл. 2.3 представлены интенсивности поступающих нагрузок для каждой АТС, рассчитанные по формуле 2.1.

Таблица 2.3 Интенсивности поступающих нагрузок для каждой АТС.

№ АТС ATC 31/1 ATC 32/4 ATC 33/5 ATC 41/2 ATC 42/6 ATC 51/3 ATC 52/7 ATC 53/8
Yпост , Эрл. 387,74 462,41 511,73 683,68 315,81 312,02 312,02 312,02

3. Расчет интенсивности нагрузки на выходе каждой АТС

Нагрузка на выходах коммутационного поля меньше нагрузки, поступающей на её входы, так как длительность занятия выхода коммутационного поля меньше длительности занятия входа на величину, включающую в себя длительность слушания сигнала ответа станции , набора знаков номера вызываемого абонента , установления соединения :

                     (3.1)

Средняя длительность занятия входа коммутационного определяется как средневзвешенная из длительностей занятия входов источниками разных категорий:

                                    (3.2)

Интенсивность нагрузки (ИН) на выходе коммутационного поля РАТС распределяется по следующим направлениям связи:

внутристанционная связь;

к УСС;

к АМТС;

исходящие связи к остальным АТС.

Интенсивность нагрузки на выходах коммутационного поля рассчитывается по формуле (3.3):


                           (3.3)

Общая исходящая интенсивность нагрузки сети:

                      (3.4)

Результаты, полученные из формул (3.1), (3.2), (3.3), (3.4) сведём в таблице 3:

Таблица 3 Интенсивность нагрузки на выходе каждой АТС.

№ АТС ATC 31/1 ATC 32/4 ATC 33/5 ATC 41/2 ATC 42/6 ATC 51/3 ATC 52/7 ATC 53/8
Yвх , Эрл. 387,74 462,41 511,73 683,68 315,81 312,02 312,02 312,02

 ,с

70,85 68,22 67,48 66,34 69,32 75,48 75,48 75,48

 ,с

56,35 53,72 52,98 51,84 54,82 60,98 60,98 60,98
Yвых , Эрл. 308,38 364,13 401,77 534,25 249,75 252,08 252,08 252,08
Yвых. сети , Эрл. 2614,52

4. Определение внутристанционной нагрузки

Для определения внутристанционной нагрузки сначала рассчитывается общая исходящая интенсивность нагрузки сети (см. табл. 4.1):

, где  - номер АТС.

Затем вычисляем долю исходящей интенсивности нагрузки для каждой АТС от общей исходящей интенсивности нагрузки сети в процентах:

%.                       (4.1)

Расчет внутристанционных интенсивностей нагрузки производим по формуле:

.                         (4.2)

По таблице определим процент интенсивности внутристанционной нагрузки  от интенсивности исходящей нагрузки -й АТС.


Таблица 4.1

Результаты расчетов сведём в таблице 4.2.

Таблица 4.2 Внутристанционная нагрузка

№ АТС АТС1 АТС2 АТС3 АТС4 АТС5 АТС6 АТС7 АТС8
η,% 11,79% 13,93% 15,37% 20,43% 9,55% 9,64% 9,64% 9,64%
Квн 28,3 32,9 38,3 38,5 26,4 26,4 26,4 26,4
Yвн,Эрл 87,27 119,80 153,88 205,69 65,93 66,55 66,55 66,55

5. Определение интенсивности нагрузки на УСС и АМТС

Интенсивность нагрузки, распределяемая к УСС составляет 5 % от интенсивности исходящей на АТС нагрузки, т.е.

                          (5.1)

Между местными сетями и АМТС имеются СЛ двух видов:

- исходящие ЗСЛ (заказно-соединительные линии) в направлении к АМТС, предназначены для установления исходящей автоматической междугородной связи (включая внутризоновую), а также предварительных заказов на междугородные соединения с пунктами, не имеющими автоматической междугородной телефонной связи;

- и входящие СЛМ (соединительные линии междугородные) от АМТС к местным сетям для установления входящих междугородных соединений.

Интенсивность нагрузки, распределяемая к АМТС (на ЗСЛ) определяется:

                                (5.2)

где: - число абонентов -й категории; - удельная междугородная интенсивность нагрузки, определяемая по таблице в зависимости от числа жителей в городе:


В нашем случае для населённого пункта с населением 500-1000 тыс. чел. она равна 0,0032 Эрл.

Интенсивность нагрузки от АМТС (на соединительные линии междугородние) определяется по формуле:

, (5.3)

где: =150 c – средняя длительность занятия ЗСЛ; = 126 с – средняя длительность занятия СЛМ.

Рассчитанные значения сведём в табл. 5:

Таблица 5 Интенсивность нагрузки на УСС и АМТС

№АТС ATC 1 ATC 2 ATC 3 ATC 4 ATC 5 ATC 6 ATC 7 ATC 8
YУСС, Эрл 15,42 18,21 20,09 26,71 12,49 12,60 12,60 12,60
YЗСЛ кв , Эрл 22,40 12,80 9,60 3,20 12,80 25,60 25,60 25,60
YЗСЛ уч , Эрл 9,6 16,00 19,20 28,80 9,60 3,20 3,20 3,20
YЗСЛ общ , Эрл 32,00 28,80 28,80 32,00 22,40 28,80 28,80 28,80
YСЛМ , Эрл 26,88 24,19 24,19 26,88 18,82 24,19 24,19 24,19

6. Расчет интенсивности нагрузки распределяемой по направлениям других АТС

Интенсивность нагрузки распределяемая по направлениям других АТС определяется следующим образом (формула 5):

 (6)

Результаты вычислений по формуле (5) и результаты табл. 5 сводятся в общую таблицу 6.

Таблица 6 Интенсивность нагрузки распределяемой по направлениям других АТС

№ АТС Индекс АТС Yпост , Эрл Yвых ,Эрл YУСС ,Эрл YЗСЛ ,Эрл Kвн YВН,Эрл Yисх i ,Эрл
 1  31/1 387,74 308,38 15,42 32,00  28,3 87,27 173,68
 2  32/4 462,41 364,31 18,21 28,80  32,9 119,80 197,50
 3  33/5 511,73 401,77 20,09 28,80  38,3 153,88 199,00
 4  41/2 683,68 534,25 26,71 32,00  38,5 205,69 269,85
 5  42/6 315,81 249,75 12,49 22,40  26,4 65,93 148,83
 6  51/3 312,02 252,08 12,60 28,80  26,4 66,55 144,13
 7  52/7 312,02 252,08 12,60 28,80  26,4 66,55 144,13
 8  53/8 312,02 252,08 12,60 28,80  26,4 66,55 144,13

7. Распределение интенсивности нагрузки на направлениях межстанционной связи различными методами

Расчет распределения интенсивности нагрузки на направлениях межстанционной связи осуществляется с помощью трех основных методов: пропорционально исходящим интенсивностям нагрузок станций, пропорционально емкости станции, с помощью коэффициентов тяготения.

7.1 Пропорционально исходящим интенсивностям нагрузок станций

При распределении ИН в направлении остальных АТС пропорционально исходящим нагрузкам определим ИН от -й АТС к -й АТС:

,                     (7.1)

где - число АТС.


Таблица 7.1 Распределение нагрузок пропорционально исходящим интенсивностям нагрузок

№ АТС 1 2 3 4 5 6 7 8 УСС АМТС
1 ----- 28,03 28,28 40,71 20,32 19,60 19,60 19,60 15,42 32,00
2 27,50 ----- 32,16 46,29 23,10 22,29 22,29 22,29 18,21 28,80
3 27,71 32,40 ----- 46,64 23,28 22,46 22,46 22,46 20,09 28,80
4 37,57 43,55 43,93 ----- 31,56 30,45 30,45 30,45 26,71 32,00
5 20,72 24,02 24,23 34,88 ----- 16,80 16,80 16,80 12,49 22,40
6 20,07 23,26 23,47 33,78 16,86 ----- 16,27 16,27 12,60 28,80
7 20,07 23,26 23,47 33,78 16,86 16,27 ----- 16,27 12,60 28,80
8 20,07 23,26 23,47 33,78 16,86 16,27 16,27 ----- 12,60 28,80
АМТС 26,88 24,19 24,19 26,88 18,82 24,19 24,19 24,19 ----- -----

7.2 Пропорционально ёмкости станций

Интенсивность нагрузки от i-ой АТС к j-ой АТС рассчитывается по формуле:

                                       (7.2)

Таблица 7.2 Распределение нагрузок пропорционально емкостям станций

№ АТС 1 2 3 4 5 6 7 8 УСС АМТС
1 ----- 25,21 25,21 28,01 19,6 25,21 25,21 25,21 15,42 32,00
2 31,34 ----- 28,21 31,34 21,94 28,21 28,21 28,21 18,21 28,80
3 31,58 28,42 ----- 31,58 22,11 28,42 28,42 28,42 20,09 28,80
4 43,52 39,17 39,17 ----- 30,46 39,17 39,17 39,17 26,71 32,00
5 22,89 20,60 20,60 22,89 ----- 20,60 20,60 20,60 12,49 22,40
6 22,87 20,59 20,59 22,87 16,01 ----- 20,59 20,59 12,60 28,80
7 22,87 20,59 20,59 22,87 16,01 20,59 ----- 20,59 12,60 28,80
8 22,87 20,59 20,59 22,87 16,01 20,59 20,59 ----- 12,60 28,80
АМТС 26,88 24,19 24,19 26,88 18,82 24,19 24,19 24,19 ----- -----

7.3 Пропорционально условным исходящим интенсивностям нагрузок станций

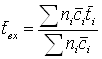
Интенсивность исходящей от АТСi нагрузки Yисхi можно распределить пропорционально условным исходящим нагрузкам АТС сети. Под условной исходящей нагрузкой АТСj понимается произведение фактического значения исходящей нагрузки Yисхj на коэффициент nij, характеризующий телефонное тяготение абонентов i-ой РАТС к абонентам j-ой РАТС.

                                  (7.3)

Значения коэффициентов тяготения существенно зависят от расстояния между абонентами.

С учётом 1 клетка = 1 км, вычислим расстояния между РАТС (км)(вычисляем по теореме Пифагора).

Расстояния между АТС (км) для данного варианта сети представлены в таблице 7.3:

Таблица 7.3 Расстояние между АТС.

№ АТС 1 2 3 4 5 6 7 8
 1 0,00 5,62 8,85 17,40 17,86 15,40 7,55 4,62
 2 5,62 0,00 4,00 16,00 17,32 15,71 10,47 8,62
 3 8,85 4,00 0,00 12,40 14,00 13,17 10,78 9,93
 4 17,40 16,00 12,40 0,00 1,92 4,23 11,86 13,94
 5 17,86 17,32 14,00 1,92 0,00 2,69 11,32 13,86
 6 15,40 15,71 13,17 4,23 2,69 0,00 8,39 11,01
 7 7,55 10,47 10,78 11,86 11,32 8,39 0,00 2,39
 8 4,62 8,62 9,93 13,94 13,86 11,01 2,39 0,00

Зависимость нормированных коэффициентов тяготения от кратчайшего расстояния между АТС

Согласно графику, найдём коэффициенты тяготения, соответствующие найденным расстояниям между АТС (таблица 7.4):

Таблица 7.4 Коэффициенты тяготения

№ АТС 1  2  3  4  5 6  7 8
 1 1 0,46 0,45 0,36 0,37 0,38 0,52 0,63
2 0,6 1 0,65 0,35 0,34 0,38 0,46 0,48
3 0,45 0,65 1 0,40 0,38 0,39 0,48 0,48
4 0,36 0,35 0,40 1 0,90 0,64 0,42 0,39
 5 0,37 0,34 0,38 0,90 1 0,8 0,43 0,37
6 0,38 0,38 0,39 0,64 0,8 1 0,49 0,43
7 0,52 0,46 0,48 0,42 0,43 0,49 1 0,85
8 0,63 0,48 0,48 0,39 0,37 0,43 0,85 1

Полученная матрица распределения нагрузок представлена в таблице 7.5:


Таблица 7.5 Распределение нагрузок пропорционально коэффициентам тяготения

№ РАТС 1 2 3 4 5 6 7 8 УСС АМТС
1 ----- 28,03 28,27 40,70 20,31 19,60 19,60 19,60 15,42 32,00
2 27,49 ----- 32,15 46,28 23,10 22,28 22,28 22,28 18,21 28,80
3 27,70 32,11 ----- 46,63 23,27 22,45 22,45 22,45 20,09 28,80
4 22,54 43,55 43,93 ----- 31,56 30,45 30,45 30,45 26,71 32,00
5 20,72 24,01 24,23 34,88 ----- 16,79 16,79 16,79 12,49 22,40
6 20,06 23,26 23,46 33,77 16,85 ----- 16,26 16,26 12,60 28,80
7 20,06 23,26 23,46 33,77 16,85 16,26 ----- 16,27 12,60 28,80
8 20,06 23,26 23,46 33,77 16,85 16,26 16,27 ----- 12,60 28,80
АМТС 26,88 24,19 24,19 26,88 18,82 24,19 24,19 24,19 ----- -----

Результаты, полученные в пунктах 7.1 и 7.2 практически одинаковы, а результаты, полученные в пункте 7.3, немного отличаются от остальных . Это зависит от того, что приходится определять визуально по графику коэффициент тяготения, который оказывает влияние на расчёты, а следовательно и на результат вычислений.

Однако, из рассмотренных вариантов расчета интенсивности нагрузки наиболее точным является последний, т.к. этот метод учитывает, что интенсивность нагрузки между территориально близкими абонентами выше, чем между теми абонентами, которые территориально отдалены.


8. Структурные матрицы распределения нагрузок

На телефонных сетях имеют место разделение и объединение потоков нагрузки. При рассмотрении этих явлений пользуются понятиями исходящей и входящей нагрузок.

Структурные матрицы распределения нагрузок строятся в соответствии с расчетами, произведенными в предыдущем пункте с помощью трех методов. По этим матрицам можно рассмотреть полную картину распределения нагрузок, которая учитывает внутристанционную нагрузку, нагрузку от АТСi к АТСj и от АТСj к АТСi, нагрузку от АТС к УСС, УВС, АМТС и наоборот, а также направление межстанционной связи. Каждому методу расчета соответствует своя матрица.


8.1 Пропорционально исходящим нагрузкам

Таблица 8.1 Структурная матрица нагрузок пропорционально исходящим нагрузкам

№ АТС 1 2 3 4 5 6 7 8 УВС1 УВС2 УВС3 АМТС УСС
1 87,27 28,03 28,28 ----- ----- ----- ----- ----- ----- 80,63 39,20 32 15,42
2 27,50 119,80 32,16 ----- ----- ----- ----- ----- ----- 91,68 44,58 28,8 18,21
3 27,71 32,4 153,88 ----- ----- ----- ----- ----- ----- 92,38 44,92 28,8 20,09
4 ----- ----- ----- 205,69 ----- ----- ----- ----- 81,5 62,01 60,9 32 26,71
5 ----- ----- ----- ----- 65,93 ----- ----- ----- 44,95 51,68 33,6 22,4 12,49
6 ----- ----- ----- ----- ----- 66,55 ----- ----- 43,54 50,64 32,54 28,8 12,60
7 ----- ----- ----- ----- ----- ----- 66,55 16,27 43,54 66,91 ----- 28,8 12,60
8 ----- ----- ----- ----- ----- ----- 16,27 66,55 43,54 66,91 ----- 28,8 12,60
УВС1 118,5 137,35 138,57 ----- ----- ----- ----- ----- ----- ----- ----- ----- -----
УВС2 ----- ----- ----- 269,86 148,84 144,14 ----- ----- ----- ----- ----- ----- -----
УВС3 ----- ----- ----- ----- ----- ----- 144,14 144,14 ----- ----- ----- ----- -----
АМТС 26,88 24,19 24,19 26,88 18,82 24,19 24,19 24,19 ----- ----- ----- ----- -----
УСС 0,00 0,00 0,00 0,00 0,00 0,00 0,00 0,00 ----- ----- ----- ----- -----

8.2 Пропорционально емкости станции

Таблица 8.2 Структурная матрица нагрузок пропорционально емкости станции

№ АТС 1 2 3 4 5 6 7 8 УВС1 УВС2 УВС3 АМТС УСС
1 87,27 25,21 25,21 ----- ----- ----- ----- ----- ----- 72,82 50,42 32 15,42
2 31,34 119,80 28,21 ----- ----- ----- ----- ----- ----- 81,49 56,42 28,8 18,21
3 31,58 28,42 153,88 ----- ----- ----- ----- ----- ----- 82,11 56,84 28,8 20,09
4 ----- ----- ----- 205,69 ----- ----- ----- ----- 82,69 69,63 78,34 32 26,71
5 ----- ----- ----- ----- 65,93 ----- ----- ----- 43,49 43,49 41,20 22,4 12,49
6 ----- ----- ----- ----- ----- 66,55 ----- ----- 43,46 38,88 41,18 28,8 12,6
7 ----- ----- ----- ----- ----- ----- 66,55 20,59 43,46 59,47 ----- 28,8 12,6
8 ----- ----- ----- ----- ----- ----- 20,59 66,55 43,46 59,47 ----- 28,8 12,6
УВС1 135,02 121,54 121,54 ----- ----- ----- ----- ----- ----- ----- ----- ----- -----
УВС2 ----- ----- ----- 182,43 142,14 182,79 ----- ----- ----- ----- ----- ----- -----
УВС3 ----- ----- ----- ----- ----- ----- 182,79 182,79 ----- ----- ----- ----- -----
АМТС 26,88 24,19 24,19 26,88 18,82 24,19 24,19 24,19 ----- ----- ----- ----- -----
УСС 0,00 0,00 0,00 0,00 0,00 0,00 0,00 0,00 ----- ----- ----- ----- -----

8.3 Пропорционально коэффициентам тяготения

Таблица 8.3 Структурная матрица нагрузок пропорционально коэффициентам тяготения

№ АТС 1 2 3 4 5 6 7 8 УВС1 УВС2 УВС3 АМТС УСС
1 87,27 28,03 28,27 ----- ----- ----- ----- ----- ----- 80,61 39,2 32 15,42
2 27,49 119,8 32,15 ----- ----- ----- ----- ----- ----- 91,66 44,56 28,8 18,21
3 27,7 32,11 153,88 ----- ----- ----- ----- ----- ----- 92,35 44,9 28,8 20,09
4 ----- ----- ----- 205,69 ----- ----- ----- ----- 66,47 62,01 60,9 32 26,71
5 ----- ----- ----- ----- 65,93 ----- ----- ----- 44,95 51,67 33,58 22,4 12,49
6 ----- ----- ----- ----- ----- 66,55 ----- ----- 43,52 50,62 32,52 28,8 12,6
7 ----- ----- ----- ----- ----- ----- 66,55 16,27 43,52 66,88 ----- 28,8 12,6
8 ----- ----- ----- ----- ----- ----- 16,27 66,55 43,52 66,88 ----- 28,8 12,6
УВС1 103,44 137,34 138,54 ----- ----- ----- ----- ----- ----- ----- ----- ----- -----
УВС2 ----- ----- ----- 269,8 148,79 144,09 ----- ----- ----- ----- ----- ----- -----
УВС3 ----- ----- ----- ----- ----- ----- 144,09 144,09 ----- ----- ----- ----- -----
АМТС 26,88 24,19 24,19 26,88 18,82 24,19 24,19 24,19 ----- ----- ----- ----- -----
УСС 0 0 0 0 0 0 0 0 ----- ----- ----- ----- -----

9. Структурные матрицы расчетных нагрузок

Рассмотрим следующую формулу:

где - среднеквадратичное отклонение интенсивности нагрузки в ЧНН.

Для простейшего потока вызовов математическое ожидание интенсивности нагрузки равно дисперсии нагрузки. Тогда, полагая , получается следующее выражение для расчетной интенсивности нагрузки:.

Коэффициент z характеризует степень гарантированности заданного качества обслуживания. В практике проектирования ГТС значение коэффициента принимается 0,6742.

Расчетная интенсивность нагрузки рассчитывается по формуле 9:

                     (9)

Расчетная интенсивность нагрузки рассчитывается для трех методов:


9.1 Пропорционально исходящим нагрузкам

Таблица 9.1 Расчетная интенсивность нагрузки пропорционально исходящим нагрузкам

№ АТС 1 2 3 4 5 6 7 8 УВС1 УВС2 УВС3 АМТС УСС
1 93,56827 31,59944 31,86532 ----- ----- ----- ----- ----- ----- 86,68393 43,42116 35,81385 18,06747
2 31,03553 127,1793 35,98337 ----- ----- ----- ----- ----- ----- 98,13544 49,08152 32,41814 21,08703
3 31,25901 36,23761 162,2433 ----- ----- ----- ----- ----- ----- 98,86004 49,43865 32,41814 23,11189
4 ----- ----- ----- 215,3593 ----- ----- ----- ----- 87,5865 67,31908 66,16135 35,81385 30,19438
5 ----- ----- ----- ----- 71,40432 ----- ----- ----- 49,47016 56,52674 37,50803 25,5909 14,8727
6 ----- ----- ----- ----- ----- 72,05 ----- ----- 47,9887 55,43773 36,3859 32,41814 14,99317
7 ----- ----- ----- ----- ----- ----- 72,05 18,99 47,9887 72,42486 ----- 32,41814 14,99317
8 ----- ----- ----- ----- ----- ----- 18,99 72,05 47,9887 72,42486 ----- 32,41814 14,99317
УВС1 125,8392 145,2514 146,5064 ----- ----- ----- ----- ----- ----- ----- ----- ----- -----
УВС2 ----- ----- ----- 280,9354 157,0652 152,2343 ----- ----- ----- ----- ----- ----- -----
УВС3 ----- ----- ----- ----- ----- ----- 152,2343 152,2343 ----- ----- ----- ----- -----
АМТС 30,37545 27,50594 27,50594 30,37545 21,74482 27,50594 27,50594 27,50594 ----- ----- ----- ----- -----
УСС 0 0 0 0 0 0 0 0 ----- ----- ----- ----- -----

9.2 Пропорционально емкости станции

Таблица 9.2 Расчетная интенсивность нагрузки пропорционально емкости станции

№ АТС 1 2 3 4 5 6 7 8 УВС1 УВС2 УВС3 АМТС УСС
1 93,56827 28,59513 28,59513 ----- ----- ----- ----- ----- ----- 78,57326 55,20729 35,81385 18,06747
2 35,11432 127,1793 31,79088 ----- ----- ----- ----- ----- ----- 87,57613 61,48414 32,41814 21,08703
3 35,36874 32,01419 162,2433 ----- ----- ----- ----- ----- ----- 88,21923 61,92295 32,41814 23,11189
4 ----- ----- ----- 215,3593 ----- ----- ----- ----- 88,82077 75,25583 84,30734 35,81385 30,19438
5 ----- ----- ----- ----- 71,40432 ----- ----- ----- 47,93614 47,93614 45,5275 25,5909 14,8727
6 ----- ----- ----- ----- ----- 72,05 ----- ----- 47,90461 43,0839 45,50645 32,41814 14,99317
7 ----- ----- ----- ----- ----- ----- 72,05 23,65 47,90461 64,66921 ----- 32,41814 14,99317
8 ----- ----- ----- ----- ----- ----- 23,65 72,05 47,90461 64,66921 ----- 32,41814 14,99317
УВС1 142,8541 128,9727 128,9727 ----- ----- ----- ----- ----- ----- ----- ----- ----- -----
УВС2 ----- ----- ----- 191,5362 150,178 191,9052 ----- ----- ----- ----- ----- ----- -----
УВС3 ----- ----- ----- ----- ----- ----- 191,9052 191,9052 ----- ----- ----- ----- -----
АМТС 30,37545 27,50594 27,50594 30,37545 21,74482 27,50594 27,50594 27,50594 ----- ----- ----- ----- -----
УСС 0 0 0 0 0 0 0 0 ----- ----- ----- ----- -----

9.3 Пропорционально коэффициентам тяготения

Таблица 9.3 Расчетная интенсивность нагрузки пропорционально коэффициентам тяготения

№ АТС 1 2 3 4 5 6 7 8 УВС1 УВС2 УВС3 АМТС УСС
1 93,56827 31,59944 31,85469 ----- ----- ----- ----- ----- ----- 86,66317 43,42116 35,81385 18,06747
2 31,02489 127,1793 35,97278 ----- ----- ----- ----- ----- ----- 98,11474 49,06051 32,41814 21,08703
3 31,24837 35,9304 162,2433 ----- ----- ----- ----- ----- ----- 98,82899 49,41764 32,41814 23,11189
4 ----- ----- ----- 215,3593 ----- ----- ----- ----- 71,96669 67,31908 66,16135 35,81385 30,19438
5 ----- ----- ----- ----- 71,40432 ----- ----- ----- 49,47016 56,51627 37,48687 25,5909 14,8727
6 ----- ----- ----- ----- ----- 72,05 ----- ----- 47,96768 55,41678 36,36471 32,41814 14,99317
7 ----- ----- ----- ----- ----- ----- 72,05 18,99 47,96768 72,39362 ----- 32,41814 14,99317
8 ----- ----- ----- ----- ----- ----- 18,99 72,05 47,96768 72,39362 ----- 32,41814 14,99317
УВС1 110,297 145,2411 146,4755 ----- ----- ----- ----- ----- ----- ----- ----- ----- -----
УВС2 ----- ----- ----- 280,8741 157,0139 152,1829 ----- ----- ----- ----- ----- ----- -----
УВС3 ----- ----- ----- ----- ----- ----- 152,1829 152,1829 ----- ----- ----- ----- -----
АМТС 30,37545 27,50594 27,50594 30,37545 21,74482 27,50594 27,50594 27,50594 ----- ----- ----- ----- -----
УСС 0 0 0 0 0 0 0 0 ----- ----- ----- ----- -----

10. Матрицы соединительных линий

При обслуживании простейшего потока полнодоступной коммутационной системы с явными потерями вероятность потерь математически определяется первой формулой Эрланга (формула 10).

                       (10)

E – вероятность потерь;

v – число линий (каналов)в пучке на выходе системы обслуживания;

Y – нагрузка, обслуженная системой.

Число соединительных линий в направлениях определяем по таблице Эрлангов (для ЭАТС) при следующих нормах потерь (по расчетной нагрузке):

От АТС к УСС – 0,001

От АТС к АМТС – 0,01

От АТС к АТС без УВС – 0,01

АТС к АТС через УВС – 0,005

Также как и в предыдущих пунктах матрицы соединительных линий составляются для трех методов.


10.1 Пропорционально исходящим нагрузкам

Таблица 10.1 Структурная матрица соединительных линий пропорционально исходящим нагрузкам

№ АТС 1 2 3 4 5 6 7 8 УВС1 УВС2 УВС3 АМТС УСС
1 114 49 46 ----- ----- ----- ----- ----- ----- 96 67 47 26
2 38 150 47 ----- ----- ----- ----- ----- ----- 116 59 46 32
3 41 53 190 ----- ----- ----- ----- ----- ----- 116 59 46 37
4 ----- ----- ----- 250 ----- ----- ----- ----- 114 80 80 46 44
5 ----- ----- ----- ----- 92 ----- ----- ----- 62 71 51 40 25
6 ----- ----- ----- ----- ----- 88 ----- ----- 56 71 50 46 25
7 ----- ----- ----- ----- ----- ----- 88 30 56 90 ----- 46 25
8 ----- ----- ----- ----- ----- ----- 30 88 56 90 ----- 46 25
УВС1 150 170 160 ----- ----- ----- ----- ----- ----- ----- ----- ----- -----
УВС2 ----- ----- ----- 300 180 180 ----- ----- ----- ----- ----- ----- -----
УВС3 ----- ----- ----- ----- ----- ----- 180 180 ----- ----- ----- ----- -----
АМТС 40 35 35 40 31 35 35 35 ----- ----- ----- ----- -----
УСС 0 0 0 0 0 0 0 0 ----- ----- ----- ----- -----
                           

10.2 Пропорционально емкости станции

Таблица 10.2 Структурная матрица соединительных линий пропорционально ёмкости станций

№ АТС 1 2 3 4 5 6 7 8 УВС1 УВС2 УВС3 АМТС УСС
1 114 38 38 ----- ----- ----- ----- ----- ----- 92 75 47 26
2 44 150 49 ----- ----- ----- ----- ----- ----- 108 79 46 32
3 50 39 190 ----- ----- ----- ----- ----- ----- 118 79 46 37
4 ----- ----- ----- 250 ----- ----- ----- ----- 118 100 98 46 44
5 ----- ----- ----- ----- 92 ----- ----- ----- 59 59 59 40 25
6 ----- ----- ----- ----- ----- 88 ----- ----- 58 54 59 46 25
7 ----- ----- ----- ----- ----- ----- 88 39 58 80 ----- 46 25
8 ----- ----- ----- ----- ----- ----- 39 88 58 80 ----- 46 25
УВС1 170 160 160 ----- ----- ----- ----- ----- ----- ----- ----- ----- -----
УВС2 ----- ----- ----- 220 180 220 ----- ----- ----- ----- ----- ----- -----
УВС3 ----- ----- ----- ----- ----- ----- 220 220 ----- ----- ----- ----- -----
АМТС 40 35 35 40 31 35 35 35 ----- ----- ----- ----- -----
УСС 0 0 0 0 0 0 0 0 ----- ----- ----- ----- -----
                           

10.3 Пропорционально коэффициентам тяготения

Таблица 10.3 Структурная матрица соединительных линий пропорционально коэффициентам тяготения

№ АТС 1 2 3 4 5 6 7 8 УВС1 УВС2 УВС3 АМТС УСС
1 114 49 46 ----- ----- ----- ----- ----- ----- 110 65 47 26
2 45 150 46 ----- ----- ----- ----- ----- ----- 116 68 46 32
3 51 46 190 ----- ----- ----- ----- ----- ----- 116 76 46 37
4 ----- ----- ----- 250 ----- ----- ----- ----- 100 80 80 46 44
5 ----- ----- ----- ----- 92 ----- ----- ----- 61 76 51 40 25
6 ----- ----- ----- ----- ----- 88 ----- ----- 59 74 52 46 25
7 ----- ----- ----- ----- ----- ----- 88 30 59 92 ----- 46 25
8 ----- ----- ----- ----- ----- ----- 30 88 59 92 ----- 46 25
УВС1 125 170 160 ----- ----- ----- ----- ----- ----- ----- ----- ----- -----
УВС2 ----- ----- ----- 300 180 180 ----- ----- ----- ----- ----- ----- -----
УВС3 ----- ----- ----- ----- ----- ----- 180 180 ----- ----- ----- ----- -----
АМТС 40 35 35 40 31 35 35 35 ----- ----- ----- ----- -----
УСС 0 0 0 0 0 0 0 0 ----- ----- ----- ----- -----

нагрузка станция матрица линия цифровой


11. Структурные матрицы потоков

Найдём количество потоков, для этого число соединительных линий делим на 30 и полученное значение округляем в большую сторону.

11.1 Пропорционально исходящим нагрузкам

Таблица 11.1 Структурная матрица потоков пропорционально исходящим нагрузкам

№ АТС 1 2 3 4 5 6 7 8 УВС1 УВС2 УВС3 АМТС УСС
1 4 2 2 ----- ----- ----- ----- ----- ----- 4 3 2 1
2 2 5 2 ----- ----- ----- ----- ----- ----- 4 2 2 2
3 2 2 7 ----- ----- ----- ----- ----- ----- 4 2 2 3
4 ----- ----- ----- 9 ----- ----- ----- ----- 4 4 3 2 2
5 ----- ----- ----- ----- 4 ----- ----- ----- 3 3 2 2 1
6 ----- ----- ----- ----- ----- 3 ----- ----- 2 3 2 2 1
7 ----- ----- ----- ----- ----- ----- 3 1 2 3 ----- 2 1
8 ----- ----- ----- ----- ----- ----- 1 3 2 3 ----- 2 1
УВС1 5 6 6 ----- ----- ----- ----- ----- ----- ----- ----- ----- -----
УВС2 ----- ----- ----- 10 6 6 ----- ----- ----- ----- ----- ----- -----
УВС3 ----- ----- ----- ----- ----- ----- 6 6 ----- ----- ----- ----- -----
АМТС 2 2 2 2 2 2 2 2 ----- ----- ----- ----- -----
УСС 0 0 0 0 0 0 0 0 ----- ----- ----- ----- -----

11.2 Пропорционально емкости станции

Таблица 11.2 Структурная матрица потоков пропорционально ёмкости станций

№ АТС 1 2 3 4 5 6 7 8 УВС1 УВС2 УВС3 АМТС УСС
1 4 2 2 ----- ----- ----- ----- ----- ----- 4 3 2 1
2 2 5 2 ----- ----- ----- ----- ----- ----- 4 3 2 2
3 2 2 7 ----- ----- ----- ----- ----- ----- 4 3 2 2
4 ----- ----- ----- 9 ----- ----- ----- ----- 4 4 4 2 2
5 ----- ----- ----- ----- 4 ----- ----- ----- 2 2 2 2 1
6 ----- ----- ----- ----- ----- 3 ----- ----- 2 1,8 2 2 1
7 ----- ----- ----- ----- ----- ----- 3 2 2 3 ----- 2 1
8 ----- ----- ----- ----- ----- ----- 2 3 2 3 ----- 2 1
УВС1 6 6 6 ----- ----- ----- ----- ----- ----- ----- ----- ----- -----
УВС2 ----- ----- ----- 8 6 8 ----- ----- ----- ----- ----- ----- -----
УВС3 ----- ----- ----- ----- ----- ----- 8 8 ----- ----- ----- ----- -----
АМТС 2 2 2 2 2 2 2 2 ----- ----- ----- ----- -----
УСС 0 0 0 0 0 0 0 0 ----- ----- ----- ----- -----

11.3 Пропорционально коэффициентам тяготения

Таблица 11.3 Структурная матрица потоков пропорционально коэффициентам тяготения

№ АТС 1 2 3 4 5 6 7 8 УВС1 УВС2 УВС3 АМТС УСС
1 4 2 2 ----- ----- ----- ----- ----- ----- 4 3 2 1
2 2 5 2 ----- ----- ----- ----- ----- ----- 4 3 2 2
3 2 2 7 ----- ----- ----- ----- ----- ----- 4 3 2 2
4 ----- ----- ----- 9 ----- ----- ----- ----- 4 3 3 2 2
5 ----- ----- ----- ----- 4 ----- ----- ----- 3 3 2 2 1
6 ----- ----- ----- ----- ----- 3 ----- ----- 2 3 2 2 1
7 ----- ----- ----- ----- ----- ----- 3 1 2 4 ----- 2 1
8 ----- ----- ----- ----- ----- ----- 1 3 2 4 ----- 2 1
УВС1 5 6 6 ----- ----- ----- ----- ----- ----- ----- ----- ----- -----
УВС2 ----- ----- ----- 10 6 6 ----- ----- ----- ----- ----- ----- -----
УВС3 ----- ----- ----- ----- ----- ----- 6 6 ----- ----- ----- ----- -----
АМТС 2 2 2 2 2 2 2 2 ----- ----- ----- ----- -----
УСС 0 0 0 0 0 0 0 0 ----- ----- ----- ----- -----

12. Расчет числа соединительных линий и цифровых трактов между площадками

С экономической точки зрения расчет числа соединительных линий между площадками важнее, чем расчет числа соединительных линий между РАТС, так как именно расчет числа соединительных линий между площадками позволяет более полно определить затраты на строительство сети связи. Расчет числа соединительных линий и первичных цифровых трактов между площадками производится в зависимости от расположения УВС, УСС, АМТС и РАТС.

Каждые РАТС установлены на отдельных площадках (зданиях) примерно равномерно расположенных на территории города. УВС1 расположен на одной площадке с РАТС2 (пл.2), УВС2 с РАТС6 (пл.6), АМТС с РАТС3 (пл.3) и УСС с РАТС4 (пл.4).

Количество соединительных линий, находящихся на одной площадке, необходимо сложить. Матрицы соединительных линий также составляются для трех методов.

Таблица 12.1 Матрица ПЦТ пропорционально исходящим нагрузкам

От / к Пл.1 Пл.2 Пл.3 Пл.4 Пл.5 Пл.6 Пл.7 Пл.8 сумма
Пл.1
Пл.2
Пл.3
Пл.4
Пл.5
Пл.6
Пл.7
Пл.8
Сумма

Таблица 12.2 Матрица ПЦТ пропорционально ёмкости станций

От / к Пл.1 Пл.2 Пл.3 Пл.4 Пл.5 Пл.6 Пл.7 Пл.8 сумма
Пл.1
Пл.2
Пл.3
Пл.4
Пл.5
Пл.6
Пл.7
Пл.8
Сумма

Таблица 12.3 Матрица ПЦТ пропорционально коэффициентам тяготения

От / к Пл.1 Пл.2 Пл.3 Пл.4 Пл.5 Пл.6 Пл.7 Пл.8 сумма
Пл.1
Пл.2
Пл.3
Пл.4
Пл.5
Пл.6
Пл.7
Пл.8
Сумма

13. Проектирование ГТС с УВС с использованием программы “NET – 5(6)”

Программа “Net 5(6)” позволяет рассчитать нагрузку, число соединительных линий, число первичных цифровых трактов на направлениях межстанционной связи аналого-цифровых ГТС с 5-ти и 6-тизначной нумерацией, выводит диаграммы распределения нагрузок.

Результаты расчетов программа выводит в таблицы приложения Microsoft Excel, что делает удобным обработку значений и дальнейшие расчеты.

На рисунке показана схема расположения объектов и направлений межстанционной связи.

Методика расчета программы следующая:

Расчет поступающей на АТС нагрузки производится по параметрам нагрузки по ВНТП;

Нагрузка к АМТС рассчитывается по удельной нагрузке по ВНТП, а нагрузка от АМТС – по соотношению (Yвх. м / Yвых. м);

Расчет внутристанционной нагрузки производится по ВНТП;

Расчет числа соединительных линий – по расчетной нагрузке.


13.1 Матрица нагрузок (каждая с каждой)

Данная матрица представляет информацию об интенсивностях нагрузки между АТС проектируемой сети при соединении «каждая с каждой».

Таблица 13.1 Матрица нагрузок

13.2 Структурная матрица нагрузок

Матрица представляет информацию об интенсивностях нагрузки в соответствии с принятым вариантом организации межстанционной связи.

Таблица 13.2 Структурная матрица нагрузок


13.3 Матрица соединительных линий

Матрица содержит информацию по направлениям (число соединительных линий) для принятого варианта организации межстанционной связи.

Таблица 13.3 Матрица соединительных линий

13.4 Структурная матрица 30-канальных трактов

Таблица 13.4 Структурная матрица 30-канальных трактов


Вывод

Цель данной курсовой работы состояла в: получении навыков расчета параметров межстанционной связи проектируемой сети ГТС с УВС и сравнение расчетных результатов с результатами, полученными в аналогичных расчетах с помощью программы “NET-5(6)”.

В данной курсовой работе для заданной сети были вручную рассчитаны поступающие от абонентов нагрузки (табл.2.3) и нагрузки на выходы для каждой АТС (табл.3.1). Общая выходная нагрузка распределена на внутристанционные соединения (табл.3.1.2), на АМТС и УСС (табл.3.2.2).

Далее исходящая нагрузка была распределена по направлениям других АТС тремя методами: пропорционально исходящим интенсивностям нагрузок станций (табл.4.1.1), пропорционально ёмкости станций (табл.4.2.1) и пропорционально условным исходящим интенсивностям нагрузок станций (табл.4.3.3). Значения, полученные по разным методам, отличаются друг от друга, однако, все методы выражают примерно одинаковую зависимость распределения интенсивности нагрузки и могут быть применены для расчета. Для каждого из трех методов:

- по заданной сети были составлены структурные матрицы нагрузок (табл.5.1.1, табл.5.2.1, табл.5.3.1) и расчетных нагрузок (табл.6.1.1, табл.6.2.1, табл.6.3.1);

- по таблице Эрлангов были определены количество соединительных линий (СЛ) на всех направлениях межстанционной связи (табл.7.1.1, табл.7.2.1, табл.7.3.1). По количеству СЛ составлены матрицы первичных цифровых трактов (ПЦТ) (табл.8.1.1, табл.8.2.1, табл.8.3.1) и посчитано количество ПЦТ между площадками (табл.9.1.1, табл.9.2.1, табл.9.3.1).

Далее, заданная схема ГТС с УВС была спроектирована с использованием программы “NET-5(6)” и произведены в этой программе аналогичные расчеты параметров межстанционной связи по методу: пропорционально исходящим интенсивностям нагрузок станций (табл.10.1.1, табл.10.2.1, табл.10.3.1, табл.10.4.1).

Результаты отличатся от полученных вручную. Это объясняется тем, что в программе “Net-5(6)” нормативно-справочная информация (НСИ), содержащая необходимые данные по ВНТП и проектируемой ГТС, отличается от тех данных, которыми мы пользовались при расчете вручную. Для расчета вручную применяли таблицы Эрлангов (для ЭАТС), что сразу приводит к отклонениям при расчетах аналоговой сети. Даже незначительные изменения параметров, определяемых в начале, приводят к существенным изменениям в дальнейших расчетах.

Таким образом, можно сказать, что все задачи поставленные в данной курсовой работе рассмотрены в полной мере и решены.


Список литературы

1.  Абилов А.В. Сети связи и системы коммутации. – Ижевск: Издательство ИжГТУ, 2002 г.

2.  Корнышев Ю.Н., Пшеничников А.П., Харкевич А.Д. Теория телетрафика. – М., Радио и связь, 1996 г.

3.  Нормативно-справочная информация.


© 2012 Рефераты, доклады и дипломные работы, курсовые работы бесплатно.