рефераты
Главная

Рефераты по международному публичному праву

Рефераты по международному частному праву

Рефераты по международным отношениям

Рефераты по культуре и искусству

Рефераты по менеджменту

Рефераты по металлургии

Рефераты по муниципальному праву

Рефераты по налогообложению

Рефераты по оккультизму и уфологии

Рефераты по педагогике

Рефераты по политологии

Рефераты по праву

Биографии

Рефераты по предпринимательству

Рефераты по психологии

Рефераты по радиоэлектронике

Рефераты по риторике

Рефераты по социологии

Рефераты по статистике

Рефераты по страхованию

Рефераты по строительству

Рефераты по таможенной системе

Сочинения по литературе и русскому языку

Рефераты по теории государства и права

Рефераты по теории организации

Рефераты по теплотехнике

Рефераты по технологии

Рефераты по товароведению

Рефераты по транспорту

Рефераты по трудовому праву

Рефераты по туризму

Рефераты по уголовному праву и процессу

Рефераты по управлению

Курсовая работа: Особенности межличностных отношений слабослышащих детей дошкольного возраста

Курсовая работа: Особенности межличностных отношений слабослышащих детей дошкольного возраста

Федеральное агентство по образованию

ГОУ ВПО «Красноярский государственный педагогический университет им. В.П. Астафьева»

Институт специальной педагогики

Кафедра специальной психологии

Курсовая работа по специальной психологии:

Особенности межличностных отношений слабослышащих детей дошкольного возраста

Выполнила: студентка 4 курса

Самаркина М.В.

Проверила: к.п.н., доцент кафедры

специальной психологии Иванова Н.Г.

Красноярск 2010


Содержание

Введение

Глава 1. Анализ литературы по проблеме исследования

1.1 Особенности межличностных отношений детей старшего дошкольного возраста с сохранным слухом

1.2 Психолого-педагогическая характеристика детей с нарушенным слухом

1.3 Особенности межличностных отношений детей старшего дошкольного возраста с нарушенным слухом

Выводы

Глава 2. Экспериментальное исследование особенностей межличностных отношений у детей старшего дошкольного возраста с нарушенным слухом

2.1 Организация и методики экспериментального исследования

2.2 Анализ результатов исследования

2.3 Методические рекомендации по формированию межличностных отношений детей старшего дошкольного возраста с нарушенным слухом

Выводы

Заключение

Список литературы


Введение

Воспитание адекватного и гибкого взаимодействия и поведения в обществе, способности к продуктивным межличностным отношениям, эмпатии и рефлексии, освоение социальных ролей, социально-эмоциональное развитие является важнейшей задачей современного общего и специального образования.

Формирование личности детей происходит в условиях взаимодействия их с окружающей средой, которая оказывает на них воспитывающее воздействие. В процессе жизни и деятельности в коллективе происходит постоянное взаимовлияние воспитанников друг на друга, в ходе которого формируются их оценка и самооценка, взгляды на события окружающей жизни.

Процессы формирования межличностных отношений у детей с нарушениями слуха изучали Т. Г. Богданова, Э. А. Вийтар, Ю. А. Герасименко, Г. А. Карпова, М. М. Нудельман, В. Г. Петрова, И. Л. Соловьева, М. Е. Хватцев, И. В. Цукерман, С. Н. Шабалина.

Актуальность исследования: благоприятное развитие личности и успешность социализации неслышащего ребенка во многом обеспечивается уровнем сформированности социальных навыков, среди которых важнейшими являются умения устанавливать межличностные отношения.

Известно, что процесс социализации неслышащего индивида протекает в депривационных условиях, таких как сенсорная, коммуникативная, эмоциональная, информационная, социальная и семейная депривации.

Своеобразие протекания процесса социализации отрицательно сказывается на формировании коммуникативной компетентности неслышащего индивида, в том числе на характере межличностных отношений. Нарушение слуха - социальный дефект, он сужает межличностные контакты и с глухими сверстниками и со слышащим социумом, что в свою очередь ведет к обеднению опыта общения, замедленному формированию социально зрелых межличностных отношений; примитивности и замедленному темпу формирования социальной перцепции и рефлексии.

Гипотезой данного исследования является предположение о том, что у детей с нарушенным слухом недостаточно сформированы межличностные отношения по сравнению с нормально слышащими детьми.

Цель данной работы: выявить особенности межличностных отношений слабослышащих детей дошкольного возраста.

Задачи:

1)  провести анализ литературы по проблеме исследования;

2)  подбор диагностических методик и их проведение;

3)  анализ полученных результатов и определение путей коррекции.

Объект исследования: межличностные отношения слабослышащих детей дошкольного возраста.

Предмет исследования: процесс формирования межличностных отношений у детей дошкольного возраста.

Методы исследования:

1)  теоретический анализ психолого-педагогической литературы по проблеме исследования;

2)   эмпирические методы: изучение психолого-педагогической и медицинской документации детей,

3)  экспериментальные методы: разработка и проведение констатирующего эксперимента, направленная на изучение особенностей межличностных отношений детей старшего дошкольного возраста

4)  количественный и качественный анализ результатов исследования.

межличностное отношение ребенок нарушение слух


Глава 1. Анализ литературы по проблеме исследования

1.1 Особенности межличностных отношений детей дошкольного возраста с сохранным слухом

Межличностные отношения — это те непосредственные связи и отношения, которые складываются в реальной жизни между мыслящими и чувствующими индивидами [3,3].

Отношения с другими людьми зарождаются и наиболее интенсивно развиваются в детском возрасте. Опыт этих первых отношений является фундаментом для дальнейшего развития личности ребенка и во многом определяет особенности самосознания человека, его отношение к миру, его поведение и самочувствие среди людей [25,4].

Проблема межличностных отношений относится к области социально-психологического знания. Центром внимания социальной психологии стала так называемая «малая группа» -социальное звено, в котором «общественные отношения выступают в форме непосредственных личных контактов»[2,57]. В педагогической литературе принято употреблять в качестве синонима термин «коллектив», хотя в строгом научном понимании данные понятия не полностью тождественны. Коллектив есть особое качественное состояние малой группы, достигшей высокого (наивысшего) уровня социально-психологической зрелости. Важнейшим признаком понятия «коллектив» является характер связей между его членами[16,34].

Сегодня вопросы, связанные с межличностными отношениями в коллективе, выдвигаются на первый план многих исследований. Так в нашей стране процесс формирования межличностных отношений наиболее полно изучен в работах Н. С. Глуханюк, Т. В. Драгуновой, Г. А. Карповой, Я. Л. Коломинского, Р. С. Немова. Для отечественной психолого-педагогической науки межличностные отношения стали специальной научной проблемой, которая включается в широкий контекст научных исследований.

Наиболее общепринятое в настоящее время определение понятия «межличностные отношения» дано Я. Л. Коломинским, который под межличностными отношениями понимает субъективно переживаемые взаимосвязи между людьми, объективно проявляющиеся в характере и способах взаимных влияний, оказываемых людьми друг на друга в процессе совместной деятельности и общения[15,75].

Классификацию межличностных отношений предлагает А. В. Киричук, согласно которой отношения дифференцируются на три основные группы:

–Положительные отношения - симпатия, расположение, товарищество, доброжелательность, одобрение, помощь, сочувствие и т.д.

–Индифферентные отношения - равнодушие, черствость, безразличие и т.д.

–Отрицательные отношения - антипатия, осуждение, недоверие, подозрительность, грубость и т.д.

А. В. Киричук отмечает, что характер отношений в коллективе зависит от содержания и формы общения, от доброжелательного психологического климата в нем[14,83].

Я. Л. Коломинский подчеркивает, что положение в группе (коллективе) интегрирует роли и статусы личности во всех подструктурах группы (коллектива). Причем социометрический статус-это один из основных факторов положения личности в подсистеме личных отношений, который характеризуется уровнем эмоционального предпочтения данного индивида по сравнению с остальными членами группы. Анализируя социометрические критерии, он подчеркивает, что при сильном и неопределенном критерии выбора выявляется обобщенное эмоционально-оценочное отношение выбирающего к выбираемому. Следовательно, социометрический статус измеряется числом полученных выборов. Чем больше сверстников выбирают данного индивида, тем выше его социометрический статус. Соотношение числа членов группы, получивших разное число выборов, квалифицируется как статусная структура личных взаимоотношений [15,108].

В исследованиях Н. Е. Гронланда обнаружено, что на социометрическое положение влияют, прежде всего, такие личностные факторы, как внешний вид, возраст, умственная одаренность, общительность, готовность помочь товарищу и др. [7,41].

Исследованиями Я. Л. Коломинского и его школы подтверждается, что положение ребенка в системе личных отношений зависит от целого ряда факторов, среди которых авторы выделяют: внешний вид (физическая привлекательность, ведущая модальность мимики, оформление облика, невербальный язык); успехи в ведущей деятельности; некоторые свойства характера и темперамента (толерантность, общительность, низкая тревожность и др.).

В настоящее время в большинстве случаев применяется терминология, выработанная Я. Л. Коломинским совместно с Х. Й. Лийметсом и И. П. Волковым. Термином «звезда» обозначают индивидов, которые получают наибольшее число выборов. По выражению Дж. Морено, эти люди «привлекают столько выборов, что они захватывают центр сцены, подобно звезде»[18,69]. Если количество выборов, полученное членом группы, находится ниже среднего уровня, его относят к категории «пренебрегаемых». К «изолированным» относят тех испытуемых, которые в эксперименте не получили ни одного выбора [15,126].

Высокий статус (предпочитаемый или звезда), отмечает Г. А. Карпова, является благоприятной ситуацией развития личности, поскольку он предоставляет положительные психологические условия: признание сверстников, столь необходимое юному человеку; положительную оценку окружающих, формирующую, в свою очередь, положительную самооценку; интенсивность личных контактов, обеспечивающих эмоциональную насыщенность жизни в данном коллективе. Низкий статус учащихся (изолированный или отвергаемый), считает Г. А. Карпова, тормозит или делает противоречивым развитие личности. Положение изолированности лишает индивида признания, внимания, эмоциональной теплоты. Это отрицательно сказывается на формировании внутреннего мира юного человека: складывается неадекватная противоречивая самооценка, повышается тревожность, постепенно формируется конфликтный или отчужденный стиль отношений с окружающими. Состояние изолированности опасно и в другом плане: учащийся не может, будучи отчужденным от коллектива, удовлетворить фундаментальную социальную потребность в общении и с неизбежностью ищет компанию на стороне, уходя из зоны педагогического внимания и помощи[9,62].

Одной из наиболее значимых для развития личности производной межличностных отношений является характер внутригруппового эмоционально-психологического климата. Н. П. Аникеева определяет для группы эмоционально-психологический климат как эмоционально-психологический настрой коллектива, в котором на эмоциональном уровне отражаются личные и деловые отношения членов коллектива. Положительный эмоционально-психологический климат складывается из гуманистического отношения друг к другу, чувства удовлетворенности группой, эмоционального сопереживания коллективных событий, учтивого положительного настроя, свободы и активности личности при выражении мнений и принятии решений[9,71]. Все это характерно для детей не имеющих нарушений в развитии.

Учителю, целенаправленно формирующему оптимальные детские взаимоотношения, необходимо знать, какие качества личности нужны для успешного общения.

1.2 Психолого-педагогическая характеристика детей с нарушенным слухом

Слух играет большую роль в интеллектуальном и речевом развитии ребенка. Ребенок с сохранным слухом слышит речь взрослых, подражает ей и учится самостоятельно говорить. Слушая объяснения взрослого, малыш знакомится с окружающим миром, овладевает сложным познанием действительности, усваивает значения многих слов. С помощью слуха он может контролировать собственную речь и сравнивать с речью окружающих, так он усваивает не только правильное звукопроизношение, но и лексико-грамматические средства языка. В дальнейшем сохранный физический слух является необходимым условием для овладения чтением и письмом.

Теоретической основой психолого-педагогической классификации являются положения, определяющие своеобразие развития ребенка с нарушениями слухового анализатора.

 Нарушение слухового анализатора у ребенка необходимо рассматривать в его принципиальном отличии от подобного недостатка у взрослых. У взрослых людей к моменту нарушения слуха речь сформирована, а дефект слухового анализатора оценивают с точки зрения возможности общения на основе слуха. Утрата слуха в детстве влияет на ход психического развития ребенка и приводит к возникновению целого ряда вторичных дефектов. Нарушается речевое развитие ребенка. Если же глухота возникает рано, это приводит к полному отсутствию речи. Немота препятствует нормальному формированию словесного мышления, что ведет к нарушению познания.

Для правильного понимания развития ребенка с недостатком слуха важно учитывать возможность самостоятельного овладения речью. Нарушение слуха, с одной стороны, препятствует нормальному развитию речи, с другой стороны, нормальное функционирование слухового анализатора находится в зависимости от уровня речевого развития. Чем выше уровень речевого развития ребенка, тем больше возможностей использовать остаточный слух. Человек, владеющий языком, имеющий достаточный словарный запас, способен лучше воспринимать обращенную речь, т.к. улавливает знакомые слова и фразы по смыслу, в контексте фразы. Дети, у которых речь развита лучше, производят впечатление слышащих. Чем лучше у ребенка слух, тем больше возможностей для самостоятельного развития речи на основе подражания речи окружающих. [5,43].

Р.М. Боскис рассматривает недостаточность слуха у ребенка с точки зрения развития речи при данном нарушении слуха. Чем лучше речь у ребенка, тем больше возможностей использовать свой слух. При глухоте обнаруживается потеря слуха выше 80 дБ. В том случае, если при аудиометрии обнаружено снижение слуха меньше 80 дБ, говорят о тугоухости.

Р.М. Боскис выделила 2 основные группы детей с недостатками слуха — глухие и слабослышащие.

К группе глухих относятся дети, которые вследствие врожденной или раноприобретенной глухоты не могут самостоятельно овладеть словесной речью.

К категории слабослышащих детей относят тех, у кого наблюдается снижение слуха, но возможно самостоятельное развитие речи (хотя бы минимальное).

В зависимости от речевого развития выделяют 2 группы слабослышащих детей:

♦ слабослышащие, которые обладают относительно развитой речью с небольшими недостатками (нарушения в звукопроизношении, отклонения в грамматическом строе речи);

♦ слабослышащие с глубоким недоразвитием речевой функции (фразы короткие, неправильно построенные, отдельные слова сильно искажены и т.д.).

Среди глухих также выделяют 2 группы детей в зависимости от времени возникновения дефекта:

♦ ранооглохшие дети, потерявшие слух на 1-2 году жизни или родившиеся неслышащими;

♦ позднооглохшие дети, т.е. потерявшие слух в 3-4 года, а также позже, сохранившие речь в связи с более поздним возникновением глухоты. Термин «позднооглохшие» носит условный характер, т.к. данную группу детей характеризует не время наступления глухоты, а факт наличия речи при отсутствии слуха.

Дефект слуха в первую очередь отрицательно влияет на формирование речи, т.е. той психической функции, которая в наибольшей степени зависит от состояния слухового анализатора. Таким образом, на основе оценки состояния слуха, уровня развития речи с учетом времени наступления слухового дефекта выделяют 4 группы детей с нарушениями слуха и речи [5,58].

1.3 Особенности межличностных отношений детей дошкольного возраста с нарушенным слухом

Способы коммуникации являются важным аспектом исследования межличностных отношений неслышащих индивидов. Смысловой, ценностный, эмоциональный обмен, составляющий суть межличностных отношений, реально осуществляется между слабослышащими и глухими на основе жестовой речи с вкраплениями дактильной речи (для обозначения, например, имен собственных); между слабослышащими и слышащими -на основе словесной речи в устной и письменной форме.

Жестовый язык объединяет глухих и слабослышащих в особое культурно-лингвистическое меньшинство; жестовая коммуникация -один из способов сохранения культурных традиций сообщества глухих людей[11,84]. Оценка психолингвистического потенциала жестовой речи в истории сурдопедагогики была неоднозначной. Изначально бытовала отрицательная оценка природы жестовой речи. Она рассматривалась как несамостоятельная, примитивная, лишенная собственной грамматики система знаков.

В настоящее время в рамках социо -культурной концепции образования и воспитания глухих оценка жестовой речи принципиально иная. Она ведет свое начало и возрождает идеи В. И. Флери и Л. С. Выготского.

В. И. Флери, основатель отечественной сурдопедагогики, рассматривал жестовую речь как богатую систему общения, в которой «существует великое разнообразие оттенков и чрезвычайно точных измерений, коих на бумаге выразить не возможно»(28,90).

Л. С. Выготский указывал на необходимость «полиглосии», т.е. словесно-жестового двуязычия глухих: «Педагогика не может закрыть глаза на то, что, изгоняя мимику из пределов дозволенного речевого общения неслышащих детей, она тем самым вычеркивает из своего круга огромную часть коллективной жизни и деятельности глухого ребенка»(8,42).

Жестовая речь -не только полноценное и, несомненно, реальное средство коммуникации между неслышащими, но и средство их когнитивного развития. Результаты исследований Г. Л. Зайцевой показали, что дети, свободно владея разговорным жестовым языком, существенно лучше понимают, перерабатывают, запоминают информацию, сообщаемую им средствами жестового языка[22]. Однако, указанного оптимизма не разделяет ряд ученых. Так, А. Леве приводит мнение ряда зарубежных сурдопедагогов (К. Брасель, В. Вейскранц, Р. Конрад, Ст. Куинглей, И. Параснис 1977, 1981), которые путем тестирования не обнаружили интеллектуальных преимуществ глухих, рано владеющих жестовой речью, перед глухими, обучающихся оральным методом[30].

В общении с миром слышащих (предметном и межличностном) глухие и слабослышащие используют словесный язык в устной и письменной форме.

«Умение пользоваться сложной знаковой системой (языком) является основополагающей предпосылкой для становления мышления, овладения культурными ценностями, а также для развития коммуникативных способностей для взаимодействия и общения с окружающими и интеграции в обществе»[33, 225].

К сожалению, качество формируемого словесного языка глухих детей (независимо от применяемого метода обучения) остается низким, не соответствующим требованиям социального общения (речь идет о внятности собственной устной речи и адекватном понимании словесной речи). Низкая внятность устной речи и малая эффективность орального чтения обуславливают тот факт, что в общении со слышащими глухие и слабослышащие предпочитают использовать письменную речь и естественные жесты. Таким образом, словесно-языковая компетентность глухих и слабослышащих в общении со слышащими ограничена. Повышение ее реального уровня продолжает оставаться стратегической задачей современной сурдопедагогической теории и практики [9,61].

Роль семьи в формировании межличностных отношений у детей с нарушениями слуха. Исследователи единодушно отмечают, что семейное воспитание и развитие глухого ребенка осуществляется в двух качественно различных ситуациях: это воспитание глухого ребенка родителями слышащими и родителями глухими.

По мнению Г. А. Карповой, своеобразие воспитательной ситуации «глухой ребенок у слышащих родителей» отличается рядом черт. Прежде всего, это семья, пережившая шок от рождения аномального ребенка. Эмоциональное восприятие глухого малыша слышащими родителями дисгармонично: отцы, как правило, испытывают раздражение и неприятие «ненормального» ребенка, матери-чувства вины и жалости, ведущие к гиперопеке. Немецкий сурдопедагог П. А. Янн считает, что главной своеобразной чертой данных семей является то, что «между ними (слышащими родителями и глухим ребенком) нарушается уровень эмоциональных взаимоотношений -один из внешних факторов психологического развития человека. Социализация глухого ребенка происходит в особых условиях, которые необходимо исследовать по всем направлениям в рамках психологии развития»(54).

Иная исходная педагогическая ситуация для глухих детей при глухих родителях, отмечает Г. А. Карпова. Глухие родители без шока, даже с облегчением принимают факт рождения глухого ребенка. Без специальной помощи на основе жестов они способны установить контакт и обеспечить эмоциональную близость с ребенком.

Личностные проблемы общения глухих и слабослышащих освещены в научной литературе крайне ограниченно. Л. А. Головчиц отмечает у глухих детей возрастную динамику развития интереса к сверстникам и потребности в общении с ними. Неслышащие дети 2-3 лет в ДОУ недостаточно вступают в контакт с другими детьми, предпочитая игры в одиночку или общение со взрослыми; поэтому одна из главных задач педагогов на этом этапе -целенаправленно воспитывать такие коммуникативные качества, как интерес и доброжелательность к сверстникам. У детей среднего дошкольного возраста появляется больший интерес к другому и потребность в общении с ним. У старших дошкольников потребность в межличностном общении резко возрастает. Между детьми возникают привязанности. В этом возрасте в процессе общения глухие дети уже способны к информационному обмену, организации совместных действий, распределению обязанностей в игре[18].

В исследовании Т.Г.Богдановой и Н.В.Мазуровой были получены сведения об особенностях личности детей. Слышащие дети характеризовались достаточно высоким показателем любознательности (75%), глухие дети глухих родителей — более низким показателем (65%), глухие же дети из семей слышащих — самым низким (45%). Незначительно различались дети всех групп по общительности (60 — 70%): все младшие школьники с удовольствием рассказывали о своих друзьях, о желании общаться с ними, играть, отдыхать.

Рассматривалась и такая особенность личности, как стремление к лидерству, доминированию в группе сверстников. Самый высокий показатель обнаружили глухие дети из семей глухих (45 %). Они избирали себе место в центре группы сверстников либо во главе ее. Чуть ниже показатель у слышащих (30 %). Они не всегда выбирали положение в центре, объясняя это нежеланием обращать на себя внимание, большой ответственностью. Самым низким был показатель в группе глухих детей слышащих родителей — 18%. Свой выбор места среди играющих сверстников они объясняли стеснительностью, неумением хорошо говорить и т.д., т.е. не хотели лидировать в группе. Уровень конфликтности у слышащих учащихся в среднем составлял 17%. Они редко стремились оказаться среди дерущихся или ссорящихся сверстников. Глухие дети из семей глухих имели показатель конфликтности 22,5%. Практически таким же (25 %) был показатель в группе глухих детей слышащих родителей. Но, как уже отмечалось выше, у глухих детей из семей глухих этот показатель сочетался со стремлением к лидерству, а у глухих из семей слышащих — со стремлением занять позицию подчиненного.

Таким образом, взаимоотношения ребенка, имеющего нарушения слуха, с родителями, родительская позиция по отношению к нему оказывают существенное влияние на развитие личности ребенка. Долговременная деформация, искажение отношения к ребенку со стороны одного или обоих родителей становится фактором риска, способным привести к нарушениям в развитии его личности. Целенаправленная работа по психологической коррекции отношений родителей и детей может стать важным средством воздействия на развитие личности детей, имеющих нарушения слуха[3,52].

Выводы

Изучив различные источники литературы по вопросу особенностей межличностных отношений детей различных категорий (с нормальным слухом и с нарушениями слуха) можно сделать вывод, что дети с нарушениями слуха не достаточно глубоко понимают всю проблемность и сложность социальных отношений. У них происходит замедленное формирование социально зрелых межличностных отношений. У них примитивный и замедленный темп формирования социальной перцепции и рефлексии, и отмечается неадекватность самооценки. Это обусловлено объективными трудностями акта коммуникации, которые ведут к недостаточному обобщению и дифференциации социальных контактов. У таких детей слабо формируются положительные отношения к товарищам, отзывчивость, чуткость, внимательность, взаимопомощь. Но эти чувства формируются под руководством учителя.


Глава 2. Экспериментальное исследование особенностей межличностных отношений у детей старшего дошкольного возраста с нарушенным слухом

2.1 Организация и проведение методик исследования

Организация исследования. Базой для исследования явилось МДОУ комбинированного вида № 194, которое находится по адресу: г. Красноярск, ул.60 лет Октября, 85б. В МДОУ № 194 работают высококвалифицированные специалисты: педагог-психолог, учителя-дефектологи, воспитатели, музыкальный руководитель, инструктор по физическому воспитанию.

В МДОУ № 194 функционирует 4 группы: 3 группы комбинированной направленности; 1 группа компенсирующей направленности.

В эксперименте участвовало 2 группы детей. Первая группа: 5 детей с нарушениями слуха старшей группы: Диана М. -двусторонняя смешанная тугоухость III степень; Макар С. - двусторонняя сенсоневральная тугоухость III степень; Максим В.- двусторонняя смешанная тугоухость II степень; Настя П. -двусторонняя сенсоневральная тугоухость IV степень; Полина З. -двухсторонняя сенсоневральная тугоухость II – III степень.

Вторая группа: 5 детей с сохранным слухом старшего дошкольного возраста: Алина С., Диана П., Иван Н., Никита Т., Оля Ч.

Объектом исследования являются межличностные отношения слабослышащих детей дошкольного возраста.

Предметом исследования является процесс формирования межличностных отношений у детей дошкольного возраста.

Психодиагностические методики исследования:

1.  «Выбор в действии» Немова Р.

2.  «Два домика» предложена И. Вандвик, П. Экблад.

Методика «Выбор в действии»

Цель: изучение и оценка межличностных отношений в группе детей дошкольного возраста.

Процедура проведения методики: Каждому ребёнку даётся по три привлекательных, желаемых предмета. Это могут быть игрушки, картинки, конфеты и т.п.

Инструкция: «Оцени эти три предмета по степени их привлекательности, по тому, насколько другие дети хотели бы их иметь у себя. На первое место поставь наиболее желательный для детей предмет, на второе — чуть менее желательный, а на третье — оставшийся. Теперь выбери из своей группы трёх детей, которым ты хотел бы подарить эти предметы, назови их и отдай им эти предметы. Самый привлекательный предмет ты должен отдать тому, кого любишь больше всех, чуть менее привлекательный — тому, кто у тебя стоит на втором месте, а последний — тому, кого по симпатиям к нему ты поставил бы на третье место».

Методика «Два домика»

Цель исследования: определить круг значимого общения ребенка, особенности взаимоотношений в группе, выявление симпатий к членам группы.

Методика предназначена для обследования детей 4 -7 лет.

Проведение исследования: Исследование проводится строго индивидуально.

Ребенку предлагается рисунок двух домиков, один из которых красивый, красный, большой, а другой — маленький, черный и невзрачный (Приложение 1.).

Его просят представить, что красный дом принадлежит ему и туда можно приглашать своих друзей и всех, кого захочешь. «Подумай, кого из ребят твоей группы ты бы пригласил к себе пожить, а кого поселил бы подальше от себя, в черный дом». Число детских выборов не ограничивается. После окончания беседы ребенку предлагается подумать, не забыл ли он кого-нибудь и не хочет ли поменять кого-то местами.


2.2 Анализ результатов исследования

1.  Методика «Выбор в действии» Целью данной методики было определить круг значимого общения ребенка, особенности взаимоотношений в группе, выявление симпатий к членам группы. Результаты обследования детей с нарушениями слуха (первая группа) приводятся в таблице 1.

 

п/п

Кто выбирает Кого выбирают
1 2 3 4 5
1 Анастасия П. (1) 2
2 Диана М. (1) 2
3 Макар С. (1)
4 Максим В. (1)
5 Полина З. 1 2 3

Условные обозначения:

1-  первый выбор;

2-  второй выбор;

3-  третий выбор; ()- взаимовыбор.

Результаты обследования детей, имеющих сохранный слух (вторая группа) приводятся в таблице 2.

п/п

Кто выбирает Кого выбирают
1 2 3 4 5
1 Алина С. (1) 2 3
2 Диана П. (1) 3 2
3 Иван Н. 3 (1) 2
4 Никита Т. 3 (1) 2
5 Ольга Ч. 2 1 3

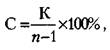
В соответствии с количеством полученных предметов определяется социометрический статус ребёнка в группе при помощи следующей формулы:


где С - статус ребёнка в группе, в системе взаимоотношений со сверстниками; К — количество привлекательных предметов, полученных ребёнком от товарищей по группе; п — количество детей в тестируемой группе.

Оценка результатов:

10 баллов — показатель С ребёнка равен 100%.

8-9 баллов — показатель С находится в пределах от 80% до 99%.

6-7 баллов — показатель С располагается в интервале от 60% до 79%.

4-5 баллов — показатель С находится в пределах от 40% до 59%.

2-3 балла — показатель С располагается в пределах от 20% до 39%.

0-1 балл — показатель С находится в интервале от 0% до 19%.

Выводы об уровне развития

10 баллов  — очень высокий.

8-9 баллов — высокий.

4-7 баллов — средний.

2-3 балла   — низкий.

0-1 балл     — очень низкий.

Первая группа испытуемых: 4 испытуемых получили от 4-7 баллов, что свидетельствует о среднем социометрический статусе ребёнка- 80%. 1 испытуемый получил 2 балла, что свидетельствует о низком социометрическом статусе – 20%.

Вторая группа испытуемых: 2 испытуемых получили от 8-9 баллов, что свидетельствует о высоком уровне статуса детей- 40%; 3 испытуемых получили от 4 до 7 баллов, что свидетельствует о среднем уровне статуса детей- 60%.

Методика «Два домика» Целью данной методики было определить круг значимого общения ребенка, особенности взаимоотношений в группе, выявление симпатий к членам группы. Результаты обследования детей с нарушениями слуха (первая группа) приводятся в таблице 1.

п/п

Кто выбирает Кого выбирают
1 2 3 4 5
1 Анастасия П. (+) [―] (+)
2 Диана М. (+) +
3 Макар С. (+) [―]
4 Максим В. [―] (+) [―]
5 Полина З. (+) [―] [―]

 

Полученные выборы «+» 1

«―» 1 1 1

Взаимовыборы (+) 2 1 1 1 1

[―] 1 1 2 2

Условные обозначения:

+ положительный выбор (ответ на первый вопрос)

 – отрицательный выбор (ответ на второй вопрос)

 () – положительный взаимовыбор

[ ] – отрицательный взаимовыбор

Результаты обследования детей, имеющих сохранный слух (вторая группа) приводятся в таблице 2

п/п

Кто выбирает Кого выбирают
1 2 3 4 5
1 Алина С. (+) [―] +
2 Диана П. (+) + (+)
3 Иван Н. [―] + (+) +
4 Никита Т. (+) +
5 Ольга Ч. + (+)

Полученные выборы «+» 1 1 2 2

 «―» 1

Взаимовыборы (+) 1 2 1 1 1

[―] 1 1

Оценка результатов:

Сумма отрицательных и положительных ответов, полученных каждым ребенком, позволяет выявить его положение в группе (социометрический статус). Выделяют следующие типы социометрического статуса:

1. “Популярные” (“звезды”) – дети, получившие в 2 раза больше положительных выборов от средней суммы положительных выборов.

2. “Предпочитаемые” – дети, получившие среднее и выше среднего значения положительного выбора (до уровня показателя “звезды”).

3. “Пренебрегаемые” – дети, получившие меньше среднего значения положительного выбора.

4. “Изолированные” – дети, не получившие ни положительных, ни отрицательных выборов (то есть остаются незамеченными своими сверстниками).

5. “Отвергаемые” – дети, получившие только отрицательные выборы.

Первая группа испытуемых: К типу социометрического статуса “предпочитаемые”, относятся два испытуемых, которые получили среднее значение положительного выбора- 40%. 3 испытуемых относятся к типу “пренебрегаемые ” дети, получившие меньше среднего значения положительного выбора-60%.

Опираясь на данные социометрии, можно судить об низком уровне благополучия взаимоотношений, так как в группе большее количество детей имеет неблагоприятный статус. Низкий УБВ означает неблагополучие большинства детей группы в системе межличностных отношений, их неудовлетворенность в общении, признании сверстниками.

Вторая группа испытуемых: К типу социометрического статуса “популярные” (“звезды”) относится три испытуемых, получивший в 2 раза больше положительных выборов от средней суммы положительных выборов -60%. 1 испытуемый относится к типу “предпочитаемые дети”- 20%, 1 испытуемый к типу “пренебрегаемые дети”-20%.

Опираясь на данные социометрии, можно судить о высоком уровне благополучия взаимоотношений группы, так как большинство детей группы оказывается в благоприятных статусных категориях.

Таким образом, в сравнении с группой детей, имеющих сохранный слух, большая часть детей, имеющих нарушения слуха имеют более низкий социометрический статус.

Для предупреждения трудностей в дальнейшем развитии и обучении детей необходимо определить путь коррекционного воздействия.

2.3 Методические рекомендации по формированию межличностных отношений детей старшего дошкольного возраста с нарушенным слухом

Отношение ребенка к сверстнику можно увидеть в действиях направленных на него, которые ребенок проявляет в различных видах деятельности. Особое внимание необходимо обратить на ведущий вид деятельности детей дошкольного возраста – игровую деятельность.

Одним из главных методов, является подвижная игра. Подвижная игра является ведущим методом как физического, так и всестороннего воспитания.

Она оказывает всесторонне воздействие на ребенка дошкольного возраста. Играя, дети познают окружающий мир, себя и сверстников, свое тело, изобретают, творят окружающее, а так же устанавливают отношения со сверстниками, при этом развиваются гармонично и целостно.

Именно подвижная игра выступает, способствует формированию межличностных отношений и общению между сверстниками, умственному развитию ребенка, совершенствованию познавательных процессов, развитию творческой активности детей.

 Подвижная игра – сложная эмоциональная деятельность детей, активные движения, обусловленные содержанием игры, вызывают у детей положительные эмоции.

Подвижные игры создают атмосферу радости, активные движения, обусловленные содержанием игры, вызывают у детей положительные эмоции. Именно подвижные игры создают эффективные условия для развития межличностных отношений ребенка дошкольного возраста. В подвижных играх ребенок может проявить свое бескорыстное желание помочь сверстнику, подарить или уступить ему безоценочную эмоциональную вовлеченность в его действиях, все эти действия могут, свидетельствует о том, что ровесник стал для ребенка не только предметом сравнения с собой, но и самоценной целостной личностью.

Межличностные отношения детей дошкольного возраста формируется наиболее эффективно, когда целенаправленным педагогическим средством выступает подвижная игра, в ней ребенок овладевает правилами взаимоотношений со сверстниками, усваивает мораль общества, в котором он живет, таким образом, способствует взаимоотношению детей.

Организация работы по оптимизации межличностных отношений детей дошкольного возраста в подвижных играх.

Подвижные игры имеют большое значение для всестороннего, гармоничного развития детей дошкольного возраста. Участие дошкольников в подвижной игре позволяет установить доброжелательные и позитивные межличностные отношения.

 Предложенные игры рекомендуется применять в первую половину дня: на утренней гимнастике, на комбинированном занятии, и во вторую половину дня: в свободной деятельности детей.

 Были использованы следующие методы и приемы: показ и демонстрация игры, объяснение ее правил, беседа с детьми о результатах игры; метод наблюдения. Целью подвижных игр и занятий является формирование межличностных отношений детей дошкольного возраста.

“Мышеловка”

Дети распределяются на две группы. Одна образует круг – мышеловку. Остальные изображают мышей и находятся вне круга. Дети изображающие мышеловку берутся за руки, идут по кругу влево (вправо) приговаривая:

Ах, как мыши надоели

Развелось их просто страсть,

Все погрызли и поели,

Всюду лезут – вот напасть.

Берегитесь же плутовки,

Доберемся мы до вас

Вот поставим мышеловки.

Переловим всех за раз!

По мере произнесения слов дети-мыши вбегают в круг, подлезая под сцепленные руки детей, идущих по кругу, выбегают из круга. По окончании слов мышеловка закрывается – дети опускают руки, кто остался в кругу считается пойманным. Они встают в круг – мышеловка увеличивается. Игра повторяется.

“Цветные автомобили”

Дети располагаются на одной стороне площадки (зала), они автомобили. Каждому дают цветной круг – руль (обруч). В руках у водящего (педагог) два цветных флажка. Он поднимает флажок зеленого цвета – и дети, имеющие кружок соответствующего цвета разбегаются по всей площадке в любом направлении.

Они гуляют, подражая автомобилю. Педагог поднимает флажок другого цвета, например синего, - и дети второй группы также разбегаются. Через некоторое время флажки опускаются вниз и играющие останавливаются. Игра повторяется. Предварительно педагог дает указания – бегать в разных направлениях и, не наталкиваясь друг на друга, иначе будет авария.

“Большой мяч”

Для игры нужен большой мяч. Играющие становятся в круг и берутся за руки. Водящий с мячом находится в середине круга. Он старается выкатить мяч из круга ногами, и тот, кто пропустил мяч между ног, становится водящим. Но он встает за кругом. Играющие поворачиваются спиной к центру. Теперь водящему нужно вкатить мяч в круг. Когда же мяч попадает в круг, играющие опять поворачиваются лицом друг к другу, а в середину встает тот, кто пропустил мяч. Играющие не берут мяч в руки в течение всей игры, они перекатывают его только ногами.

Поезда”

Организуется две команды по 5-7 человек. Взяв друг друга за пояс, по сигналу воспитателя игроки обеих команд начинают движение от стартовой черты. Ведущие каждой команды перед выполнением нового вида движения изображают гудки поезда.

1. Ходьба по рельсам – по двум параллельным извилистым линиям, след в след.

 2. Бег за ведущим со сменой направления между препятствиями (кеглями, флажками, мячами).

3.Ходьба по лежащему на полу мосту-бревну высотой 10-15 см.

Побеждает команда, первой прибывшая к финишу.

“Хитрая лиса”

Дети идут по кругу, произнося:

Ходит, бродит вдоль села

Плутовка – рыжая лиса.

Как ее нам увидать?

Лап плутовки избежать?

Воспитатель незаметно дотрагиваются до ребенка, который становиться Хитрой лисой.

Дети хором произносят: “Хитрая лиса, где ты?”

Хитрая лиса выбегает в центр с возгласом: “Я здесь!”. Все играющие разбегаются по площадке врассыпную, лиса их ловит, дотрагиваясь до убегающего рукой. Пойманные лисой игроки становятся лисятами. И тоже ловят убегающих, но, не дотрагиваясь до них, а крепко обхватывая двумя руками. Победителем оказывается последний пойманный ребенок. В повторной игре победитель становится хитрой лисой.

Выводы

В ходе проведения эксперимента было выявлено, что дети имеющие нарушения слуха имеют более низкий социометрический статус в сравнении с детьми, имеющих сохранный слух. В связи с этим учитывая ведущую деятельность детей дошкольного возраста, следует сказать о необходимости использования игровых методов по формированию межличностных отношений детей старшего дошкольного возраста с нарушенным слухом. В частности, одним из главных методов, является подвижная игра. Именно подвижная игра выступает, способствует формированию межличностных отношений и общению между сверстниками, умственному развитию ребенка, совершенствованию познавательных процессов, развитию творческой активности детей.


Заключение

Своеобразие протекания процесса социализации отрицательно сказывается на формировании коммуникативной компетентности неслышащего индивида, в том числе на характере межличностных отношений. Нарушение слуха- социальный дефект, он сужает межличностные контакты и с глухими сверстниками и со слышащим социумом, что в свою очередь ведет к обеднению опыта общения, замедленному формированию социально зрелых межличностных отношений.

А в связи с своеобразием психического и интеллектуального развития слабослышащих детей, характер и способность к позитивным межличностным отношениям отличаются у них от с детей с сохранным слухом, поэтому цель социализации, а значит и формирование социально зрелых межличностных отношений, становится более значимой.

В этой работе изучила особенности межличностных отношений детей различных категорий (с нормальным слухом, с нарушениями слуха,); выделила параметры, характеризующие качество межличностных отношений, подобрала методики для диагностики, методические рекомендации по формированию межличностных отношений детей старшего дошкольного возраста с нарушенным слухом.


Литература

1. Андреева Г. М. Социальная психология. М., 1980.

2. Белинский В. Л. Особенности личных взаимоотношений между учащимися старших классов школы глухих. // Вопросы сурдопедагогики. М., 1972.

3. Богданова Т. Г. Сурдопсихология. М., 2002.

4. Богданова Т. Г., Антонова Г. А. Особенности межличностных отношений глухих старшеклассников. // Пути интенсификации изучения, обучения и воспитания детей с недостатками слуха. М., 1986.

5. Боскис Р.М. - Глухие и слабослышащие дети. М., 2004.

6. Вийтар Э. А. Особенности понимания дружеских отношений у слабослышащих школьников. // Исследование личности детей с нарушениями слуха. М., 1985.

7. Волков К. Н. Психологии о педагогических проблемах. М., 1981.

8. Выготский Л. С. Основы дефектологии СПб., М., Краснодар, 2003.

9. Герасименко Ю. А., Карпова Г. А. Межличностные отношения учащихся с нарушениями слуха: диагностика и коррекция: Монография / Урал. 2004.

10. Дьячков А. И. Воспитание и обучение глухонемых детей. М., 1957.

11. Зайцева Г. Л. Жестовая речь. Дактилология. М., 1992.

12. Зайцева Г. Л. Современные научные подходы к образованию детей с недостатками слуха: основные идеи и перспективы. // Дефектология, 1995 №3.

13. Кардаш Л. А. Педагогическое взаимодействие коррекционного учреждения и семьи в реабилитации детей с нарушениями слуха.: Дис…канд. пед. наук / Кардаш Л.А.-Екатеринбург: б.и., 2005.

14. Киричук А. В. Опыт социально-педагогического изучения положения ребенка в системе коллективных отношений. // Ребенок в системе коллективных отношений. М., 1972.

15. Коломинский Я. Л. Психология взаимоотношений в малых группах.-Мн.: Тетра Системс, 2000.

16. Лапин Н. И. Человек в трудовом коллективе. // Социология и идеология. М., 1969.

17. Леве А. Развитие слуха у неслышащих детей: история, методы, возможности (перевод с нем.). М., 2003.

18. Мухина В. С. Детская психология. СПб., 1992.

19. Немов Р.С. Кн. 3. Психодиагностика. 2001, 4-е изд., 640с.

20. Никитина М. И. Воспитание младших школьников с нарушениями слуха. М., 1996.

21. Петшак В. Исследование эмоциональных отношений глухих школьников к членам семьи. // Дефектология, 1990 №6.

22. Пуйк Т. Э. Особенности оценки и самооценки социально значимых черт личности у глухих школьников. // Исследование личности детей с нарушениями слуха. М., 1988.

23. Речицкая Е. Г., Пархалина Е. В. Готовность слабослышащих детей дошкольного возраста к обучению в школе. М., 2000.

24. Сабуров В. В. Технологическая модель подготовки родителей для повышения коррекционной направленности воспитания в семье детей с нарушениями интеллекта и пути ее реализации: Дис…канд. пед. наук / Урал. гос. пед. ун-т.- Екатеринбург, 1999.

25. Смирнова А. Н. Межличностные отношения дошкольников: Диагностика, проблемы, коррекция. — 2005

26. Сурдопедагогика. / Под. ред. М. И. Никитиной. М., 1989.

27. Сухомлинский В. А. Методика воспитания коллектива. М., 1981.

28. Флери В. И. Глухонемые, рассматриваемые в отношении к способам образования, самым свойственным их природе. СПб. 1935.

29. Фопель К. Как научить детей сотрудничать? Психологические игры и упражнения. М., 2001.

30. Цукерман И. В. Глухота и проблема общения. Л., 1980.

31. Шибутани Т. Социальная психология. М., 1969.

32. Шматко Н. Д., Пелымская Т.В. Если малыш не слышит. М., 1995.

33. Янн П. А. Воспитание и обучение глухого ребенка. Сурдопедагогика как наука .М., 2003.


© 2012 Рефераты, доклады и дипломные работы, курсовые работы бесплатно.