рефераты
Главная

Рефераты по международному публичному праву

Рефераты по международному частному праву

Рефераты по международным отношениям

Рефераты по культуре и искусству

Рефераты по менеджменту

Рефераты по металлургии

Рефераты по муниципальному праву

Рефераты по налогообложению

Рефераты по оккультизму и уфологии

Рефераты по педагогике

Рефераты по политологии

Рефераты по праву

Биографии

Рефераты по предпринимательству

Рефераты по психологии

Рефераты по радиоэлектронике

Рефераты по риторике

Рефераты по социологии

Рефераты по статистике

Рефераты по страхованию

Рефераты по строительству

Рефераты по таможенной системе

Сочинения по литературе и русскому языку

Рефераты по теории государства и права

Рефераты по теории организации

Рефераты по теплотехнике

Рефераты по технологии

Рефераты по товароведению

Рефераты по транспорту

Рефераты по трудовому праву

Рефераты по туризму

Рефераты по уголовному праву и процессу

Рефераты по управлению

Курсовая работа: Применение интегралов к решению прикладных задач

Курсовая работа: Применение интегралов к решению прикладных задач

Министерство образования и науки Российской Федерации

Министерство образования Московской области

Московский Государственный Областной Педагогический Институт

Физико-математический факультет.

Курсовая работа

на тему

Применение интегралов

к решению прикладных задач

Выполнил студент

группы 3-М-2

Ширшов Вадим Алексеевич

Проверила

Воробьёва Н.Г.

Орехово-Зуево.

2008


Содержание

Вступление.

1. Определённый интеграл.

1.1 Площадь криволинейной трапеции.

1.2 Объём тела.

1.3 Длина дуги.

1.4 Площадь поверхности вращения.

1.5 Нахождение статического момента и центра тяжести кривой.

1.6 Нахождение статического момента и центра тяжести плоской фигуры.

1.7 Механическая работа.

2. Двойной интеграл.

2.1 Вычисление площади в случае прямоугольной области.

2.2 Вычисление площади в случае криволинейной области.

2.3 Вычисление объёма цилиндрического бруса.

2.4 Механические приложения.

3. Криволинейный интеграл.

3.1 Выражение площади с помощью криволинейных интегралов.

3.2 Приложения к физическим задачам.

4. Поверхностный интеграл.

4.1 Площадь поверхности, заданной явным уравнением.

4.2 Площадь поверхности в общем случае.

5.Тройной интеграл.

5.1 Масса тела. Объём.

5.2 Замена переменной в тройном интеграле.

Заключение.


Вступление

Известно, какие замечательные и разнообразные приложения имеет математический анализ как в самой математике, так и в смежных областях знания. Поэтому сама мысль о связи математического анализа с другими математическими дисциплинами и с потребностями практики должна быть усвоена учащимися при изучении основ анализа уже в школе. Изложенный в данной работе материал лишь немногим связан со школьным курсом. В школе в 10-11 классах изучаются неопределённые и определённые интегралы, практикуется вычисление простейших интегралов и нахождение площади криволинейной трапеции, что составляет лишь малую часть всего интегрального исчисления.

интеграл площадь объем статический момент


1. Определённый интеграл

1.1 Площадь криволинейной трапеции

Вычислим площадь плоских фигур при помощи интегралов.

На первом месте рассмотрим в строгом изложении задачу об определении площади криволинейной трапеции  (чертёж 1). Эта фигура ограничена сверху кривой , имеющей уравнение , где - положительная и непрерывная в промежутке  функция; снизу она ограничена отрезком  оси , а с боков – двумя ординатами  и (каждая из которых может свестись к точке).

 Описание: 1.gif

Чертёж 1.

Так как площадь P рассматриваемой фигуры ABCD существует, то будем вести речь лишь об её вычислении. С этой целью разобьём промежуток  на части, вставив между a и b ряд точек . Обозначив через  и , соответственно, наибольшее и наименьшее значения функции  в i-м промежутке(i=0,1,…,n-1), составим суммы (Дарбу)

, .

Они, очевидно, представляют собой площади ступенчатых фигур, составленных, соответственно, из входящих и выходящих прямоугольников(см. чертёж). Поэтому . Но при стремлении к нулю наибольшей из разностей  обе суммы имеют своим пределом интеграл , следовательно, ему и равна искомая площадь P=. (1)

Если криволинейная трапеция CDFE ограничена и снизу и сверху кривыми (чертёж 2), уравнения которых  и  , то, рассматривая её как разность двух фигур и , получим площадь названной трапеции в виде P=. (2)

Пусть теперь дан сектор AOB (чертёж 3), ограниченной кривой AB и двумя радиусами-векторами AO и OB (каждый из которых может свестись к точке). При этом кривая AB задаётся полярным уравнением , где  - положительная непрерывная в промежутке  функция.

 Описание: 1.gif 

Чертёж 2.                                                      Чертёж 3.

Вставив между  и  (см. чертёж) значения , проведём соответствующие этим углам радиус-векторы. Если ввести и здесь наименьшее и наибольшее значение функции  в  и , то круговые секторы, описанные этими радиусами, будут, соответственно, входящими и выходящими для фигуры(P). Составим отдельно из выходящих секторов две фигуры, площади которых будут  и .

Описание: 1.gif

В этих суммах  и  легко узнать суммы Дарбу для интеграла ; при стремлении к нулю наибольшей из разностей  обе они имеют пределом этот интеграл. Тогда фигура (P) квадрируема и P=. (3)

Примеры:

1). Определить площадь фигуры, заключённой между двумя конгруэнтными параболами  и  (чертёж 4).

Очевидно, нужно воспользоваться формулой (2), полагая там , . чертёж 4.

Для установления промежутка интегрирования решим совместно данные уравнения и найдём абсциссу точки M пересечения обеих парабол, отличной от начала; она равна 2p. Имеем


.

2). Формула (1) может быть использована и в том случае, если кривая, ограничивающая криволинейную трапецию, задана параметрически или уравнениями , . . Произведя замену в интеграле (1), получим (в предположении, что  при  и  при ): . (4)

Если, например, при вычислении площади эллипса исходить из его параметрического представления ,  и учесть, что  возрастает от до , когда  убывает от  до нуля, то найдём . Мы вычислили площадь верхней половины эллипса и удвоили её.

Описание: чертёж 79  06

Чертёж 5.

Описание: чертёж 80  07

3). Найти площадь одного витка архимедовой спирали (чертёж 6).

Имеем по формуле (3) , в то время как площадь круга радиуса  будет . Площадь витка спирали равна трети площади круга (этот результат был известен ещё Архимеду). чертёж 6.

4). Аналогично вычисляется площадь фигуры, ограниченной циклоидой

,  (чертёж 5). Имеем по формуле (4)

.

Таким образом, искомая площадь оказалась равна утроенной площади круга радиуса a.

1.2 Объём тела

Начнём с почти очевидного замечания: прямой цилиндр высоты H, основанием которого служит квадрируемая плоская фигура (P), имеет объём, равный произведению площади основания на высоту: .

Возьмём многоугольники  и , соответственно содержащиеся в (P), так, чтобы их площади  и  стремились к P . Если на этих многоугольниках построить прямые призмы  и  высоты H, то их объёмы  и  будут стремиться к общему пределу , который и будет объёмом нашего цилиндра


Описание: 1.gif

Рассмотрим теперь некоторое тело (V), содержащееся между плоскостями  и , и станем рассекать его плоскостями, перпендикулярными к оси x (чертёж 7). Допустим, что (чертёж 7) все эти сечения квадрируемы, и пусть площадь сечения, отвечающего абсциссе x, - обозначим её через P(x) – будет непрерывной функцией от x (для ).

Если спроектировать без искажения два подобных сечения на какую-либо плоскость, перпендикулярную к оси x, то они могут либо содержаться одно в другом (чертёж 8а), либо частично одно на другое налегать, (чертёж 8) или лежать одно вне другого (чертёж 8б и 8в). Мы остановимся на том случае, когда два различных сечения, будучи спроектированы на плоскость, перпендикулярную к оси x, оказываются всегда содержащимися одно в другом.

В этом предположении можно утверждать, что тело имеет объём, который выражается формулой . (5)

Для доказательства разобьём отрезок  на оси x точками  на части и разложим плоскостями , проведёнными через точки деления, всё тело на слои. Рассмотрим i-й слой, содержащийся между плоскостями  и (i=0,1,…,n-1). В промежутке  функция P(x) имеет наибольшее значение  и . Если сечения, отвечающие различным значениям x в этом промежутке, поместить на одну плоскость, скажем, , то все они при сделанном предположении будут содержаться в наибольшем, имеющем площадь , и содержать в себе наименьшее, с площадью . Если на этих, наибольшем и наименьшем, сечениях построить прямые цилиндры высоты , то больший из них будет содержать в себе рассматриваемый слой нашего тела, а меньший сам будет содержаться в этом слое. На основании сделанного вначале замечания объёмы этих цилиндров будут, соответственно,  и .

Из входящих цилиндров составится тело (T), а из выходящих – тело (U). Их объёмы равны, соответственно,  и  и, когда стремится к нулю , имеют общий предел (5). Значит таков же будет и объём тела(V).

Описание: 1.gif

Важный частный случай, когда заведомо выполняется указанное выше предположение о взаимном расположении сечений, представляют тела вращения. Вообразим на плоскости xy кривую, заданную уравнением , где  непрерывна и неотрицательна. Станем вращать ограниченную её криволинейную трапецию вокруг оси x (чертёж 9а и 9б). Полученное тело (V), очевидно, подходит под рассматриваемый случай, ибо сечения его проектируются на перпендикулярную к оси x плоскость в виде концентрических кругов. Здесь , так что

.

Если криволинейная трапеция ограничена (чертёж 9)

и сверху и снизу кривыми  и , то очевидно,

, (7)

Хотя предположение о сечениях здесь может и не выполняться. Вообще доказанный результат легко распространяется на все такие тела, которые получаются путём сложения или вычитания из тел, удовлетворяющих упомянутому предположению.

В общем случае можно утверждать лишь следующее: если тело (V) имеет объём, то он выражается формулой (6).

Примеры: 1). Пусть эллипс  вращается вокруг оси x. Так как , то для объёма эллипсоида вращения найдём

.

Аналогично для объёма тела, полученного от вращения вокруг оси y, найдём выражение  . Предполагая же в этих формулах , мы получим для объёма щара радиуса r известное значение .

2). То же – для ветви циклоиды , (). Параметрическое уравнение кривой облегчают выполнение подстановки ,  в формуле . Именно:

.

Описание: 1.gif

3). Найти объём трёхосного эллипсоида, заданного каноническим уравнением  (чертёж 10).

Плоскость, перпендикулярная к оси x и проходящая через точку M(x) на этой оси, пересечёт эллипсоид по эллипсу. Уравнение проекции его (без искажения) на плоскость yz будет таково: (чертёж 10).

, (x=const).

Отсюда ясно, что полуоси его будут, соответственно,

 и ,


а площадь выразится так: .

Таким образом, по формуле (5) искомый объём .

1.3 Длина дуги

Для начала введём понятия о спрямляемой дуге и её длины.

Рассмотрим на плоскости кривую AB, заданную параметрическими уравнениями , , (), (8)

Описание: 1.gif

где функции  и  предполагаются непрерывными. Будем считать, что точка A отвечает значению , а точка B значению . При этом пусть кратных точек на кривой нет, так что различным значениям параметра  отвечают и различные точки кривой.

Если считать точки кривой (чертёж 11) расположенными в порядке возрастания параметра  (т.е. из двух точек ту принимать за следующую, которая отвечает большему значению параметра), то этим на кривой создаётся определённое направление (чертёж 11). Возьмём теперь на кривой AB ряд точек , идущих одна за другой в указанном направлении. Им отвечает ряд возрастающих значений параметра . Впишем в кривую AB ломаную  и обозначим через p её периметр. Конечный предел s для периметра p, при стремлении к нулю наибольшей из сторон  ломаной (p), называется длиной дуги: . Если такой предел существует, то сама кривая называется спрямляемой.

Перейдём непосредственно к выражению длины дуги интегралом.

Предположим дополнительно, что функции  и , фигурирующие в уравнениях (8) незамкнутой кривой, имеют непрерывные производные  и .

При этих условиях, как мы докажем, кривая спрямляема и длина дуги выражается формулой . (9)

Будем исходить из разбиения промежутка  точками  на части длины . Этим значениям t отвечают вершины ломаной , вписанной в дугу , и длину её можно определить как предел периметра P ломаной при стремлении  к нулю. Положим ,   и ,  .

Длина i-ого звена  вписанной ломаной выразится так: .

Применив к приращениям  и  функции порознь формулу конечных приращений, получим:

, , причём о значениях  и  мы ничего не знаем, кроме того, что оба они содержатся между  и . Имеем теперь , так что для периметра всей ломаной получается следующее выражение:

.

Если заменить во втором слагаемом под знаком корня везде  на , то преобразованное выражение , очевидно, представит собой интегральную сумму как раз для интеграла (9). При стремлении  к нулю эта сумма и будет своим пределом упомянутый интеграл. Для того, чтобы показать, что к тому же пределу стремится и периметр P ломаной, достаточно обнаружить, что разность  стремится к нулю.

С этой целью произведём оценку этой разности . Элементарное неравенство , если применить его к каждому слагаемому написанной выше суммы в отдельности, даст нам . Ввиду непрерывности функции , по любому заданному  найдётся такое ,  лишь только . Если взять все , так что  и . Это и доказывает наше утверждение.

Если кривая задана явным уравнением в прямоугольных координатах  , то, принимая x за параметр, из формулы (9), как её частный случай, получим . (9а)

Наконец, и случай полярного задания кривой   также приводится к параметрическому с помощью обычных формул перехода , ; роль параметра здесь играет . Для этого случая , , так что  и . (9б)

Примеры:

1). Парабола: . Приняв за начало отсчёта дуг вершину O(x=0), для произвольной точки M c абсциссой x имеем:

2). Эллипс: . Удобнее взять уравнение эллипса в параметрической форме: , . Очевидно,

, где  есть численный эксцентриситет эллипса. Вычисляя длину дуги эллипса от верхнего конца малой оси до любой его точки в первом квадранте, .

Таким образом, длина дуги эллипса выражается эллиптическим интегралом второго рода; как указывалось, этот факт послужил поводом для названия «эллиптический».

В частности, длина четверти обвода эллипса выражается через полный эллиптический интеграл . Длина же всего обвода будет .


1.4 Площадь поверхности вращения

Рассмотрим вопрос о вычислении площади поверхности вращения. Вычислим площадь поверхности вращения, считая её существующей и обладающей свойством аддитивности.

Пусть имеем на плоскости xy (именно в верхней полуплоскости) некоторую кривую AB, заданную уравнением вида  , , , (10)

Где  и  - функции от параметра, непрерывные вместе со своими производными. Для простоты будем предполагать её незамкнутой и лишённой кратных точек. Нам удобно ввести в качестве параметра дугу s, отсчитываемую от точки , и перейти к представлению , ,  (11)

Параметр s изменяется здесь от 0 до S, если через S обозначить длину всей кривой AB.

Задача состоит в определении площади Q поверхности, полученной от вращения кривой AB вокруг оси x. Роль независимой переменной играет  .

Если выделить элемент ds кривой (чертёж 12), то его приближённо можно принять за прямолинейный и вычислять соответствующий ему элемент площади  как площадь усечённого конуса с образующей ds и радиусами основания y и y+dy. Тогда, по известной из школьного курса формуле, . Впрочем, это ещё не та формула, к которой мы стремимся – произведение  двух бесконечно малых надо отбросить. Мы придём к линейной относительно  формуле , откуда уже, «суммируя», окончательно получим  (12)


Описание: 1.gif

где под y надлежит разуметь фигурирующую в (11) функцию.

Если вернуться к общему параметрическому заданию (10) нашей кривой, то, произведя в предшествующем интеграле замену переменной, преобразуем его к виду (чертёж 12)

. (12а)

В частности, если кривая задана явным уравнением  , так что в роли параметра оказывается x, будем иметь:

. (12б)

Примеры:

1). Определить площадь поверхности шарового пояса.

Пусть полукруг, описанный около начала радиусом r, вращается вокруг оси x. Из уравнения круга имеем ; далее, , , . В таком случае площадь поверхности пояса, описанного дугой, концы которой имеют абсциссы  и , по формуле (12б) будет , где h – высота пояса. Таким образом, площадь поверхности шарового пояса равна произведению окружности большого круга на высоту пояса. В частности, при  и , т.е. при , получаем площадь всей шаровой поверхности .

2). Найти площадь поверхности, образованной вращением дуги циклоиды , .

Так как , , то

.

1.5 Нахождение статических моментов и центра тяжести кривой

Как известно, статический момент K материальной точки массы m относительно некоторой оси равен произведению из массы m на расстояние d точки от оси. В случае системы n материальных точек с массами , лежащих в одной плоскости с осью, соответственно, на расстояниях  от оси, статический момент выразится суммой .

При этом расстояния точек, лежащих по одну сторону от оси, берутся со знаком плюс, а расстояния точек по другую сторону – со знаком минус.

Если же массы не сосредоточены в отдельных точках, но расположены сплошным образом, заполняя линию или плоскую фигуру, то тогда для выражения статического момента вместо суммы потребуется интеграл.

Остановимся на определении статического момента  относительно оси x масс, расположенных вдоль некоторой плоской кривой AB. При этом иы предположим кривую однородной, так что её линейная плотность  (т.е. масса, приходящаяся на единицу длины) будет постоянной; для простоты допустим даже, что =1 (в противном случае полученный результат лишь умножить на ). При этих предположениях масса любой дуги нашей кривой измеряется просто её длиной, и понятие о статическом моменте приобретает чисто геометрический характер. Заметим, вообще, что когда говорят о статическом моменте (или центре тяжести) кривой – без упоминания о распределении вдоль по ней масс, то всегда имеют ввиду статический момент (центр тяжести), определённый именно при указанных предположениях.

Выделим снова некий элемент  кривой (масса которого также выражается числом ). Приняв этот элемент приближённо за материальную точку, лежащую на расстоянии y от оси, для его статического момента получим выражение . Суммируя эти элементарные статические моменты, причём за независимую переменную возьмём дугу s, отсчитываемую от точки A, получим . Аналогично выражается и момент относительно оси y: . Конечно, здесь предполагается, что y (или x) выражено через s. Практически в этих формулах выражают s через ту переменную t, x или , которая играет роль независимой в аналитическом представлении кривой.

Статические моменты  и  кривой позволяют легко установить положение от центра тяжести . Точка C обладает тем свойством, что если в ней сосредоточить всю «массу» S кривой (выражаемую тем же числом, что и длина), то момент этой массы относительно любой оси совпадает с моментом кривой относительно этой оси. В частности, если рассмотреть моменты кривой относительно осей координат, то найдём , , откуда , . (13)

Из формулы для ординаты  центра тяжести мы получаем замечательное геометрическое следствие. В самом деле, имеем , откуда . Но правая часть этого равенства есть площадь Q поверхности, полученной от вращения кривой AB, в левой же части равенства  обозначает длину окружности, описанной центром тяжести кривой при вращении её около оси x, а S есть длина нашей кривой. Таким образом, приходим к следующей теореме Гульдина:

Величина поверхности, полученной от вращения кривой около некоторой не пересекающей её оси, равна длине дуги этой кривой, умноженной на длину окружности, описанной центром тяжести C кривой (чертёж 12).

Описание: 1.gif

Эта теорема позволяет установить координату  центра тяжести кривой, если известны её длина S и площадь Q описанной ею поверхности вращения. Вот тому примеры:

1). Пользуясь теоремой Гульдина, определить положение центра тяжести дуги AB (чертёж 13) круга радиуса r. Так как эта дуга симметрична относительно радиуса OM, проходящего через её середину M, то её центр тяжести C лежит (чертёж 13) на этом радиусе, и для полного определения положения центра тяжести необходимо лишь найти его расстояние  от центра O. Выбираем оси, как указано на чертеже, и обозначим длину дуги AB через s, а её хорды  - через h. От вращения рассматриваемой дуги вокруг оси x получается шаровой пояс, площадь поверхности Q которого равна . По теореме Гульдина та же поверхность равна , так что  и . В частности, для полуокружности ,  и .

2). Определить центр тяжести ветви циклоиды (чертёж 5):

,  

Если принять в расчёт симметрию, то сразу ясно, что . Учитывая же результаты примера 2) п.1.4., легко получить затем: .

1.6 Нахождение статических моментов и центра тяжести плоской фигуры

Описание: 1.gif

Рассмотрим плоскую фигуру  (чертёж 14), ограниченную сверху кривой AB, которая задана явным уравнением . Предположим, что вдоль по этой фигуре равномерно распределены массы, так что (чертёж 14) поверхностная площадь их  (т.е. масса, приходящаяся на единицу площади) постоянна. Можно принять, что =1, т.е. что масса любой части нашей фигуры измеряется её площадью. Это всегда и подразумевается, если говорят просто о статических моментах (или о центре тяжести) плоской фигуры.

Чтобы определить статические моменты  и  этой фигуры относительно осей координат, выделим какой-нибудь элемент нашей фигуры в виде бесконечно узкой вертикальной полоски (см. чертёж). Приняв эту полоску приближённо за прямоугольник, видим, что масса её (выражаемая тем же числом, что и площадь) будет . Для определения соответствующих элементарных моментов  и  предположим всю массу полоски сосредоточенной в её центре тяжести (т.е. в центре прямоугольника), что, как известно, не изменяет величины статических моментов. Полученная материальная точка отстоит от оси x на расстоянии , от оси y – на расстоянии ; последнее выражение можно заменить просто через x, ибо отброшенная величина , умноженная на массу , дала бы бесконечно малую второго порядка. Итак, имеем , . Просуммировав эти элементарные моменты, придём к результатам

, , (14)

причём под y разумеется функция .

Как в случае кривой, по этим статическим моментам рассматриваемой фигуры относительно осей координат легко определить теперь и координаты ,  центра тяжести фигуры. Если через P обозначить площадь (а следовательно, и массу) фигуры, то по основному свойству центра тяжести


, , откуда

, . (15)

И в данном случае мы получаем важное геометрическое следствие из формулы для ординаты  центра тяжести. В самом деле, из этой формулы имеем .

Правая часть этого равенства выражает объём V тела, полученного от вращения плоской фигуры  около оси x (формула 6: ), левая же часть выражает произведение площади этой фигуры P на  - длину окружности, описанной центром тяжести фигуры. Отсюда вторая теорема Гульдина:

Объём тела вращения плоской фигуры около не пересекающей её оси равен произведению площади этой фигуры на длину окружности, описанной центром тяжести фигуры: .

Заметим, что формулы (14),(15) распространяются на случай фигуры, ограниченной кривыми и снизу и сверху (чертёж 2). Например, для этого случая, . (14а)

Если вспомнить формулу (2), то легко усмотреть, что теорема Гульдина справедлива также и для этого случая.

Примеры:

1). Найти статические моменты ,  и координаты центра тяжести фигуры, ограниченной параболой , осью x и ординатой, соответствующей абсциссе x. Так как , то по формулам (14)

, .

С другой стороны, площадь (по формуле 1) .

В таком случае, по формулам (15), ,.

Пользуясь значениями  и , легко найти – по теореме Гульдина – объём тела вращения рассматриваемой фигуры вокруг осей координат или вокруг конечной ординаты. Например, если остановиться на последнем случае, так как расстояние центра тяжести от оси вращения есть , то искомый объём будет .

2). Найти центр тяжести фигуры, ограниченной ветвью циклоиды ,  и осью x . Воспользовавшись п.1.1. 4) и п.1.2. 2), по теореме Гульдина легко установить . По симметрии .

1.7 Механическая работа

Пусть точка M движется по прямой (этим случаем мы ограничимся для простоты), причём на перемещении s на неё вдоль той же прямой действует постоянная сила F. Из элементов механики известно, что тогда работа W этой силы выразится произведением . Чаще, однако, случается, что величина силы остаётся постоянной, а непрерывно меняется от точки к точке, и для выражения работы снова приходится прибегнуть к определённому интегралу.


Описание: 1.gif

Пусть путь s, проходимой точкой, будет независимой переменной. При этом предположим, что начальному положению A нашей точки M соответствует значение , а конечному B – значение  (чертёж 15). (чертёж 15)

Каждому значению s в промежутке  отвечает определённое положение движущейся точки, а также определённое значение величины F, которую, таким образом, можно рассматривать как функцию от s. Взяв точку M в каком-нибудь её положении, определяемом значением s пути. Найдём теперь приближённое выражение для элемента работы, соответствующего приращению  пути, от s до , при котором точка M перейдёт в близкое положение . В положении M на точку действует определённая сила F. Так как изменение этой величины при переходе точки из M в  - при малом  - также мало, пренебрежём этим изменением и, считая величину силы F приближённо постоянной, найдём для элемента работы на перемещении  выражение , так что вся работа W представится интегралом

. (16)

Пример. Применим в виде примера формулу (16) к вычислению работы растяжения (или сжатия) пружины с укреплённым одним концом (чертёж 16).


Описание: 1.gif

С этим приходится иметь дело, например, при расчёте буферов у железнодорожных вагонов.

Известно, что растяжение s пружины (если только пружина не перегружена) создаёт натяжение p, по величине пропорциональное растяжению, так что (чертёж 16) , где c – некоторая постоянная, зависящая от упругих свойств пружины («жёсткость» пружины). Сила, растягивающая пружину, должна преодолевать это натяжение. Если учитывать только ту часть действующей силы, которая на это затрачивается, то её работа при возрастании растяжения от  до  выразится так:

.

Обозначив через P наибольшую величину натяжения или преодолевающей её силы, соответствующую растяжению пружины (и равную ), мы можем представить выражение для работы в виде .

Если бы к свободному концу пружины сразу была приложена сила P (например, подвешен груз), то на перемещении S ею была бы произведена вдвое большая работа . Как видим, лишь половина пойдёт на сообщение пружине с грузом кинетической энергии.


2. Двойной интеграл

2.1 Вычисление площади в случае прямоугольной области

Описание: 1.gif

Возьмём функцию , представляющую прямоугольную область . Вычислим площадь данной области с помощью двойного интеграла. Разобьём промежутки  и  на части, вставляя точки деления

,

.

Тогда прямоугольник разложится на частичные прямоугольники (чертёж 17):  . (чертёж 17)

Обозначим через  и  точные нижнюю и верхнюю границы прямоугольника

. Возьмём , тогда . Просуммируем , где s и S – суммы Дарбу. Если  и  устремить к нулю, то . Это и есть значение K площади: .

2.2 Вычисление площади в случае криволинейной области

Описание: 1.gif

Рассмотрим область , ограниченную снизу и сверху двумя непрерывными кривыми: ,  , а с боков двумя ординатами  и  (чертёж 18).

Заключим область  в прямоугольник , (чертёж 18) полагая , . Значение площади K площади в этом случае: .

 Пример: Вычислить площадь фигуры, ограниченной лемнискатой (чертёж 19):

. Наличие двучлена  наталкивает на мысль перейти к полярным координатам:

, , площадь .


Благодаря симметрии, определим (чертёж 19) площадь части  фигуры, т.е. . Полярное уравнение лемнискаты , , получаем , искомая площадь есть .

2.3 Вычисление объёма цилиндрического бруса

Описание: 1.gif

Пусть  непрерывная и положительная функция. Вычислим объём тела, которое сверху ограничено поверхностью , с боков – цилиндрической поверхностью с образующими, параллельными оси , снизу – плоской фигурой  на плоскости  (чертёж 20).

1.Разобьём область  на части:  и рассмотрим ряд цилиндрических столбиков. (чертёж 20)

2. Возьмём .

3. , где  - площадь .

4. Получили интегральную сумму .

5. , где  - длина наибольшего диаметра частичной области.

В итоге объём .

Пример: Найти объём тела, вырезанного цилиндром  из сферы («тело Вивиани») (чертёж 21).

Описание: 1.gif

,

где P есть полукруг в первом квадранте плоскости xoy, ограниченный линиями  и . Перейдём к полярным координатам, тогда уравнение контура P будет  при .

Таким образом, объём

.

2.4 Механические приложения

Пусть массы непрерывным образом распределены по области (P), причём плотность в точке  пусть будет . Тогда элемент массы , вся масса .

Элементарные статические моменты и моменты инерции относительно осей координат будут , ,

, . Отсюда

.

Получим координаты центра тяжести .

Пусть в пространстве дан брус. Его элементарные статические моменты будут

.

Отсюда координаты центра тяжести

.


Описание: 1.gif

Формулы для моментов инерции бруса  относительно оси z и  ,  - относительно плоскостей координат yz, zx:

.

Пример: Найти центр тяжести однородного эллипсоида , содержащийся в первом октанте (чертёж 22). (чертёж 22)

Область (P) ограничена координатными осями и дугой эллипса  , уравнение эллипсоида в явном виде

. Тогда

. Аналогично , . Объём . Найдем координаты центра тяжести .

3. Криволинейный интеграл

3.1 Выражение площади с помощью криволинейных интегралов

Запишем сначала формулу Грина: .

Если функции P и Q в формуле Грина подобрать так, чтобы , то двойной интеграл приведётся к площади D.

Если  и , то ,

если  и , то ,

если  и , то . Последняя формула является наиболее употребительной.

Пример: Найти площадь эллипса с полуосями a и b. Воспользуемся параметрическими уравнениями эллипса: ,  . Тогда .

3.2 Приложения к физическим задачам

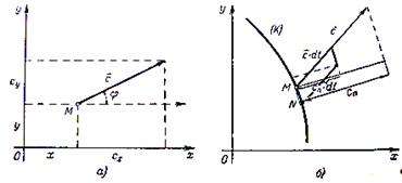
Описание: 1.gif


Работа силового поля. Пусть в каждой точке M плоскости xy на помещённую в неё единицу массы действует определённая сила . Данная плоскость называется силовым полем, а сила  - напряжением поля. Из рисунка видно , .

Пусть точка M(x,y) движется и описывает некоторую непрерывную кривую (K). Вычислим работу A, которую при этом движении совершают силы поля. В случае прямолинейного движения , где

Описание: 1.gif

В случае непрямолинейного движения и непостоянной силы станем определять положение точки M на кривой (K) длиной s дуги AM. Тогда . Просуммируем, работа выразится криволинейным интегралом первого типа: . Пусть  - угол между направлением элемента и осью x, тогда . Окончательно работа силового поля выразится криволинейным интегралом второго типа: .

Плоское установившееся движение несжимаемой жидкости.


Описание: 1.gif

При таком движении все частицы, лежащие на одной вертикали к некоторой плоскости, имеют одну и ту же скорость. Скорость  частицы жидкости зависит только от положения частицы, но не от времени.

Если обозначить угол, составленный вектором  с осью x, через , а проекции этого вектора на координатные оси – через  и , то . Количество Q жидкости, протекающей через кривую (K) в определённую от неё сторону в единицу времени, запишется в виде криволинейного интеграла первого типа .

Так как , то . Перейдём к криволинейному интегралу второго типа .


4. Поверхностные интегралы

4.1 Площадь поверхности, заданной явным уравнением

Описание: 1.gif

Пусть поверхность  задана явным уравнением , причём  изменяются в квадрируемой области  на плоскости , и  в этой области имеет непрерывные частные производные  и . Разложим область  с помощью сетки кривых на элементы . Рассмотрим .Если построить на контуре этой частичной области цилиндрическую поверхность с образующими, параллельными оси , то она вырежет на поверхности  элемент. Элемент  соответствует элементу . Точка  соответствует точке , где . Проведём в точке  касательную плоскость. Упомянутая цилиндрическая поверхность на этой плоскости вырежет элементарную фигуру , площадь которой  служит приближением к площади элемента . Сумму  можно считать приближением к площади поверхности . Площадь  при стремящихся к нулю диаметров всех элементов  или . Отсюда , где  - угол нормали к поверхности с осью . Если  удовлетворяет точке , то для площадей плоских фигур  и  имеем , откуда . Получаем интегральную сумму . Исходя из того, что , площадь .

4.2 Площадь поверхности в общем случае

Рассмотрим простую гладкую поверхность , заданную параметрически. Для каждой точки  поверхности явное уравнение  заменяется явным же уравнением  или . Отсюда следует, что вся поверхность  разлагается на конечное число кусков . Вычислим площадь . . .

Замечание: Перейдём от параметров  с областью изменения  к параметрам  с областью изменения  по формулам , . Тогда поверхность выразится новыми уравнениями , , . Обозначим , ,  - так называемые гауссовы коэффициенты. Так как , то .

Выражение  называют элементом площади в криволинейных координатах.

Пример: Найти площадь частей сферической поверхности , вырезанных из неё цилиндром .

Решение. , , , тогда , причём областью интегрирования служит круг, ограниченный окружностью .

В полярных координатах получим . Проинтегрировав, получим .

В сферических координатах, так как , , , то .


5. Тройной интеграл

5.1 Масса тела. Объём

Пусть дано некоторое тело , заполненное массами, и в каждой точке  известна плотность  распределения этих масс. Требуется определить всю массу  тела.

Разложим тело  на ряд частей: . Точка . Пусть в пределах части  плотность постоянна и равна  в выбранной точке. Тогда масса , масса всего тела . Если диаметры  всех частей стремятся к нулю, то  или . Последнее выражение называется тройным интегралом.

Пусть дана функция  в данном теле .

Если функция , то , где  есть объём данного тела

. Вычисление тройного интеграла можно выполнить с помощью трёх последовательных простых интегрирований.

Пример:

1). Вычислить интеграл , распространённый на тетраэдр , ограничиваемый плоскостями , ,  и (чертёж ). Решение: Запишем границы изменения каждой из переменных


, отсюда

Описание: 1.gif

.

Итак, .


5.2 Замена переменной в тройном интеграле

Если функция  и функции  непрерывны вместе со своими частными производными до второго порядка включительно, и якобиан , то .

Частные случаи:

1). Цилиндрические координаты

, , .

.

Пример: Вычислить объём тела, ограниченного поверхностью .

, , пределы интегрирования .

.


2). Сферические координаты

, ,

.

Пример: Вычислить объём тела, ограниченного поверхностью

, пределы интегрирования

.


Заключение

В данной работе мы рассмотрели основные виды интегралов и их вычисление, а также их применение к решению прикладных задач. С помощью теории интегралов изложено нахождение площадей, ограниченных различными кривыми, объёмов, ограниченных различными поверхностями, в том числе нахождение площадей и объёмов тел вращения. А также описано нахождение длины дуги заданной кривой на данном отрезке. Представлены некоторые механические приложения для определённого и двойного интегралов: нахождение статических моментов, координат центра тяжести кривой, плоской и объёмной фигур, массы тела. Приведены физические приложения, например, нахождение механической работы, работы силового поля, рассмотрение вопроса о плоском установившемся течении несжимаемой жидкости. В работе приведены некоторые применения криволинейных и поверхностных интегралов.


Литература

1. Архипов Г.И. Садовничий В.А. Чубариков В.Н. «Лекции по математическому анализу», 1999.

2. Виноградова И.А. Олехник С.Н. Садовничий В.А. «Задачи и упражнения по математическому анализу», Часть 1, 1988.

3. Виноградова И.А. Олехник С.Н. Садовничий В.А. «Задачи и упражнения по математическому анализу», Часть 2, 1991.

4. Демидович Б.П. «Сборник задач и упражнений по математическому анализу», 1997.

5. Запорожец Г.И. «Руководство к решению задач по математическому анализу», 1966.

6. Зорич В.А. «Математический анализ», Часть 1, 1997.

7. Зорич В.А. «Математический анализ», Часть 2, 1984.

8. Матвеев Н.М. «Методы интегрирования обыкновенных дифференциальных уравнений», 1967.

9. Нахман А.Д., «Интегралы функций одной и нескольких переменных. Дифференциальные уравнения». Учебно-методические разработки. Тамбов. Издательство ТГТУ, 2006.

10. Никольский С.М. «Курс математического анализа», Часть 1, 2, 1983.

11. Рудин У. «Основы математического анализа», 1966.

12. Шведов И. «Математический анализ. Часть 1. Функции одной переменной».

13. Шведов И. «Математический анализ. Часть 2. Интегральное исчисление функций многих переменных ».

14. Шилов Г.Е. «Математический анализ (функции нескольких вещественных переменных)», Части 1-2, 1972.

15. Шилов Г.Е. «Математический анализ (функции одного переменного)», Часть 3, 1972.


© 2012 Рефераты, доклады и дипломные работы, курсовые работы бесплатно.