рефераты
Главная

Рефераты по международному публичному праву

Рефераты по международному частному праву

Рефераты по международным отношениям

Рефераты по культуре и искусству

Рефераты по менеджменту

Рефераты по металлургии

Рефераты по муниципальному праву

Рефераты по налогообложению

Рефераты по оккультизму и уфологии

Рефераты по педагогике

Рефераты по политологии

Рефераты по праву

Биографии

Рефераты по предпринимательству

Рефераты по психологии

Рефераты по радиоэлектронике

Рефераты по риторике

Рефераты по социологии

Рефераты по статистике

Рефераты по страхованию

Рефераты по строительству

Рефераты по таможенной системе

Сочинения по литературе и русскому языку

Рефераты по теории государства и права

Рефераты по теории организации

Рефераты по теплотехнике

Рефераты по технологии

Рефераты по товароведению

Рефераты по транспорту

Рефераты по трудовому праву

Рефераты по туризму

Рефераты по уголовному праву и процессу

Рефераты по управлению

Дипломная работа: Дискуссия и диалог как современные формы образовательного процесса в Российской старшей школе

Дипломная работа: Дискуссия и диалог как современные формы образовательного процесса в Российской старшей школе


Дискуссия и диалог как современные формы образовательного процесса в Российской старшей школе


ОГЛАВЛЕНИЕ

ВВЕДЕНИЕ

ГЛАВА 1. ПРОБЛЕМА СТАРШЕЙ ШКОЛЫ

1.1 Психологические особенности учащихся старшей школы

1.2 Диалогичность общения взрослого и ребенка

ГЛАВА 2. ДИСКУССИЯ И ДИАЛОГ В СОВРЕМЕННОМ ОБРАЗОВАТЕЛЬНОМ ПРОЦЕССЕ

2.1 Дискуссия

2.1.1 Понятие дискуссии

2.1.2 Методика организации дискуссии

2.1.3 Дебаты

2.2 Диалог

2.2.1 Диалог в майевтике Сократа

2.2.2 Содержание понятия диалога

2.2.3 Анализ урока-диалога Курганова С.Ю.

2.3 Выводы (к главе 2)

ЗАКЛЮЧЕНИЕ

СПИСОК ЛИТЕРАТУРЫ

Приложение


ВВЕДЕНИЕ

Актуальность работы.

Одной из социальных проблем в России является дефицит людей, способных проявлять инициативу, принимать ответственные решения, адаптироваться в новом мире, это явление наблюдается и среди молодых людей.

Необходимыми становятся такие качества, которые позволят людям принимать на себя ответственность, понимать, как их работа связана с работой других, быстро адаптироваться к изменившимся обстоятельствам и чувствовать настроение людей вокруг них. Профессиональная и социальная успешность определяется способностями к принятию ответственности, быстрой адаптацией к изменяющимся обстоятельствам, способностью осваивать новые формы мышления и деятельности под решение конкретных задач.

Следующей проблемой является то, что в современном обществе появляются молодые люди, способные к самообразованию, самоопределению (самостоятельному выбору своей деятельности), с активной жизненной позицией, направленной на проектирование своего будущего, а массовое образование (школа, а старшая школа в особенности) на современном этапе развития общества формирует лишь способность воспроизводить получаемые знания и наработанные кем-то, когда-то теоретические основы.

Перед современной системой образования стоит задача оформления новых педагогических технологий, обеспечивающих решение социально-педагогических задач формирования у молодых людей активной, инициативной и ответственной гражданской позиции.

Объектом работы являются образовательные методики, содержащие в себе элементы дискуссии и диалога.

Предметом работы является анализ содержания понятий и образовательных форм "дискуссия" и "диалог".

Целью работы является обоснование необходимости введения систематического использования, при обучении старших школьников, дискуссий и диалогов.

Гипотеза. Применение дискуссии как методики, может использоваться в старшей школе для постановки проблемы, для поиска пути разрешения которой может служить диалог.

Для достижения цели был поставлен ряд задач:

·  анализ литературы, посвященной изучению психологических особенностей учащихся старшей школы;

·  анализ существующих диссертационных исследований;

·  анализ понятий "дискуссия" и "диалог";

·  описание методики проведения занятий и возможных образовательных форм;

·  создание методического обеспечения проведения дискуссий со старшеклассниками.

Практическая значимость работы заключается в возможности использования материала, представленного в данной работе, для подготовки и проведения занятий.

Новизна работы определяется тем, что в проведенных за последние годы исследованиях, имеющих отношение к понятиям "дискуссия" и "диалог", нет исследований, посвященных старшей школе, все внимание уделяется дошкольному, младшему школьному и раннему подростковому возрасту.

Структура выпускной работы. Работа состоит из введения, двух глав, заключения и приложений.

В первой главе рассматриваются психологические особенности учащихся старшей школы и проблемы общения учителя и ученика, а также возможность использования диалога в учебном процессе.

Во второй главе проводится анализ понятий "дискуссия" и "диалог", описывается методика организации дискуссии, анализ методики проведения занятий по программе "Дебаты" и урока – диалога С. Ю. Курганова.

В конце работы приводится список используемой литературы, насчитывающий тридцать наименований, а также три приложения.


ГЛАВА 1. ПРОБЛЕМА СТАРШЕЙ ШКОЛЫ

1.1 Психологические особенности учащихся старшей школы

Возраст юности - один из сложных, наиболее важных и ответственных в плане формирования личности периодов. Это период между подростковым возрастом и взрослостью, в ходе которого должна обеспечиваться возможность вхождения во взрослую жизнь.

Самая важная психологическая характеристика старшеклассника – он одновременно еще ребенок, но уже и становящийся взрослый. Старшеклассник впервые становится "соизмерим" [26], но не равен по множеству психологических характеристик (интеллектуальное, личностное развитие, развитие самосознания) со взрослым.

В рамках культурно-исторической концепции Л.С. Выготского, детализированной идеями Д. Б. Эльконина о ведущей деятельности, возраст рассматривается как эпоха построения личности, определяемая новообразованием, которое определяет сознание индивида, его отношение к среде, его внутреннюю и внешнюю жизнь, его деятельность и весь ход его развития в данный период. Новообразование возраста юности – "чувство взрослости"; это особая форма самосознания, через которое (чувство) юноша сравнивает и отождествляет себя с другими, находит образцы для усвоения, строит свои отношения и перестраивает свою деятельность.

В качестве центральных моментов развития отмечается становление феноменов самосознания в период отрочества и юности, что кардинально изменяет поведение юноши по отношению к себе и миру, поскольку он становится способным самостоятельно осуществлять выбор, опираясь на личностные принципы и ценности и нести за него ответственность.

Одними из важных задач развития в юности являются:

·  формирование ценностно-смысловой сферы и определение своей позиции относительно ценностей данного общества;

·  формирование самостоятельности и независимости в определении жизненных целей и принятия решений в связи с выбором будущей профессии;

·  развитие готовности к жизненному самоопределению (что предполагает достаточный уровень развития самосознания, ценностных представлений, волевой сферы, самостоятельности, ответственности и др.). Оно связано с потребностью формирования смысловой системы, в которой центральное место занимает проблематизация смысла жизни с ориентацией на будущее.

Эмоционально-смысловой доминантой общения юношеского типа является сам старшеклассник как субъект отношений в значимых сферах жизнедеятельности. Содержание и характер общения старшеклассников со всеми категориями партнеров определяются решением проблем, связанных со становлением юношей и их реализацией как субъектов отношений. Характер содержания общения в этом возрасте ценностно-ориентирующий.

Ведущая тематика бесед старшеклассников содержит обсуждение "личных дел" (своих и партнеров), "взаимоотношений людей", "своего прошлого", "планов на будущее" (которые, будучи глубоко личными, неизбежно включают в себя широкий комплекс социальных проблем), "отношений с учителями и родителями" и т.п. В центр обсуждения всей этой проблематики выдвигается "Я" старшеклассника, которое анализируется в общении в самых различных аспектах. [7]

Доминанте юношеского типа общения соответствует появление нового типа диалога, специфичного для юношеского типа общения – исповедного. Юношескому типу свойственны и все остальные типы диалогов – фактический, информационный, дискуссионный. В ранней юности важный смысл приобретает коммуникативное уединение, в котором старшеклассники общаются с неким идеальным партнером, со своим "Я", с представляемыми реальными лицами из своего окружения или с лицами, общение с которыми им недоступно либо в силу статусных различий, либо в силу исторической дистанции. В уединении юноши и девушки проигрывают роли, которые им недоступны в реальной жизни. Они делают это как в играх-грезах, так и в мечтах. Отличие юношеских игр-грез от подростковых состоит в том, что они по преимуществу рефлексивны и социальны. Уединение в ранней юности в процессе игр-грез и мечтаний реализует такие функции как: познавательная, рефлексивная, продуктивно-репродуктивная, адаптивная, компенсаторная и целеполагающая.

Ценнейшее психологическое приобретение ранней юности - открытие своего внутреннего мира. Для ребенка единственной сознаваемой реальностью является внешний мир, куда он проецирует и свою фантазию. Вполне сознавая свои поступки, ребенок обычно еще не осознает собственных состояний. Напротив, для подростка внешний, физический мир только одна из возможностей субъективного опыта, сосредоточением которого является он сам. Он начинает воспринимать и осмысливать свои эмоции уже не как производные от каких-то внешних событий, а как состояния своего собственного "Я". Становление нового уровня самосознания в ранней юности идет по направлениям, выделенным еще Л.С. Выготским, - интегрированию образа самого себя, "перемещению извне вовнутрь". [26] В этот возрастной период происходит смена некоторого "объективистского" взгляда на себя "извне" на субъективную, динамическую позицию "изнутри".

Происходит некоторое включение индивида в общество взрослых. Более конкретно подобное включение обозначает следующее: подросток начинает считать себя равным взрослому; он начинает думать о будущем и строить "жизненные планы"; он ставит своей целью преобразование общества взрослых, в котором ему предстоит жить; у подростка появляется относительно устойчивые представления о себе как цельной личности, отличной от других людей как личностей (Выготский).

"Юношам свойственен поиск истины. Они находятся в поиске истины повсюду и во всем: в точности н6аучного и технического метода и в искренности повиновения; в достоверности исторических описаний и в честности игры; в подлинности художественного произведения, высокой точности репродукции и в истинности убеждений, надежности обязательств". [10]

На основе всего вышесказанного можно сделать следующий вывод: основным в процессе образования старшеклассников является их самоопределение, формирование их личной и профессиональной позиции, соотнесенной с социальным и культурно-историческим контекстом. Оно включает в себя ломку стереотипов привычных способов деятельностей, проблематизацию ценностей и целей, овладение способами анализа собственной деятельности.

1.2 Диалогичность общения взрослого и ребенка

В педагогике накоплен огромный потенциал исследования процессов обучения и воспитания, разработки целого ряда дидактических систем. Однако следует отметить явное отставание педагогической науки от требований проблем выживания, экологии сознания человека, формирования установок и готовности личности взять на себя ответственность за весь комплекс социоприродного развития. [15]

В большинстве школ детям не представлена возможность общаться с учителем на таком уровне, чтобы школьники могли разговаривать с учителем на не учебные темы. Учитель задает такую рамку, что у школьника просто не возникает стремления к неформальному общению ним (учителем). Вследствие этого, те ограничения (в плане поведения и общения), которые существуют в школе не позволяют ученикам задумываться о существенных вещах, присущих возрасту старшеклассника (будущее, профессия, общение со взрослым, со сверстниками), и тем более не позволяют открыто обсуждать их даже в кругу сверстников (т.к. подростки не узнают посредством школы тех культурных способов, используя которые можно общаться на подобные темы).

Диалогическое же общение предполагает единство и общность, равноправие и доверительность отношений участников, эмоциональную и личностную их открытость друг другу, реальное согласие и сотрудничество взрослого и ребенка. В этом смысле диалогическое общение является оптимальным условием эффективного процесса и высшим уровнем развития педагогического общения.

В поведении взрослого всегда отчетливо просматриваются два основных стиля взаимодействия – монологический и диалогический. Характерными особенностями диалогического стиля являются: учет мнения ребенка, его знаний и опыта в процессе взаимодействия, предпочтение эмоциональности воздействия безукоризненности формулировок и последовательности аргументации, легкость вступления в дискуссию с ребенком, готовность принять мнение ребенка, способность предвидеть наличие таких мнений и оценок.

За этими особенностями поведения стоит доверительное отношение к ученику как к личности, стремление взрослого обогатиться в общении, помочь ребенку понять себя.

Диалогические формы общения в воспитании и обучении предпочтительны, поскольку отражают демократический дух нашего времени, дают возможность каждому ребенку понять и принять себя как личность, что соответствует установкам современной гуманистической парадигмы в образовании.

Психологический анализ диалогических форм и стилей педагогического общения, а также их продуктивности в процессе обучения и воспитания предполагает выявление факторов, мешающих реализации диалога в обучении, а также исследование условий, способствующих укреплению диалогической направленности педагога в учебном взаимодействии. Следует вести анализ педагогического общения взрослого и ребенка, т.к. диалогические формы общения и воспитания пока не стали преобладающими в системе образования. [15]

Анализ диалогических форм в старшей школе можно считать проблемным в связи с тем, что проводимые за последние пять лет диссертационные исследования (прил. 1) Артеменковой Л.Ф, Байтматовой М.С., Голубевой Ю.И., Горбич О.И., Кувариной Н.В., Песняевой Н.В. не направлены на старший школьный возраст и затрагивают только такие возраста как старший дошкольный, младший школьный и младший подростковый.

Диалогичность общения ребенка и взрослого, кроме формирования предпосылок к обучению, позволяет ребенку обрести опыт анализа межличностных отношений и групповой динамики; школьники начинают лучше распознавать собственные и чужие потребности, расширяют диапазон своих поведенческих возможностей, становятся более подготовленными к решению жизненных проблем, вырабатывают адекватную самооценку, становятся более восприимчивыми к чувствам других людей. [15]

Диалогичность общения взрослого и ребенка должна рассматриваться как условие их сотрудничества. Тогда результатом такого сотрудничества будет являться установление эмоциональных контактов и эмоциональное развитие отношений ученика и учителя.


ГЛАВА 2. ДИСКУССИЯ И ДИАЛОГ В СОВРЕМЕННОМ ОБРАЗОВАТЕЛЬНОМ ПРОЦЕССЕ

2.1 Дискуссия

"Мы находим несколько решений одного и того же вопроса не столько потому, что наш ум очень плодовит, сколько потому, что он не очень прозорлив и, вместо того чтобы остановиться на самом лучшем решении, представляет нам без разбора все возможности сразу" (Ларошфуко). Скорее всего, это высказывание в первую очередь относится к дискуссии. Но так ли прав автор, говоря, что много позиций сразу – это плохо? И как выбрать "самое лучшее решение", если не представляешь себе всех остальных. Именно поэтому дискуссия является важнейшим элементом общественной жизни и инструментом принятия решения. [36]

2.1.1 Понятие дискуссии

В толковом словаре русского языка [23] и словаре иностранных слов [22] встречается определение слова "дискуссия", но, не смотря на то, что словари разные, определения этого слова почти ничем не отличаются друг от друга:

"Дискуссия – свободное публичное обсуждение какого-либо спорного вопроса"; "Дискуссия – обсуждение какого-либо спорного вопроса на собрании, в печати, в беседе; спор".

Если их объединить в одно общее и дополнить, получится вот что:

"Дискуссия (от лат. discussio, disputare - рассмотрение, рассуждение, спор). Дискуссия - вид диалогической речи, публичный спор на научную или разговорно-бытовую тему. Дискуссия характеризуется большим количеством участников, выражающих различные мнения и суждения по одному и тому же вопросу. Обязательным условием является наличие какого-либо спорного вопроса, проблемы. Дискуссия может проходить в форме диалога, когда партнеры дополняют друг друга, и в форме спора, когда они отстаивают свои точки зрения. Как правило, в дискуссии присутствуют оба элемента в той или иной степени". [24]

Основной смысл "дискуссии" заключается в рассмотрении, исследовании какого либо вопроса. Смысл дискуссии как метода заключается в коллективном обсуждении какого-либо вопроса, проблемы в форме сопоставления идей, мнений, предложений.

Дискуссия - это форма, которая может ставить различного рода цели: исследование и постановка проблемы, обучение приемам ведения дискуссии, стимулирование творчества и т.д.

Выделяют два основных значения слова "дискуссия":

1. Способ организации совместной деятельности с целью интенсификации процесса принятия решения в группе.

2. Метод обучения, повышающий интенсивность и эффективность учебного процесса за счет активного включения обучаемых в коллективный поиск решения.

Данная методика увеличивает включенность учащихся в реализацию групповых решений путем возложения и принятия ответственности; повышает эффективность и заинтересованность путем предоставления им возможности проявить компетентность и удовлетворить свои потребности в признании и уважении.

Наше понимание дискуссии немного отличается от приведенного. Дискуссия понимается нами как способ, метод постановки проблемы, интересующей школьника, это, своего рода исследование проблемного поля.

2.1.2 Методика организации дискуссии

Общественные дисциплины в школе призваны сформировать у детей мировоззрение, под которым понимается система взглядов на объективный мир и место человека в нем. Наряду с системой взглядов, мировоззрение включает убеждения, идеалы, ценности, жизненные принципы – одним словом все то, что определяет развитие личности. [11]

Процесс формирования мировоззрения в рамках школы обладает рядом недостатков, важнейшими из которых являются следующие:

·  существующие занятия направлены лишь на получение информации в различных областях

·  в существующей системе обучения отсутствует широкий обмен мнениями, и это не способствует выработке умения отстаивать свою позицию по какой-либо проблеме.

Это не способствует формированию убеждений и принципов.

Решение этих проблем возможно в рамках организации занятий в форме дискуссии.

Существуют различные формы организации дискуссии:

·  "производственные совещания";

·  мозговые штурмы

·  опрос (беседа, интервью);

·  диспут (публичный спор на какую-либо тему при наличии основных докладчиков);

·  дебаты (прения, обмен мнениями, выработка аргументов и контраргументов);

·  дискуссия в аквариуме (класс делится на две группы – одни непосредственно принимают участие в обсуждении вопроса, а другие следят за соблюдением правил обсуждения) и др. [36]

·  мастерская на занятиях по таким предметам как этика, история,

в которой на основе полученных навыков ведения дискуссии ученики под руководством учителя осуществляют обмен информацией, мнениями, учатся отстаивать свои точки зрения. Эта форма способствует формированию знаний в различных областях и ведет к выработке позиции. [11]

В правильно организованной дискуссии происходит не только обмен информацией, наряду с этим участники могут отстаивать свою позицию, опровергать чужое мнение, корректировать свою и чужую точку зрения. Таким образом, создается новая информация, возможны инновационные решения, формируется знание. В связи с этим возникает проблема овладения приемами доказательства, что позволяет обосновать истинность одной мысли с помощью уже известных положений. Логическое доказательство, механизм которого строится на трех взаимосвязанных между собой элементах (тезис, довод, способ доказательства), становится также элементом дискуссии.

Мы выделяем три основные фазы проведения дискуссии:

·  подготовительная (в этой фазе рассматриваются варианты различных вопросов, тем, интересующих школьника, их дискутивность, школьники предлагают возможные варианты тем, их формулировки, если в оформлении конечного результата появляются затруднения, учитель может помочь оформить окончательный вариант темы);

·  разворачивание реальной дискуссии (также сюда возможно включение различных элементов вышеперечисленных форм);

·  оформление результата, выявление проблемы (на этом этапе происходит оформление и формулировка проблемы, дискуссия заканчивается).

Первый шаг в организации дискуссии – формулировка темы. Для этого должны быть выявлены идеи или проблемы, которые представляют интерес для участников дискуссии.

Во-вторых, очень важно, чтобы тема была хорошо сформулирована. Она должна быть актуальной для участников, затрагивать их проблемы. Очень важно, чтобы тема не задавалась извне, а школьники сами предлагали то, о чем хотели бы поговорить. Это предполагает формирование самостоятельности и независимости в определении жизненных целей и принятия решений в связи с выбором будущей профессии. Для старшеклассников важен процесс авторского (самостоятельного и ответственного) отношения к собственному образованию, именно поэтому они обсуждают проблему выбора. Формально это проявляется, например, в необходимости выбора профессии, содержательно – в испытании на себе различных способов поведения, ценностей, определяющих жизнь взрослого человека.

Тема должна провоцировать интерес, давать одинаковые возможности участникам дискуссии в представлении своих мнений, иметь четкую формулировку, стимулировать исследовательскую работу.

Проведение дискуссии должно осуществляться по заранее подготовленным правилам. Очень важно предварительно выработать правила ведения дискуссии. Лучше всего, если это станет предметом обсуждения в классе, а не будет предложено учителем в готовом виде. Вместе с тем, уже существует ряд правил, предложенных в работе "Фонд Фридриха Науманна" [25], которые можно использовать наряду с теми, которые установят для себя школьники:

·  Не допускать выпадов против личности.

·  Высказываться четко, кратко и по теме обсуждения.

·  Дать высказаться всем желающим, уважительно относиться к любой точке зрения.

·  Внимательно слушать друг друга, не говорить одновременно.

·  Постараться проанализировать разные точки зрения.

·  Не допускать излишнюю эмоциональность.

·  Не повторяться, продвигать дискуссию дальше через выдвижение новых идей, сообщение новой информации.

При проведении дискуссии можно ставить такие цели как развитие толерантности и уважительного отношения к различным взглядам, партнерского общения и умения работать в команде.

В ходе дискуссии, какой бы из ее видов не выбрал учитель, школьники могут приобрести:

·  определенные знания (в зависимости от темы дискуссии могут быть подготовлены статистические сведения, предложено ознакомиться с материалами периодической печати, обращено внимание на исторические аспекты, а также выявлен круг социально-политических или других проблем с возможными подходами к их решению),

·  умения и навыки (коммуникативные, высказывания собственного мнения, аргументации своей позиции, анализа ситуации, выделения наиболее важного, выступления, нахождения контраргументов в споре, цивилизованного ведения дискуссии),

·  личностные качества (взаимопомощь, терпимость к другим позициям и мнениям – толерантность, умение слушать товарищей, уважение их взглядов, свободное выражение собственной позиции, противостояние давлению окружающих). [9]

Вместе с тем, при организации дискуссии преподаватель может столкнуться с рядом некоторых трудностей, среди которых: слабые навыки разговорной речи у учащихся, соревновательный уклон и стремление непременно победить в споре, нетерпимость к другим мнениям и взглядам, чрезмерная эмоциональность, формальность обсуждения проблемы, недостаточность знаний по заявленной теме, крайности во мнениях – нигилизм или полное отсутствие критичности, неумение распределить время, доминирование отдельных учащихся в ходе дискуссии. Помочь решить или немного сгладить эти проблемы, направив участника в нужное русло, может ведущий, роль которого может взять на себя учитель.

Роль ведущего в дискуссии весьма важна, так как многое в ходе дискуссии, да и в конечном результате зависит от личности человека, исполняющего эту роль. Главное, что четко должен представлять себе ведущий – это обсуждаемая тема. Важны такие качества ведущего, как гибкость в поведении и способность адаптироваться к аудитории. Он должен быть нейтральным и беспристрастным, чтобы помочь участникам дискуссии достигнуть общей цели. Полномочия ведущего очень весомы. Контролируя процесс, он контролирует результат.

Эта роль является необходимой не только потому, что у участников дискуссии могут возникнуть проблемы, но и потому, что всегда существует опасность ее выхолащивания: бесплодный спор, бесконечная болтовня, множество монологов вместо диалога, потеря темы, скука. Задача ведущего - направлять ход дискуссии. Для этого недостаточно составить список выступающих и предоставлять им по очереди слово. Ведущий должен делать гораздо больше:

·  заботиться о соблюдении правил дискуссии, которые каждому участнику по возможности раздаются заранее;

·  выстраивать дискуссию и следить за соблюдением темы;

·  задавать дополнительные вопросы, если что-то осталось неясным, чтобы ход дискуссии не нарушался;

·  снимать излишние обострения в ходе дискуссии;

·  повторять или обобщать аргументы, если это представляется ему необходимым;

·  стимулировать живую дискуссию, вызывать участников на выступления, если вдруг наступает тишина;

·  помогать подводить итоги в конце каждого этапа дискуссии и помогать оформить конечный результат (проблему).

Прежде, чем начать работу, ведущий должен представиться (возможно, что проводить дискуссию будет незнакомый детям человек). Если на дискуссию приглашены эксперты, надо пояснить их функцию, чтобы, в ходе работы у выступающих не возникло желание апеллировать к ним, как к судьям.

Ведущий должен предложить всем участникам представиться (если они не знакомы между собой) и рассказать коротко о себе то, что они посчитают необходимым.

Для того, чтобы начало, а затем и продолжение самой дискуссии было успешным, ведущий должен:

·  сосредоточить участников на конкретно обсуждаемом вопросе;

·  установить очередность выступлений, если появляется сразу много желающих высказаться;

·  сдерживать участников, не давая говорить всем одновременно;

·  в случае необходимости предложить еще раз прочитать обсуждаемый вопрос: не допускать, чтобы участники переключились с обсуждаемой темы, пока она не будет исчерпана полностью;

·  следить за тем, чтобы каждый из присутствующих имел возможность высказаться, чтобы никто не подвергался личным нападкам и не эксплуатировал внимание участников;

·  не должен сам отвечать на вопросы, касающиеся содержания обсуждения, можно использовать прием "бумеранга": адресовать эти вопросы всем дискутантам; в случае если задавший вопрос будет настаивать на ответе, напомнить ему о своей роли;

·  не должен делится своими соображениями, и давать оценку мнениям других;

·  вмешиваться и более жестко руководить дискуссией, когда атмосфера накаляется или обсуждение зашло в тупик. [25]

При обмене участниками различными мнениями, могут произойти некоторые трудности понимания друг друга. Мы называем такие трудности "ловушки". Это понятие, возникло на основе трансакционного анализа Э. Берна. [3]

Трансакционный анализ.

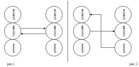
Когда встречаются два человека, во взаимодействие включаются шесть состояний их Я (по три в каждом из них, что отражено на рис.1, прил. 2). Поскольку состояния Я так же отличаются друг от друга, как и все люди, то важно понять, какое из состояний во время этой встречи активизировано в каждой из личностей и как эти состояния взаимодействуют. Происходящее можно изобразить на схеме в виде стрелок, связывающих двух людей. В простейших трансакциях (взаимодействиях) стрелки параллельны. Они называются дополнительными трансакциями. Пока трансакция остается дополнительной, коммуникация развивается неограниченно.

На рис. 2 (прил. 2), отражена иная ситуация. Здесь обозначен стимул от Взрослого к Взрослому (ВВ). Требование предоставить информацию получает отклик от Ребенка к Родителю (РеР), в результате чего стрелки стимула и реакции вместо того, чтобы идти параллельно, пересекаются. Трансакции этого типа называются пересекающимися. В этом случае коммуникация нарушена". [3]

Одной из главных обязанностей ведущего является недопущение нарушения коммуникации, попадания участников в эти "ловушки", поэтому он должен быть ознакомлен с методами выхода из таких ситуаций, если они произошли.

Работа дискуссии может быть организована ведущим в виде игры. В учебно-методическом комплекте "Дебаты" [9] предлагается такой вариант проведения занятий и приводится его методика.

2.1.3 Дебаты

Возникшие еще в Древней Греции, дебаты сегодня используются для того, чтобы помочь получить знания и умения, необходимые в современном демократическом обществе.

Дебаты с их древними традициями – это система формализованных дискуссий на различные темы.

В жизни взрослых дебаты чаще всего используются в политической практике. Проведение подобного рода мероприятий происходит для того, чтобы люди, не специализирующиеся по данному вопросу, но которым нужно принять решение, могли ознакомиться с разными мнениями экспертов. Таким образом, получается, что дебаты используются как средство для принятия решений.

Школьные программы, как правило, не предусматривают сознательного овладения устной речью. Поэтому у многих публичные выступления вызывают стресс, а уж обсуждение спорных тем – и подавно. Некоторые не берутся за отстаивание своего мнения, а другие, напротив, выражают неуважение к мнению своих партнеров.

Далее в работе я попробую проанализировать методику проведения дебатов, предлагаемую авторами учебного пособия "Дебаты" [9], осуществляющуюся в рамках международной программы, основанной Институтом "Открытое общество".

Международная программа была основана в 1994 году, в России она реализуется также с 1994 года. Программа "Дебаты" ставит перед собой следующие цели:

1.  Способствовать становлению гражданского общества.

2.  Способствовать развитию навыков жизнедеятельности в демократическом обществе:

·  толерантности и уважительного отношения к различным взглядам;

·  партнерского общения и умения работать в команде;

·  способности концентрироваться на сути проблемы и отстаивать непопулярные идеи;

·  критического мышления.

"Дебаты – интеллектуальная игра для старшеклассников и студентов, представляющая собой основную форму дискуссии, которая ведется по определенным правилам. Суть дебатов заключается в том, что две команды выдвигают свои аргументы и контраргументы по поводу предложенного тезиса, чтобы убедить члена жюри (судью) в своей правоте и опыте риторики". [9]

Дебаты развивают:

·  логическое и критическое мышление;

·  навык в организации своих мыслей;

·  навыки устной речи;

·  эмпатию и терпимость к различным взглядам;

·  уверенность в себе;

·  способность работать в команде;

·  способность концентрироваться на сути проблемы;

·  стиль публичного выступления.

Таким образом, эта программа является одной из учебных программ, отвечающих требованиям современного образовательного процесса.

Первое предназначение этой игры – обучение. Применение образовательной технологии "Дебаты" в учебном процессе способствует созданию устойчивой мотивации к учению, так как обеспечивается личностная значимость учебного материала для учащихся; наличие элемента состязательности стимулирует творческую, поисковую деятельность, тщательную проработку изучаемого материала.

Все это вместе взятое, поможет их участникам интеллектуально участвовать в жизни общества; выступать в качестве лидеров; брать на себя ответственность за обогащение своих знаний и развитие способностей; изучать, исследовать и анализировать важные современные проблемы; синтезировать знания; слаженно работать с коллегами; уметь писать эффективные речи и приобретать навыки презентации; достигать более высоких показателей в основной учебе; быть критичными слушателями; принимать хорошо продуманные решения; развивать смелость и уверенность в себе.

В общепринятом понимании, игра – это особый жанр человеческой деятельности, отличающийся от учения. Человек играет только в интересные ему игры, поэтому предложенный вариант дебатов, трудно назвать игрой. Я бы сказала, что они содержат в себе немного "добровольно – принудительного" элемента.

Также немного расходится понимание о предназначении дискуссии и дебатов (как методик), так как предназначение дискуссии (в нашем понимании) – исследование вопроса и постановка проблемы, обучение же выступает как некоторый результат.

В настоящее время технологии программы "Дебаты" используются:

- в учебной деятельности: как форма или элемент урока (с целью актуализации знаний, организации самостоятельной работы учащихся; обобщения; систематизации; закрепления учебного материала; обеспечения рефлексии); как форма аттестации и тестирования учащихся.

- в научно – исследовательской деятельности учащихся: ставя обязательным условием глубокую проработку предлагаемых тем, "Дебаты" требуют владения навыками работы с источниками информации, научного поиска, исследовательской деятельности.

- в воспитательной работе.

- в досуговой деятельности: будучи разновидностью интеллектуальной игры, "Дебаты" представляют собой эффективную форму организации свободного времени учащихся.

Также как и при организации дискуссии, выбор темы в дебатах имеет очень большое значение. Именно тема задает дебатам определенные рамки, поэтому она должна быть хорошо сформулирована, быть сбалансированной и давать одинаковые возможности командам в представлении качественных аргументов, стимулировать исследовательскую работу. В книге авторы предлагают некоторые возможные варианты тем, например:

Рекламу на телевидении следует запретить; эвтаназию можно оправдать; НЛО существует и т.д.

Здесь следующее расхождение с нашим пониманием: если дискуссия является методом постановки проблемы, интересующей школьника, которую он собирается разрешать, становится непонятно, зачем включены в программу такие темы, разрешение которых не является для ученика возможным.

Нам кажется, что и в дебатах, если они являются одной из форм дискуссии, тема должна быть предложена самими школьниками, или касаться их непосредственно. Возможна, например такая тема: Школьная форма обязательна для всех учащихся школы.

Далее встает вопрос о том, кто будет принимать решение. Здесь возникают такие варианты: это может быть директор школы, занявший позицию судьи, которому будут приведены аргументы "за" и "против", также позицию может занять человек, которого выберут сами школьники, и который сможет потом объявить о результатах дебатов органам управления школы, которые, в свою очередь, утвердят решение окончательно.

Отличие нашего представления от представления авторов предложенной методики, касающееся судейства, заключается в том, что судья не играет свою роль, а принимает позицию, так как ему реально предстоит принимать решения. Получается, что в "Дебатах", пропущен такой существенный элемент, как этап формирования судейской позиции.

Еще одно существенное отличие методик – это их результат. Если дебаты заканчиваются принятием решения, то дискуссия завершается, как не раз уже было сказано, постановкой проблемы, более того, она предшествует самому решению проблемы, способом которой является диалог.

2.2 Диалог

"Диалогические отношения…это почти универсальное явление, пронизывающее всю человеческую речь и все отношения и проявления человеческой жизни, вообще все, что имеет смысл и значение. Чужие сознания нельзя созерцать, анализировать, определять как объекты, вещи, - с ними можно только диалогически общаться". [4]

2.2.1 Диалог в майевтике Сократа

Ситуация диалога представляет собой идеальные условия для философского усилия. Здесь собеседник – зеркало, которое вынуждает нас постоянно рефлексировать к основанию, с которого мы высказываем свое осуждение. На рисунке это можно было бы изобразить так:


Передавая, высказывая какое-либо суждение своему собеседнику в диалоге, человек не просто говорит о том, что пришло ему в голову, он обращается к сути того, о чем говорит. Таким образом, получается, что диалог происходит на более глубоком уровне, чем просто обмен информацией.

Здесь всегда стоит вопрос о знании, о степени его присутствия в душе человека, высказывающего какое-либо положение. Иными словами, для нашей способности суждения диалог оказывается условием сознательности и школой ответственности.

Диалог формирует и путь, прохождение по которому необходимо для определения границ знания, особенно когда это касается таких предельных предметов постижения, как благо или само бытие – этот вечный предмет вопрошания философов (что есть все? что значит "быть"?).

В форме диалога были написаны все произведения Платона, кроме "Апологии Сократа". Диалогическая форма вытекала у Платона как из необычайной живости и подвижности аттического мышления, так и из потребностей чисто литературного развития, шедшего из эпоса, лирики и драмы к лирико-эпической и драматической прозе. Античная философия, как и все античное литературное творчество, немыслима без вечной постановки все новых и новых вопросов, без напряженных исканий ответа на них, без страсти к спорам, к самым извилистым мыслительным приемам, без восторга перед словесными приемами, речами и цветистой риторикой.

Платоновский диалог как форма драматизма мысли очень часто приводил к неожиданным результатам ввиду чрезвычайно извилистого, противоречивого и прихотливого своего развития. В них такая масса повторений, уточнений, возвращений к предыдущим тезисам, уклонений в сторону, что сплошь и рядом такие диалоги не столько создают строго логическую концепцию, сколько вызывают у нас впечатление чего-то музыкального. Именно благодаря диалогу, т.е. благодаря слишком подвижному и горячему драматизму мысли, платоновская философия, в конце концов, отказывается от какой бы то ни было системы. Этим же объясняется и то, что диалог Платона всегда перемежается какими-нибудь другими поэтическими жанрами.

Диалог Платона пронизан речами. Они и многочисленны, и по стилю своему полны разного рода эстетических модификаций: то они просты, естественны, человечески убедительны; то они поражают нагромождением изысканных, острых, динамических ощущений; то они порождены небывалым антиномизмом жизни и неожиданными моральными выводами из достаточно гротескных ситуаций.

Основной философский метод Платона – диалектический. Диалог здесь – литературная форма для неизменного драматизма мысли. Диалогическая форма у Платона, в конечном счете, была ни чем иным, как его внутренним разговором с самим собой. В диалоге – поддержка. Читатель видит, как автор доходит до истины, весь путь налицо. [19]

Характерно платоновское отношение к письменной речи, фиксирующей происходящее в диалоге событие философии. Письменная речь не может заменить устной беседы, поскольку последняя является не только упорядоченным рассуждением, но и столкновением двух воль, двух различных мировоззренческих установок, которые всегда задают новый континуум философского поиска. Например, в текстах Платона один из беседующих занимает место носителя истины, но автор все равно стремится сохранить – хотя бы формально – структуру беседы, оттеняя односложными реакциями второго участника наиболее важные смысловые повороты речи первого, становящуюся устной демонстрацией беседы с самим собой. В тех же случаях, когда текст у Платона приобретает монологический характер (например, вторая речь Сократа в "Федре"), Платон начинает утверждать, что перед читателем всего лишь "правдоподобный миф".

Сочинения Платона демонстрируют нам не догматическую систему, а определенный порядок обсуждения философских проблем. Платон не постулирует систему ценностей, но подводит к ней, а точнее, подходит вместе с участниками диалогов, оставляя читателю место для собственного поиска и право на сомнение. [20]

Таким образом, Платоновский диалог – это место собственного поиска, поиска истины.

Мы согласны с тем, что диалог является местом собственного поиска истины. В предлагаемом нами проведении диалога, учитель является носителем истины, выводящим на ее понимание собеседника. Учитель, тот, кто помогает ребенку найти истину, создавая условие для ее нахождения, путем обращения ребенка к своему личному, принадлежащему ему знанию. Учитель выстраивает диалог не только между собой и ребенком, но и внутренний диалог ребенка.

Во внешней речи (языке) обычно уходят в подтекст, пропускаются многие логические ходы, которые зачастую составляют самую суть рассуждений, но кажутся само собой разумеющимися, прорабатываются с громадной быстротой, в свернутой, логически и синтаксически усеченной форме, внутри мышления, в глубинах внутренней речи.

С другой стороны, во внутренней речи пропускаются многие логические ходы, актуальные для языка информации, необходимые в процессе общения с "чужим человеком", но совершенно несущественные, просто не существующие в действительном – для себя – обосновании истины. Сколько ни опровергай логику языка (внешней речи), убедить человека невозможно, пока остаются незатронутыми глубинные логические структуры, изнутри подпирающие нашу логическую фразеологию (фразеологию типа "следовательно", "таким образом", "отсюда вытекает" и т.д.). Только проникнув во внутреннюю речь, только затронув "синтаксис" пропусков, умолчаний, "монтажа", как сказали бы в кинематографе, возможно коренным образом трансформировать действительный, реальный, действующий образ мышления. [4]

2.2.2 Содержание понятия диалога

"Диалог (от греч. Dialogos – разговор, беседа) – форма речи, которая характеризуется сменой высказываний (реплик) двух или нескольких (полилог) говорящих и непосредственной связью высказываний с ситуацией. Именно диалог является той формой речи, которая наиболее явно и непосредственно актуализирует социальную сущность языка, его коммуникативную функцию". [24]

Заложивший основы теории диалога в отечественном языкознании, Л.В.Щерба, называл диалог основной речевой формой языка, утверждая что "подлинное свое бытие язык обнаруживает лишь в диалоге". Точку зрения на первичность функции языка в диалоге разделяли Л.П. Якубинский, Е.Д. Поливанов, М.М. Бахтин и др. известные лингвисты, говорившие о естественности диалога и искусственности, вторичности монолога. В.В. Виноградов называл диалог наиболее употребительной формой социально-речевого общения, отмечая при этом, что монолог – "не данность языка как общей коллективу системы выражений, а продукт индивидуального построения".

Разграничивается широкое и узкое понимание диалога. Любой текст (в т.ч. "внешне" монологический) в той или иной мере диалогизирован, поскольку продуцируется с установкой на активное восприятие его адресатом. В этом смысле явление диалога глобально. Узкое же понимание диалога связано с противопоставлением последнего как формы речи, заключающейся в обмене взаимообусловленными репликами, монологу как высказыванию одного лица. Основным признаком различения диалогической реплики и монолога можно считать степень самостоятельности высказывания.

Реплики участников диалога, как правило, лаконичны. Обычно в каждой из последующих реплик сокращается все, что прозвучало в предыдущей или известной ситуации. Поэтому смысл реплики становится полностью понятным только в связи с контекстом и ситуацией.

Основная сфера использования диалога – повседневное общение, устно-разговорная речь. Кроме того, диалогическая форма речи характерна для художественной литературы (диалоги персонажей), публицистики (интервью, дискуссия), некоторых других сфер общения.

Диалогические отношения высказываний представляют собой смену "смысловых позиций". Смысловая позиция – это выражение жизненной позиции, точки зрения, определенного понимания факта, явления.

В диалоге сходятся две позиции, между которыми и возникают диалогические отношения. "Событие жизни текста, т.е. его подлинная сущность, всегда разыгрывается на рубеже двух сознаний, двух субъектов".

М.М. Бахтину удалось проникнуть во внутренний диалог, в котором также взаимодействуют различные смысловые позиции, но уже не разных субъектов (как в двусторонней речи), а одного и того же субъекта (с учетом второго Я).

Диалогичность свойственна не только внешне диалогическим текстам, но и монологическим. Диалогичность – неотъемлемое свойство творческого научного мышления (как внутренний диалог со вторым "Я" или явный со своим оппонентом), она помогает лучше понять истину и проверить ход решения проблемы, а, в конечном счете – убедительнее доказать ее другим.

Диалогичность мышления проявляется в форме самоконтроля, корректировки, в вопросно-ответных связях, в форме оценки смысловых позиций предшественников и современников. Диалогичность, следовательно, оказывается как бы "двуслойной" по своим основаниям: в ней совмещаются диалог эгоцентрический и собственно открыто коммуникативный, предполагающий взаимодействие и общение с другим лицом. [24]

2.2.3 Анализ урока-диалога Курганова С.Ю.

Понятие "диалог" применительно к обучению (т.е. как урок-диалог) используется в книге С.Ю. Курганова в трех смыслах.

1.  Каждое научное понятие (точки и круга, исторического события и бесконечности) рассматривается на уроках как диалог различных исторически существовавших логик, культур, способов понимания (античной, средневековой, нововременной, современной). Эти логики не "всплывают" в репликах учащихся и учителя, ведущих учебный диалог. Рассмотрение научных понятий в "промежутке" разных логик и способов понимания обеспечивает выход учебного диалога на "вечные проблемы человеческого бытия", сообщает ему продуктивную неразрешимость, неполноту и в то же время глубинность. В этом смысле, здесь говорится о диалоге логик. [4]

2.  В ходе учебного диалога возникает особое общение между учащимися и учителем, в котором участники не просто "проявляют" те или иные грани античного, средневекового и т.д. мышления, но, прежде всего, нащупывают свой собственный взгляд на мир. Особенно остро это проявляется на уроках гуманитарного цикла, хотя может быть выявлено и на уроках математики. В таких случаях здесь говорится о диалоге голосов.

3.  Учебный диалог адекватен современному диалогическому мышлению лишь тогда, когда столкновение логических и культурных блоков, спор и согласие, разведение и слияние голосов постоянно сопрягается с внутренним диалогом мыслителя с самим собой. Этот микродиалог с внутренними Собеседниками (культурами, голосами) протекает в форме особой внутренней речи, не тождественной речи внешней.[12]

С.Ю. Курганов выделяет два способа начала учебного диалога на уроке.

1. Урок может быть начат репликой ученика, его вопросом, его несогласием с позицией учителя, его попыткой утвердить свое видение учебного предмета.

2. Диалог может начать учитель, поставив перед детьми задачу, проблему, вопрос. При этом учитель должен быть всегда готов к тому, что дети могут переопределить первоначально поставленную проблему.

Для того, чтобы учебная задача, поставленная учителем, могла породить учебный диалог, она должна предстать перед детьми в образе учителя-Собеседника, выступить как его точка зрения, как его "голос", выношенная личная позиция, взрывающая привычный образ мышления ученика, стимулирующая детей к творчеству. [12]

Урок-диалог начинается с переопределения общей учебной проблемы, с порождения каждым учеником своего вопроса как парадокса, загадки, трудности, требующих удержания в слове. Смысл урока – в постоянном воспроизведении ситуации "ученого незнания", в "сгущении" своего видения проблемы, своего неустранимого вопроса-парадокса в "самовитом" слове, образе, гипотезе. Выполнение мыслительных экспериментов в пространстве образа, выстроенного каждым учеником, углубляет парадоксальность учебной проблемы, ее неразрешимость, "вечность".

Ставя учебную проблему, учитель внимательно выслушивает все возможные варианты ее решения и переопределения, предлагаемые учащимися. В этих вариантах учитель помогает проявить спор различных логик и форм мышления (античное образное "умное видение"; средневековое понимание как умение; познавательное экспериментирование нового времени; парадоксальная дополнительность мышления XX века). Ученик в учебном диалоге оказывается в промежутке культур. Ни к одной из "культурных парадигм" нельзя прислониться как к спасительной "стене". Сопряжение различных культур и способов понимания требует от каждого ученика и от учителя ответственного, индивидуально-неповторимого, непредсказуемого слова-поступка. [12]

В пример урока-диалога я приведу один из проведенных С.Ю. Кургановым урок, и попробую разбить его на этапы.

Пример:

Урок начинается в форме вопросно-ответного диалога, беседы. Учитель задает вопрос, ученик на него отвечает.

Учитель спрашивает третьеклассников: "Какую форму имеет Земля?".

Дети: Земля – шар.

Учитель: Но люди не всегда думали так. К вам на урок пришел ученый из Древней Греции. Хотите послушать, что он думает о форме земли?

Учитель перевоплощается в "Древнего Грека". Он красочно и подробно рассказывает детям о плоской Земле, о твердом куполе – небе, о солнечной колеснице…

Учитель вводит учебную задачу (выяснение формы земли) в контекст иной культуры. В этой культуре иные логические основания, а потому – иные ответы на исходные вопросы человеческой жизни. Дети стремятся защитить свой, привычный взгляд на вещи.

Говоря о привычном, дети обмениваются своими знаниями и наблюдениями, и в этом месте урока появляется то, что можно назвать дискуссией.

Грек: Все, о чем я сейчас рассказал, подтверждается нашими наблюдениями. Вы же говорите: "Земля - шар". Почему? Посмотрите в окно! Какую землю вы видите? Конечно, плоскую! Здесь учитель ставит перед детьми проблему (он говорит, что земля плоская, хотя всем прекрасно известно, что она круглая, а почему круглая - неизвестно), он переворачивает их привычное понимание, тем самым, заставляя обратиться к своим накопленным знаниям.

Весь рассказ грека прерывался смехом детей. Дети смеялись, слушая о драконах, пожирающих тех, кто сваливался с края земли… Несерьезность и ошибочность взглядов Грека очевидна всем.

Дети: Но Земля же круглая!

Грек: Почему?

Дети: Потому что края у земли нет!

Грек: Все наши путешественники знают, что к краю Земли опасно подходить. Я и вас предупреждаю, не надо далеко заплывать…

Дети: Неужели ваши люди не были в кругосветных путешествиях?

Грек: Не понимаю. Некоторые наши путешественники, которые слишком далеко заплывали, не возвращались. Я думаю, что возле края Земли они попали в беду: они упали за край, их сожрали чудовища…

(Смех)

Антон Кожарин: А где же земная ось, если Земля плоская?

Вадик Липчанский: В Земле есть такое устройство, что она притягивает все к себе. Если бы земля была плоской, это было бы невозможно.

Дима Левдик: Почему? Разве плоская Земля не могла бы притягивать?

Вадик Липчанский: Плоская Земля тоненькая, там не могут поместиться те устройства, которые притягивают.

Грек: Я не утверждаю, что Земля тоненькая. Она плоская, но довольно большой толщины.

Вадик Липчанский: Если бы Земля была плоской, то, если выкопать очень большой колодец, была бы сквозная дыра.

Грек: Возможно. Кстати, то же касается и круглой Земли.

Оля Матосова: Земля круглая, потому что глобус круглый!

Грек: У нас тоже есть макет Земли. И он плоский

Саша Шпильберг: Пусть этот Грек сядет в нашу ракету и увидит, что Земля – шар.

Грек: Прошу не употреблять слова, значения которых я не понимаю. Я ведь тоже могу употреблять слова, которые вам покажутся ругательствами: Психея, Терпсихора… Я же не делаю этого.

Павлик Бондаренко: Без ракет мы ничего не докажем. Ведь мы сами знаем о форме Земли по фотографиям из книг.

"Авторитарно-цитатной позиции" детей был нанесен серьезный удар. Хотя авторитарные доводы детей были довольно остроумны, они не спасли от диалога. Надо от декларации перейти к доказательствам в логике Собеседника, на границе двух культур: своей, привычной, где все ясно и ничего никому доказывать не надо, и другой, незнакомой, неведомой, в которой все иначе.

Когда доводы детей не были приняты, им пришлось обратиться к основаниям, по которым они делали свои выводы, дети ищут разного рода доказательства, которые помогут Греку убедиться в их правоте, следовательно, в этом месте появляется уже своего рода диалог. С точки зрения Сократовского диалога дети здесь (с их (детской) точки зрения) – носители истины, пытающиеся донести ее до человека, ей не обладающего.

Глеб Кутепов, Артем покроев: Мы видели в море такое явление. Если посмотреть на уходящий корабль, то он не весь исчезает из виду, а постепенно, сначала корпус, затем мачта. Вы, древние греки, много плавали и не могли этого не заметить!

Грек: Действительно, мореплаватели-финикийцы наблюдали это явление. Я уточню свое первоначальное утверждение: Земля не плоская, а немножко горбатая, выпуклая, Но уж никак не шарообразная!

Аня Королева: Ваша земля похожа на перевернутую тарелку!

Грек: Да. Земля горбата. И именно поэтому опасно приближаться к краю Земли: назад очень трудно возвращаться. Но при чем здесь шар?

Несколько детей: мы не уверены теперь, что Земля – шар.

Саша Ливант: А я берусь доказать, что Земля – плоская! Какую бы страну не показывали по телевизору, деревья растут вверх, а поверхность плоская!

Грек: Хорошо, что нашелся хоть один разумный человек. У остальных, я вижу, нет доказательств, что Земля – шар.

К концу урока некоторые дети, не найдя способа доказать свое знание, сдаются, а некоторые продолжают утверждать его правильность, поэтому у следующему уроку попытаются найти нужные доказательства.

В ходе анализа также было выделено, что урок – диалог, проводимый С.Ю. Кургановым, имеет следующую структуру:

1.  вопросно-ответная беседа учителя с детьми

2.  дискуссия учеников

3.  оформление проблемы учителем

4.  диалог детей

5.  оформление учителем результата

2.3 Выводы (к главе 2)

Чем же отличается дискуссия от диалога в нашем понимании?

Как было сказано выше (см. п. 2.1.1), дискуссия характеризуется обменом мнений или версий по какому-либо вопросу, в дискуссии обнаруживается некоторое основание, его наличие; диалог же предполагает обращение к основаниям. На рисунке это можно изобразить следующим образом.


рис.2

Дискуссия заканчивается постановкой проблемы.

В.В. Мацкевич [16] выделяет троякое понимание проблемы для организации работы.

1.  Проблема как знание о том, что мы не знаем: этот аспект задает направление поиска и определяет области знания, которые необходимо разрабатывать.

2.  Проблема как препятствие в деятельности и мышлении, непреодолимое наличными на данный момент средствами. Этот аспект позволяет конкретизировать проблему до достижимых целей и решаемых задач и организовать поиск необходимых средств и нового профессионализма.

3.  Проблема как столкновение двух внутренне непротиворечивых знаний об одном и том же. Это высший уровень проблемности, выводящий на развитие знания, мышления и деятельности. [16]

Какой бы, из представленных трех проблем не была, поставленная в конце дискуссии (проблема может принимать все три формы), она будет являться отправной точкой начала диалога. Диалог, в свою очередь, может быть как внутренним, происходящим в мышлении школьника и начинающимся сразу, после постановки проблемы, так и уроком – диалогом, который начнет учитель. В любом случае это будет поиск решения проблемы.

Если через дискуссию можно осуществлять переход к диалогу, тогда можно сделать предположение, что завершение дискуссии может быть началом дебатов, тогда цель и направление данной методики изменятся, следовательно, она может быть усовершенствована, но для этого требуется дополнительное, более глубокое исследование.


ЗАКЛЮЧЕНИЕ

общение учитель старшеклассник дебатный дискуссионный

В данной работе проведен анализ литературы, посвященной исследованию психологических особенностей учащихся старшей школы, который выявил соответствие особенностей развития старшеклассников к организации и проведению занятий в форме дискуссии и диалога. Это связано с появлением в сознании школьника диалога, который осуществляется с идеальным партнером, с "Я", с лицами, общение с которыми недоступно, в силу различных причин. Этим доказывается востребованность в организации таких занятий.

Обзор диссертационных исследований, проведенных в России в период с 2000 по 2005 г., показал, что проведенные исследования, касающиеся данной темы, направлены на старший дошкольный, младший школьный и младший подростковый возраст.

Анализ литературы, проведенный во второй главе, помог определить различные стороны дискуссии и диалога, вошедшие в их определение. Дискуссия характеризуется обменом мнений или версий по какому-либо вопросу, в дискуссии обнаруживается некоторое основание, его наличие; диалог же предполагает обращение к основаниям. Дискуссия заканчивается постановкой проблемы и является отправной точкой для начала диалога.

Также в работе описаны методики и даны рекомендации проведения занятий в форме дискуссии. Определено некоторое различие в проведении занятий в форме дискуссии и дебатов, выделен ряд недостатков, характерных для дебатной формы обучения. Определено различие между диалогом Сократа и тем, что мы называем диалогом. Проведен анализ урока-диалога С.Ю. Курганова, проводимого в младшей школе, и выделена его структура:

1.  вопросно-ответная беседа учителя с детьми

2.  дискуссия учеников

3.  оформление проблемы учителем

4.  диалог детей

5.  оформление учителем результата

Основываясь на результаты, можно сделать следующие выводы:

1. гипотеза, предложенная в работе, обоснована;

2. намечены границы дальнейшего исследования:

- для оформления новой, более усовершенствованной методики проведения занятий в форме дебатов, необходимо выявление и описание перехода от дискуссии к дебатам;

- создание методики проведения занятия в форме диалога в старшей школе.


СПИСОК ЛИТЕРАТУРЫ

1.  Бахтин М.М. Эстетика словесного творчества. – М., 1979

2.  Бендлер Р., Гриндер Дж. Структура магии, т. 1. - http://lib.align.ru

3.  Берн Э. Люди, которые играют в игры. Игры, в которые играют люди. – М.: Апрель Пресс, изд-во "ЭКСМО - пресс", 2001

4.  Библер В.С. Мышление как творчество. (Введение в логику мысленного диалога). - М.: Политиздат, 1975

5.  Валицкая А.П. Диалог в образовании. // Сборник материалов конференции. Серия "Symposium", выпуск 22. - СПб.: Санкт-Петербургское философское общество, 2002.

6.  Винокур Т.Г. Диалог // Энциклопедия русского языка. - 2-е издание – М., 1998

7.  Мудрик А.В., Юношеский тип общения. // Возрастная психология: детство, отрочество, юность. Хрестоматия. – М.: Издательский центр "Академия", 1999. - С. 493 - 499

8.  Гадамер Ф.Г. Истина и метод. Основы философской герменевтики. – М.: 1988, www.solminor.narod.ru

9.  Дебаты: Учебно-методический комплект. – М.: Изд-во "Бонфи", 2001 – 296 с.

10.  Эриксон Э. Идентичность: юность и кризис. - М., 1996. – С. 245-256

11.  Жукова Т.В. Дискуссия как форма преподавания общественных дисциплин в вузе // Организация УД: проблемы и перспективы. Доклады всероссийской научной конференции. – Наб. Челны, 1997. – С. 73 - 75

12.  Курганов С.Ю. Ребенок и взрослый в учебном диалоге. – М.: Просвещение, 1989

13.  Кучинский Г.М. Диалог и мышление. - Минск, 1983

14.  Леонтьев А.Н. Деятельность. Сознание. Личность. - http://infolio.asf.ru

15.  Лукьянова Н.Е. Диалогичность общения взрослого и ребенка как центральный компонент мотивации учебной деятельности // Организация УД: проблемы и перспективы, доклады всероссийской научной конференции. – Наб. Челны, 1997. – С.125 - 131

16.  Мацкевич В.В. Этюды об образовании

17.  Панюкова Ю.Г. Пространство школы как фактор воздействия на ребенка // Организация УД: проблемы и перспективы, доклады всероссийской научной конференции. – Наб. Челны, 1997 – с. 75 - 77

18.  Петякшева Н.И. История философии в контексте постмодернизма. - www.liber.rsuh.ru

19.  Платон. Диалоги / под ред. Р.В. Светлова, В.Л. Селиверстова. – СПб.: Азбука, 2000

20.  Платон. Собрание сочинений в четырех томах / под ред. А.Ф. Лосева. - изд-во "Мысль", Москва, 1990. – Т. 1

21.  Попов А.А., Проскуровская И.Д. Практики расширения возможностей в институционально - антропологической перспективе. – 2003, http://hoster.metod.ru

22.  Словарь иностранных слов / отв. ред. Бурцева В.В., Семенова Н.М. – М.: Русский язык: Медиа, 2003. - 819 с.

23.  Словарь русского языка. – В 4 томах / Институт лингвистических исследований РАН – 4-е издание – Москва. Русский язык: Полиграфресурсы, 1999. – Т. 1

24.  Стилистический энциклопедический словарь русского языка / Под ред. М.Н. Кожиной – М.: Флинта: Наука, 2003

25.  Фонд Фридриха Науманна. Либеральные Клубы, Либеральные Столы Фонда Фридриха Науманна. - М.: Комплекс-Прогресс, 2000.

26.  Харламова Т.А. Содержание и динамика возрастного самочувствия старшеклассника на этапе школьного финиша. // Магистерская диссертация, Красноярск, 2002

27.  Щедровицкий П.Г. СМД-методология и философия игры (лекция 3), 1989

28.  Эльконин Д.Б. Детская психология. - М.: Издательский центр "Академия", 2004

29.  Эльконин Б.Д. Психология развития. - М.: Издательский центр "Академия", 2001

30.  Якубинский Л.П. О диалогической речи // Избр. работы. Язык и его функционирование. – М., 1986

Список диссертационных исследований

31.  Артеменкова Л.Ф. Педагогические условия развития диалогического общения детей старшего дошкольного образовательного учреждения. – Карачаево-Черкесия, 2002

32.  Байтматова М.С. Учебная дискуссия как средство формирования культуры диалогического взаимодействия младших школьников. – Волгоград, 2003

33.  Голубева Ю.И. Формирование у младших школьников умения задавать вопросы на уроке. – Калининград, 2002

34.  Горбич О.И. Диалог на уроках русского языка в 5 – 7 классах как средство активизации деятельности учащихся и развития их речи. – Москва, 2002

35.  Куварина Н.В. Формирование обобщенности умственных действий у младших школьников в условиях интеллектуального диалога. – Н.Новгород, 2000

36.  Песняева Н.В. Учебный диалог как средство развития речевой деятельности младших школьников. – Москва, 2004


Приложение

Схемы трансакции по Э. Берну

В каждом человеке можно обнаружить три типа состояний Я (рис 1). Первая группа ведет свое происхождение от родительских образцов поведения. В дальнейшем мы будем продолжать называть этот тип состояний "Родитель" В этом состоянии человек чувствует, думает, действует, говорит и реагирует точно так же, как это делали его родители, когда он был ребенком. Это состояние Я может активизироваться при воспитании собственных детей. Даже тогда, когда это состояние Я не выглядит активным, оно чаще всего влияет на поведение человека в качестве Родительского воздействия, выполняя функции совести.

Вторая группа состояний Я заключается в том, что человек сам оценивает все окружающее объективно, рассчитывая возможности и вероятности на основе прошлого опыта. Это состояние Я, как и раньше, назовем "Взрослый". Его можно сравнить с функционированием компьютера.

Каждый человек несет в себе черты маленького мальчика или маленькой девочки. Он порой чувствует, мыслит, действует, говорит и реагирует точно так же, как это делал в детстве. Это состояние Я называется "Ребенок". Его нельзя считать ребяческим или незрелым, это состояние только напоминает ребенка определенного возраста, в основном двух-пяти лет. Возраст, в этом состоянии Я, является важным фактором. Нужно, чтобы человек понимал себя в состоянии своего Ребенка, и не только потому, что он "сопровождает" его в течение жизни, но еще и потому, что это одна из самых значимых сторон его личности. [3]


© 2012 Рефераты, доклады и дипломные работы, курсовые работы бесплатно.