рефераты
Главная

Рефераты по международному публичному праву

Рефераты по международному частному праву

Рефераты по международным отношениям

Рефераты по культуре и искусству

Рефераты по менеджменту

Рефераты по металлургии

Рефераты по муниципальному праву

Рефераты по налогообложению

Рефераты по оккультизму и уфологии

Рефераты по педагогике

Рефераты по политологии

Рефераты по праву

Биографии

Рефераты по предпринимательству

Рефераты по психологии

Рефераты по радиоэлектронике

Рефераты по риторике

Рефераты по социологии

Рефераты по статистике

Рефераты по страхованию

Рефераты по строительству

Рефераты по таможенной системе

Сочинения по литературе и русскому языку

Рефераты по теории государства и права

Рефераты по теории организации

Рефераты по теплотехнике

Рефераты по технологии

Рефераты по товароведению

Рефераты по транспорту

Рефераты по трудовому праву

Рефераты по туризму

Рефераты по уголовному праву и процессу

Рефераты по управлению

Контрольная работа: Система оценки качества образования

Контрольная работа: Система оценки качества образования

Вариант 1

1.Под качеством образования понимается

а) характеристика системы образования, отражающая степень соответствия реально достигаемых образовательных результатов нормативным требованиям, социальным и личностным ожиданиям;

б) количественный показатель, соответствующий числу положительных оценок за какую – либо работу или количеству «хорошистов» и «отличников» в конце четверти или года;

в) конечный продукт обучения в элитном образовательном учреждении, услуги которого высоко оценены социумом и соответствующими и контролирующими структурами;

г) знания, умения и навыки, приобретаемые учениками в процессе обучения и используемые ими в повседневной жизни.

2.Компетенция в переводе с латинского означает

а) способность приобретать знания;

б) умение выполнять какую – либо работу;

в) круг вопросов, в которых человек хорошо осведомлен;

г) список умений.

3.Советом Европы были приняты ключевые компетенции, к которым относятся компетенции:

а) проявляющиеся в умении писать и думать;

б) выявляющие способности к учению, исследованию, думанию, общению, кооперации, взаимодействию, умению делать дело и доводить его до конца, адаптироваться к себе, принимать себя;

в) политические, социальные, межкультурные, коммуникативные, информационные и учебные;

г) общенаучные,предметные, общепрофессиональные, познавательные, междисциплинарные, деятельностные.

4.К учебным компетенциям относятся:

а) понимание различий между людьми;

б) способность брать на себя ответственность;

в) владение несколькими языками;

г) способность учиться всю жизнь.

5.ОСОКО расшифровывается как

а) общероссийская система оценки качества образования;

б) особенности системы общего контроля обучения;

в) общие социальные основы качественного обучения;

г) основы системы оценивания классического образования.

6.Основными элементами или подсистемами ОСОКО являются:

а) информационная. экспертная и правовая;

б) государственная, частно – предпринимательская и индивидуальная;

в) диагностическая, мониторинговая и экспертная;

г) основная, средне - специальная и высшая.

7.Ученику было предложено выполнить задание:

Функция y = f (x) определена на промежутке (-5;6). На рисунке изображен график ее производной. При каком х функция y=f(x) принимает наибольшее значение?

Ученик ответил: « х = -2». Верно ли ответил ученик? В бланке ответов укажите свой вариант верного ответа. При выполнении этого задания ученик может продемонстрировать наличие ключевых компетентностей:

а) умение выявлять и использовать аналогии, выдвигать и проверять гипотезы;

б) оценивание задачи как подходящей под данный способ действия или выходящей за границы способа;

в) умение находить информацию, заданную в явном или неявном виде;

г) определение границы собственного знания и незнания и осуществления запроса на недостающую информацию.

8.По определению Л.М. Фридмана контроль – это

качество система образование обучение

а) проверка, надзор;

б) мнение о ценностях, уровне или значении кого или чего – нибудь;

в) процесс сравнения, сличения, установления одинаковости или различий объекта и эталона;

г) разновидность учебной деятельности, которая состоит в определении соответствия учебных действий условиям учебной задачи.

9. По степени взаимодействия учителя и ученика выделяют следующие виды контроля


а) внешний, взаимный, самоконтроль;

б) систематический, эпизодический, итоговый;

в) продуктивный, репродуктивный, реконструктивно – вариаетивный;

г) предварительный, текущий, итоговый.

10. Если функция контроля состоит в сверке полученного решения с имеющимся ответом или образцом такого выполнения, то такой контроль называют

а) пошаговым;

б) итоговым ( контроль по конечному результату);

в) текущим;

г) фронтальным.

11. Если контроль используется для оценки результатов обучения, достигнутых в конце работы над данным курсом, то такой контроль называют

а) предварительным;

б) итоговым;

в) текущим;

г) фронтальным.

12. Противники балльной системы оценивания знаний учащихся предлагали заменить отметки на

а) экзамены;

б) отзывы педагогического коллектива об успехах и неуспехах учеников;

в) оценочные характеристики, собрание работ учащихся;

г) «листы открытого учета знаний».

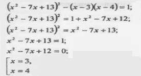
13.Ученику на экзамене в 9 классе было предложено задание: «Решите уравнение (х -7х +13) – ( х – 4) = 1, за правильное выполнение которого можно получить 6 баллов. Учение записал решение в следующем виде

Ответ:3,4.

Данное решение можно оценить на

а) 6 баллов, так как решение выполнено правильно и можно допустить, что часть вычислений ученик провел в уме;

б) 0 баллов, так как допущена грубая ошибка, которая могла бы привести к делению на нуль и потере корней;

в) 2 балла, так как часть вычислений выполнена верно, но имеется грубая ошибка;

г) 4 балла, так как имеются погрешности в оформлении решения.

14. К традиционным формам контроля относятся:

а) мониторинг;

б) рейтинговая система контроля;

в) портфолио;

г) диктант.

15. Синонимом слова «рейтинг» является:

а) подлинная оценка;

б) оценка, учитывающая предысторию;

в) эмоциональная оценка;

г) систематическое наблюдение.

16. По процедуре проведения тесты подразделяются на:

а) стандартизированные и нестандартизированные;

б) критериально – ориентированные и прогностические;

в) открытого и закрытого типа;

г) вербальные, невербальные.

17. Количество дистракторов (ответов) в тестовом задании должно быть:

а) не менее двух;

б) больше трех, но меньше десяти;

в) не более пятнадцати;

г) чем больше, тем лучше.


Список использованных источников

1.Звонников В.И., Челышков М.Б. Современные средства оценивания результатов обучения: учебное пособие для студентов высших учебных заведений. Изд-во Академия ИЦ, 2009

2.Ефремова Н.Ф.Современные тестовые технологии в образовании. -М.,2003

3.Болотов В.А. Основные подходы к созданию общероссийской системы оценки качества образования.-М,2005


© 2012 Рефераты, доклады и дипломные работы, курсовые работы бесплатно.