рефераты
Главная

Рефераты по международному публичному праву

Рефераты по международному частному праву

Рефераты по международным отношениям

Рефераты по культуре и искусству

Рефераты по менеджменту

Рефераты по металлургии

Рефераты по муниципальному праву

Рефераты по налогообложению

Рефераты по оккультизму и уфологии

Рефераты по педагогике

Рефераты по политологии

Рефераты по праву

Биографии

Рефераты по предпринимательству

Рефераты по психологии

Рефераты по радиоэлектронике

Рефераты по риторике

Рефераты по социологии

Рефераты по статистике

Рефераты по страхованию

Рефераты по строительству

Рефераты по таможенной системе

Сочинения по литературе и русскому языку

Рефераты по теории государства и права

Рефераты по теории организации

Рефераты по теплотехнике

Рефераты по технологии

Рефераты по товароведению

Рефераты по транспорту

Рефераты по трудовому праву

Рефераты по туризму

Рефераты по уголовному праву и процессу

Рефераты по управлению

Контрольная работа: Интегрирование и производная функций

Контрольная работа: Интегрирование и производная функций

Задание 1

Осуществить интерполяцию с помощью полинома Ньютона исходных данных из табл. 1 вычислить значение интерполяционного полинома в точке .

Таблица 1

Порядковый номер исходных данных
1 2 3 4 5 6 7 8 9 10
Х 1,415 1,420 1,425 1,430 1,435 1,440 1,445 1,450 1,455 1,460
У 0,888 0,889 0,89 0,891 0,892 0,893 0,894 0,895 0,896 0,897

интерполяция погрешность производная

Решение

Интерполяционный многочлен Ньютона для равноотстоящих узлов записывается в виде

 - конечная разность первого порядка

 - конечная разность К-го порядка.

Таблица конечных разностей для экспериментальных данных:

1 1,415 0,888 0,001 0 0 0 0 0 0 0 0
2 1,420 0,889 0,001 0 0 0 0 0 0 0
3 1,425 0,89 0,001 0 0 0 0 0 0
4 1,430 0,891 0,001 0 0 0 0 0
5 1,435 0,892 0,001 0 0 0 0
6 1,440 0,893 0,001 0 0 0
7 1,445 0,894 0,001 0 0
8 1,450 0,895 0,001 0
9 1,455 0,896 0,001
10 1,460 0,897

.

Задание 2

Уточнить значение корня на заданном интервале тремя итерациями и найти погрешность вычисления.

, [0,4].

Решение

Вычислим первую и вторую производную функции

. Получим  и .

Итерационное уравнение запишется так:

.

В качестве начального приближения возьмем правый конец отрезка .

Проверяем условие сходимости:


 .

Условие сходимости метода Ньютона выполнено.

Таблица значений корня уравнения:

i

1 3,083
2 2,606
3 2,453

Уточненное значение корня .

В качестве оценки абсолютной погрешности полученного результата можно использовать величину

.

Задание 3

Методами треугольников, трапеций и Симпсона вычислить определенный интеграл.

Решение

Метод прямоугольников

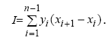
Значение интеграла на интервале определяется следующей формулой:


 слева

 справа

1 0,25 0,2
2 0,2 0,1667
3 0,1667 0,1429
4 0,1429 0,125

0,7595 0,6345

Значение интеграла: .

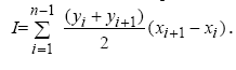
Метод трапеций

Площадь трапеции равняется полусумме оснований, умноженной на высоту, которая равна расстоянию между точками по оси х. интеграл равен сумме площадей всех трапеций.

 

1 0,25
2 0,2
3 0,1667
4 0,1429
5 0,125

Значение интеграла: .

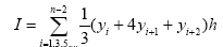
Метод Симпсона

1 0,25
2 0,2
3 0,1667
4 0,1429

Значение интеграла: .

Задание 4

Проинтегрировать уравнение методом Эйлера на интервале [0.2, 1.2] . Начальное условие у(0,2)=0,25.

Решение

Все вычисления удобно представить в виде таблицы:

0 0,2 0,2500 0,2751 0,0688 0,3188
1 0,45 0,3188 0,4091 0,1023 0,4211
2 0,7 0,4211 0,5634 0,1408 0,5619
3 0,95 0,5619 0,7359 0,1840 0,7459
4 1,2 0,7459 0,9318 0,2329

Таким образом, задача решена.

Задание 5

Задача 1. Вычислить сумму и разность комплексных чисел, заданных в показательной форме. Переведя их в алгебраическую форму. Построить операнды и результаты на комплексной плоскости.


Задача 2. Вычислить произведение и частное комплексных чисел. Операнды и результаты изобразить на комплексной плоскости.

Решение

Задача 1.


Задача 2.

Задание 6

Вычислить производную функции f(z) в точке .

Решение

Так как для аналитических функций справедливы все формулы и правила дифференцирования действительного аргумента, то


Задание 7

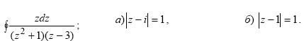
Вычислить интеграл по замкнутым контурам а) и б), считая обход контура в положительном направлении. Нарисовать область интегрирования, указать на рисунке особые точки.

Решение

а)

Подынтегральная функция имеет особые точки: . Тогда интеграл вычистится по следующей формуле:

.

б)


Подынтегральная функция имеет особые точки: . Тогда интеграл вычистится по следующей формуле:

.


© 2012 Рефераты, доклады и дипломные работы, курсовые работы бесплатно.