рефераты
Главная

Рефераты по международному публичному праву

Рефераты по международному частному праву

Рефераты по международным отношениям

Рефераты по культуре и искусству

Рефераты по менеджменту

Рефераты по металлургии

Рефераты по муниципальному праву

Рефераты по налогообложению

Рефераты по оккультизму и уфологии

Рефераты по педагогике

Рефераты по политологии

Рефераты по праву

Биографии

Рефераты по предпринимательству

Рефераты по психологии

Рефераты по радиоэлектронике

Рефераты по риторике

Рефераты по социологии

Рефераты по статистике

Рефераты по страхованию

Рефераты по строительству

Рефераты по таможенной системе

Сочинения по литературе и русскому языку

Рефераты по теории государства и права

Рефераты по теории организации

Рефераты по теплотехнике

Рефераты по технологии

Рефераты по товароведению

Рефераты по транспорту

Рефераты по трудовому праву

Рефераты по туризму

Рефераты по уголовному праву и процессу

Рефераты по управлению

Контрольная работа: Сущность лизинговых операций

Контрольная работа: Сущность лизинговых операций

Содержание

1. Теоретическая часть

1.1 Определение размера и графика лизинговых платежей

1.2 Методы определения сметной стоимости строительства

1.3 Факторинг

2. Практическая часть

Задача 5

Задача 15


1.  Теоретическая часть

1.1 Определение размера и графика лизинговых платежей

В соответствии с пунктом 1 статьи 28 Закона №164-ФЗ под лизинговыми платежами понимается общая сумма арендных платежей по договору лизинга за весь срок действия договора, в нее входят:

- возмещение затрат лизингодателя, связанных с приобретением и передачей предмета лизинга, а также с оказанием других предусмотренных договором лизинга услуг;

- доход лизингодателя. Если договором лизинга предусмотрен переход права собственности на предмет лизинга к лизингополучателю, то в общую сумму договора может включаться выкупная цена предмета лизинга (статья 28 Закона №164-ФЗ).

На основании пункта 2 статьи 28 Закона №164-ФЗ размер, способ осуществления и периодичность лизинговых платежей определяются договором лизинга с учетом данного закона.

Если иное не предусмотрено договором лизинга, размер лизинговых платежей может изменяться по соглашению сторон в сроки, предусмотренные договором, но не чаще чем один раз в три месяца.

Следует обратить внимание, что порядок ценообразования официальным образом никак не регламентирован. Лизинговые компании самостоятельно разрабатывают структуру лизинговых платежей. Причем, в настоящее время лизингодатели не обязаны даже информировать об этой структуре потенциальных или реальных клиентов.

Методы определения лизинговых платежей

Различают следующие методы начисления лизинговых платежей:

1. Метод «неизменных лизинговых выплат» - когда общая сумма платежей начисляется равными долями в течение всего срока договора, в соответствии с согласованной сторонами периодичностью.

2. Метод «уменьшающихся платежей». Суть его в том, что в начале действия договора лизинга лизингополучатель платит лизинговые платежи в размерах, значительно превосходящих среднюю величину платежей за весь период лизинга. С течением времени платежи уменьшаются, превращаясь под конец в чисто символическую плату лизинговой компании. Такой метод обеспечивает лизингодателям быстрое погашение вложенных ими сумм.

3. Метод «с увеличенными в начальный период лизинговыми платежами», когда лизингополучатель при заключении договора лизингодателю выплачивается «аванс» в согласованном сторонами размере, а остальная часть общей суммы лизинговых платежей начисляется и уплачивается в течение срока действия договора, как и при начислении платежей в первом случае. Это один из вариантов метода «уменьшающихся платежей».

Данный метод позволяет лизинговой компании гарантировать хотя бы частичное погашение своих инвестиций в лизинговое имущество даже при форс-мажорных ситуациях (к примеру, в случае неплатежеспособности или банкротства лизингополучателя).

4. Метод «с отсрочкой лизинговых платежей». Отсрочка выплат допускается в отдельных случаях по ходатайству лизингополучателя и вызывает у него значительные дополнительные расходы. Например, перенос на полгода первого платежа обуславливает увеличение суммы взимаемого вознаграждения лизингодателя.

Следует отметить, что могут применяться и смешанные методы лизинговых платежей. Например, помимо наличия в графике уменьшающихся платежей договором лизинга может быть предусмотрен еще и аванс.

Формирование графика лизинговых платежей

Лизингодателям в любом случае приходится делать для себя хотя бы приблизительный расчет среднемесячных сумм лизинговых платежей по каждому своему клиенту. Поэтому представленный ниже общий порядок расчета таких платежей, рекомендуемый Минэкономики Российской Федерации может помочь как самим лизинговым компаниям, так и потенциальным лизингополучателям для определения полезности для них данной лизинговой сделки. «Методическими рекомендациями по расчету лизинговых платежей», в состав лизинговых платежей предлагается включать следующие составляющие:

- амортизацию лизингового имущества за весь срок действия договора лизинга (либо погашение величины инвестиций лизингодателя в предмет лизинга);

- компенсацию платы лизингодателя за использованные им заемные средства;

- вознаграждение лизингодателя;

- плату за дополнительные услуги лизингодателя, предусмотренные договором лизинга;

- стоимость выкупаемого имущества, если договором предусмотрен выкуп и порядок выплат указанной стоимости в виде долей в составе лизинговых платежей.

С уменьшением задолженности по кредиту, полученному лизингодателем для приобретения имущества - предмета договора лизинга, уменьшается и размер платы за используемые кредиты, а также уменьшается размер вознаграждения лизингодателя (если ставка вознаграждения устанавливается сторонами в процентах к непогашенной (неамортизированной) стоимости имущества). Поэтому целесообразно рассчитывать лизинговые платежи в следующей последовательности:

1. Рассчитываются размеры лизинговых платежей по годам, охватываемым договором лизинга.

2. Рассчитывается общий размер лизинговых платежей за весь срок договора лизинга как сумма платежей по годам.

З. Рассчитываются размеры лизинговых взносов в соответствии с выбранной сторонами периодичностью взносов, а также согласованными ими методами начисления и способом их уплаты.

Расчет общей суммы лизинговых платежей можно представить в виде следующей формулы:

лизинг платеж кредитный

ЛП = АО + ПК + В + ДУ + НДС, где

ЛП — общая сумма лизинговых платежей;

АО — амортизационные отчисления, начисленные лизингодателем в расчетном году (либо величина погашения затрат лизингодателя на приобретение предмета лизинга);

ПК – плата за кредитные ресурсы, используемые лизингодателем на приобретение имущества - объекта договора лизинга;

В - вознаграждение лизингодателя за предоставление имущества по договору лизинга;

ДУ – плата лизингодателю за дополнительные услуги лизингополучателю, предусмотренные договором лизинга;

НДС – налог на добавленную стоимость, уплачиваемый лизингополучателем по услугам лизингодателя.

Расчет величины амортизационных отчислений (погашение стоимости предмета лизинга)

В зависимости от вида лизинга данный показатель может быть определен двумя способами.

1) Исходя из ежемесячной суммы амортизационных отчислений, рассчитываемых лизингодателем по установленным нормам.

При этом в соответствии со статьей 258 Налогового кодекса Российской Федерации (далее НК РФ) амортизируемое имущество распределяется по амортизационным группам в соответствии со сроками его полезного использования. Сроком полезного использования признается период, в течение которого объект основных средств или объект нематериальных активов служат для выполнения целей деятельности налогоплательщика. Срок полезного использования определяется налогоплательщиком самостоятельно на дату ввода в эксплуатацию данного объекта амортизируемого имущества в соответствии с положениями настоящей статьи и с учетом классификации основных средств, утверждаемой Правительством Российской Федерации. При определении срока полезного использования объекта амортизируемого имущества необходимо руководствоваться Классификацией основных средств включаемых в амортизационные группы, утвержденной Постановлением Правительства Российской Федерации от 1 января 2002 года №1 «О классификации основных средств, включаемых в амортизационные группы».

Срок полезного использования устанавливается налогоплательщиком, самостоятельно исходя из технических условий и рекомендаций организаций-изготовителей только для тех видов основных средств, которые не указаны в амортизационных группах.

2) Исходя из суммы инвестиций на приобретение предмета лизинга.

Фактически данная сумма представляет собой первоначальную стоимость объекта основных средств, передаваемого в лизинг, которая, в свою очередь, складывается из затрат на приобретение этого объекта за вычетом НДС.

Расчет платы за используемые заемные ресурсы

Плата за используемые лизингодателем кредитные ресурсы на приобретение имущества - предмета договора рассчитывается по формуле:

ПК = КР * СТк / 100, где

ПК - плата за используемые кредитные ресурсы, в рублях;

КР – кредитные ресурсы, в рублях;

СТк - ставка за кредит, в процентах годовых.

При этом имеется в виду, что в каждом расчетном году плата за используемые кредитные ресурсы соотносится со среднегодовой суммой непогашенного кредита в этом году или среднегодовой остаточной стоимостью имущества - предмета договора:

КРt = Q * (ОСn + ОСk) / 2, где

КРt - кредитные ресурсы, используемые на приобретение имущества, плата за которые осуществляется в расчетном году;

OCn и OCk - расчетная остаточная стоимость имущества соответственно на начало и конец года;

Q - коэффициент, учитывающий долю заемных средств в общей стоимости, приобретаемого имущества. Если для приобретения имущества используются только заемные средства, коэффициент Q = 1.

Расчет вознаграждения лизингодателя

Комиссионное вознаграждение может устанавливаться в процентах:

а) от балансовой стоимости имущества - предмета договора;

б) от среднегодовой остаточной стоимости имущества.

В соответствии с этим расчет комиссионного вознаграждения осуществляется по формуле:

КВt = p * БС, где

p - ставка комиссионного вознаграждения, процентов годовых от балансовой стоимости имущества;

БС – балансовая (первоначальная) стоимость лизингового имущества.

Или по формуле:

КВt = ОСn + ОСk / 2 * СТв / 100 , где

ОСn и ОСk - расчетная остаточная стоимость имущества соответственно на начало и конец года;

СТв - ставка комиссионного вознаграждения, устанавливаемая в процентах от среднегодовой остаточной стоимости имущества - предмета договора.

Расчет платы за дополнительные услуги лизингодателя, предусмотренные договором лизинга

Плата за дополнительные услуги в расчетном году рассчитывается по формуле:

ДУt = (Р + Р + ... Рn) / Т , где

ДУt - плата за дополнительные услуги в расчетном году, рублей;

Р,.. Рn - расход лизингодателя на каждую предусмотренную договором услугу, рублей;

Т - срок договора, лет.

Расчет размера НДС, уплачиваемого лизингодателем по услугам договора лизинга

Размер налога на добавленную стоимость определяется по формуле:

НДСt = Вt x СТn / 100, где

НДСt - величина налога, подлежащего уплате в расчетном году, рублей;

Вt - выручка от сделки по договору лизинга в расчетном году, рублей;

СТn - ставка налога на добавленную стоимость, процентов.

В сумму выручки включаются: амортизационные отчисления, плата за использованные кредитные ресурсы (ПК), сумма вознаграждения лизингодателю (КВ) и плата за дополнительные услуги лизингодателя, предусмотренные договором (ДУ):

Вt = АОt + ПКt + КВt + ДУt

1.2 Методы определения сметной стоимости строительства

В процессе реализации инвестиционно-строительных проектов на разных его этапах формируются следующие виды и формы стоимости – сметная, рыночная, договорная и инвентарная цена объектов строительства.

Понятие "сметная стоимость" устанавливает расчетный уровень будущих затрат заказчика на выполнение предусмотренных проектом строительно-монтажных работ. Стоимость предстоящего строительства может быть определена только на основе обобщения опыта уже выполненных строительных работ и усреднения прошлых показателей затрат подрядчиков на аналогичном строительстве, т.е. сметная стоимость является средней оценкой необходимых затрат заказчика и подрядчика на соответствующие строительные работы.

Сметная стоимость не является самостоятельным и самодостаточным элементом инвестиционного процесса, а всего лишь стоимостной оценкой заданных или принятых проектных решений, даже в случае если они не оформлены в общепринятом, привычном виде рабочих чертежей.

Сметная стоимость строительства определяется, как правило, затратными методами путем калькулирования отдельных элементов текущих затрат, норм и цен, по перечню и объему заданных, запланированных и запректированных строительных, ремонтно-строительных, монтажных и пусконаладочных работ.

Определение сметной стоимости, как расчетной величины, выполняется самостоятельно заказчиком или подрядчиком по правилам и формам наиболее целесообразным в каждом случае строительства, но общий порядок сметных расчетов в строительстве действуют практически без изменений уже почти 200 лет.

В централизованной административной системе расчет сметной стоимости (СМР) являлся основным официальным документом используемым для нужд планирования, управления, материально-технического снабжения, финансирования и учета затрат в строительстве.

В рыночных условиях хозяйствования сметная (расчетная) стоимость является только начальным, отправным пунктом договорного процесса и может стать руководящим документом по организации и финансированию строительства только при условии внесения специальной оговорки в подрядный договор между заказчиком и подрядчиком.

При составлении смет (расчетов) могут применяться следующие методы определения стоимости:

v  ресурсный;

v  базисно-индексный;

v  ресурсно-индексный;

v  базисно- компенсационный;

v  на основе банка данных о стоимости ранее построенных или запроектированных объектов-аналогов.

Ресурсный метод определения стоимости — калькулирование в текущих (прогнозных) ценах и тарифах ресурсов (элементов затрат), необходимых для реализации проектного решения. Калькулирование ведется на основе выраженной в натуральных измерителях потребности в материалах, изделиях, конструкциях, данных о расстояниях и способах их доставки на место строительства, расхода энергоносителей на технологические цели, времени эксплуатации строительных машин и их состава, затрат труда рабочих. Указанные ресурсы выделяются из состава проектных материалов, различных нормативных и других источников.

Базисно-индексный метод определения стоимости строительства основан на использовании системы текущих и прогнозных индексов по отношению к стоимости, определенной в базисном уровне.

На различных стадиях инвестиционного процесса для определения стоимости в текущем (прогнозном) уровне цен используется система текущих и прогнозных индексов, дифференцированная по элементам технологической структуры капитальных вложений и по уровню укрупнений строительной продукции.

Приведение в уровень текущих (прогнозных) цен производится путем перемножения базисной стоимости по строкам сметы и каждому из элементов технологической структуры капитальных вложений на соответствующий индекс по отрасли (подотрасли), виду работ с последующим суммированием итогов сметного документа по соответствующим графам.

Ресурсно-индексный метод — это сочетание ресурсного метода с системой индексов на ресурсы, используемые в строительстве.

Базисно-компенсационный метод основан на использовании сметных нормативных баз (ФЕР, ТЕР и другие) с пересчетом в текущие цены с помощью текущих и прогнозных индексов перечета.

Для пересчета базисной стоимости в текущие цены могут применяться следующие индексы:

- к статьям прямых затрат;

- к итогам прямых затрат или полной сметной стоимости.

Приведение в текущий уровень цен производится путем перемножения элементов прямых затрат или итогов в базисном уровне цен на соответствующий индекс пересчета с последующим суммированием итогов.

 Метод применения банка данных о стоимости ранее построенных или запроектированных объектов — это использование при проектировании объекта стоимостных данных по ранее построенным или запроектированным аналогичным зданиям и сооружениям.

1.3 Факторинг

Факторинг - комплекс финансовых услуг, оказываемых клиенту в обмен на уступку дебиторской задолженности. Комплекс финансовых услуг включает в себя финансирование поставок товаров, страхование кредитных рисков, учет состояния дебиторской задолженности и работу с дебиторами по своевременной оплате. Факторинг дает возможность покупателю отсрочить платежи, а поставщику получить основную часть оплаты за товар сразу после его поставки.

Гражданский кодекс Российской Федерации (Глава 43, ст. 824) определяет факторинговые операции следующим образом: "По договору финансирования под уступку денежного требования одна сторона (финансовый агент) передает или обязуется передать другой стороне (клиенту) денежные средства в счет денежного требования клиента (кредитора) к третьему лицу (должнику), вытекающего из предоставления клиентом товаров, выполнения им работ или оказания услуг третьему лицу, а клиент уступает или обязуется уступить финансовому агенту это денежное требование".

В конвенции УНИДРУА "О международном факторинге" (UNIDROIT Convention on International Factoring) "под факторинговым контрактом понимается контракт, заключенный между одной стороной (поставщиком) и другой стороной (финансовым агентом), в соответствии с которым:

1. Поставщик должен или может уступать финансовому агенту денежные требования, вытекающие из контрактов купли-продажи товаров, заключаемых между поставщиком и его покупателями (должниками), за исключением контрактов, которые относятся к товарам, приобретаемым преимущественно для личного, семейного и домашнего использования.

2. Финансовый агент выполняет, по меньшей мере, две из следующих функций:

·  финансирование поставщика, включая заем и предварительный платеж

·  ведение учета (бухгалтерских книг) по причитающимся суммам

·  предъявление к оплате денежных требований

·  защита от неплатежеспособности должников.

3. Должники должны быть уведомлены о состоявшейся уступке требования".

Конвенция подписана 14 государствами, ратифицирована Италией, Нигерией и Францией и вступила в силу в 1995 году. Положения, закрепленные в ней, используются законодателями многих стран в качестве основы при разработке специального правового регулирования этого вида договоров. Материалы конвенции использовались и российскими законодателями при принятии соответствующих норм Гражданского кодекса.

Упрощенно схема сотрудничества выглядит следующим образом:

1. Клиент и Фактор заключают договор факторинга

2. Фактор оценивает дебиторов клиента, задолженность которых планируется к передаче от Клиента - Фактору. Результатом оценки является лимит установленный на дебиторов и/или клиента

3. Клиент отгружает продукцию Дебиторам одобренных Фактором.

4. Клиент передает комплект отгрузочных документов (счет фактура, накладная) Фактору

5. Фактор переводит до 90% от суммы переданной поставки Клиенту на расчетный счет.

6. По истечении отсрочки платежа, при непосредственном участии Фактора в управлении дебиторской задолженностью Клиента, Дебитор расплачивается с Фактором.

7. Фактор переводит оставшиеся 10 % Клиенту

8. В зависимости от Фактора, комиссия за оказанные услуги может вычитаться из 10 % или выставляться отдельным счетом.

9. В случае если Дебитор не оплачивает поставку, Фактор ведет работу с Дебитором по взысканию долга.

Малый бизнес заинтересован в финансировании, так как его источники ограничены. Ему нужен усеченный факторинг, представляющий собой кредитование под залог дебиторской задолженности. Средний же бизнес заинтересован в инструменте увеличения объема продаж, а потому ему нужен полный коммерческий факторинг.

Эффект от факторингового обслуживания максимален в случае, если полученное финансирование направляется на закупку товара, который в свою очередь также отгружается с отсрочкой платежа, компания снова получает финансирование и т.д.

Ряд преимуществ факторинга как для поставщиков, так и для покупателей:

Для поставщика

·  Простой процесс получения финансовых средств.

·  Минимальный пакет документов.

·  Не требуются залог и поручительства.

·  Улучшение финансовых показателей.

·  Конкурентные ставки и сроки финансирования.

·  Возможность предложить покупателям более гибкие сроки оплаты товара.

Для покупателя

·  Привлечение новых клиентов.

·  Дополнительная мотивация и поддержка работы ключевых поставщиков без дополнительных рисков и затрат со стороны покупателя.

Таблица 1. Основные отличия факторинга от кредита

Кредит Факторинг
как правило, выдается под залог не требуется обеспечения
возвращается банку заемщиком погашается из средств, выплачиваемых дебитором
выдается на фиксированный срок выплачивается на срок фактической отсрочки платежа
выплачивается в обусловленный договором день выплачивается в день поставки товара
выдается на заранее обусловленную сумму размер финансирования не ограничен и может увеличиваться пропорционально росту объема продаж
необходимо оформлять/ предоставлять большое количество документов факторинговое финансирование выплачивается при предъявлении счета-фактуры и товарной накладной
банк не оказывает заемщику никаких дополнительных услуг сопровождается управлением дебиторской задолженностью

По своей сути, факторинг – это прежде всего инструмент, обеспечивающий рост продаж без риска увеличения просроченной задолженности покупателей.

Виды факторинга

Во главе классификации, включающей в себя, в том числе факторинг, находится такое понятие, как финансирование под обеспечение активами (Asset-based Finance), подразделяющееся на две группы

·  финансирование дебиторской задолженности (receivables financing)

·  финансирование под иные виды активов (Asset-based Lending)

ABF основывается на философии, которая заключается в том, что сумма займа в первую очередь зависит от стоимости обеспечения, в отличие от других форм финансирования, которые первично основываются на состоятельности и кредитоспособности самого заемщика.

ABL представляет собой структурированный продукт по выплате финансирования под обеспечение различных видов активов, начиная с традиционного для факторинга актива - дебиторской задолженности, заканчивая основными средствами, а иногда и нематериальными активами. В отличие от классического факторинга, при ABL фактор не оказывает клиенту услуг с добавленной стоимостью, ограничиваясь предоставлением денежных ресурсов.

Группа продуктов, называемых финансирование дебиторской задолженности (receivables financing), объединяет в себе

·  инвойс-дискаунтинг (invoice discounting)

·  факторинг (factoring)

Инвойс-дискаунтинг предполагает дисконтирование портфеля денежных требований на конфиденциальной основе. Иными словами, Фактор выплачивает клиенту финансирование по реестру денежных требований, ведет учет по всему портфелю, а не в разрезе каждого отдельного денежного требования (или поставки) и перекладывает на клиента функцию по управлению дебиторской задолженностью. Таким образом, инвойс-дискаунтинг является услугой по финансированию оборотного капитала и не несет в себе добавленной стоимости классического факторинга, за счет чего является более дешевой услугой.

Факторинг же имеет множество видов и форм: традиционные виды факторинга с регрессом и без регресса; факторинг без регресса без выплаты финансирования (maturity factoring); нефинансовые услуги, связанные с управлением дебиторской задолженностью; факторинг для дебиторов, в т.ч. реверсивный факторинг, конфирминг (confirming), финансирование торгового цикла (supply chain financing), а также множество иных форм.

·  регрессный факторинг. Фактор приобретает у клиента право на все суммы, причитающиеся от должника, однако в случае невозможности взыскания с должника сумм в полном объеме клиент, переуступивший такой «недоброкачественный» долг, обязан возместить фактору недостающие денежные средства. Если же с должника получен излишек по сравнению с причитающейся фактору суммой, то излишек возвращается клиенту.

·  безрегрессный факторинг — фактор приобретает у клиента право на все суммы, причитающиеся от должника. При невозможности взыскания с должника сумм в полном объеме финансовый агент потерпит убытки (правда в рамках выплаченного финансирования клиенту). По сути, это означает полный переход права собственности на право требования клиента к должнику.

В зависимости от страны нахождения участников факторинговой сделки факторинг делится на:

·  факторинг внутренний

·  факторинг международный

Факторинг называется внутренним (domestic factoring), если стороны по договору купли-продажи находятся в пределах одной страны. В операциях внутреннего факторинга обычно участвуют три стороны: Поставщик, Покупатель и Фактор.

Если же Поставщик и Покупатель являются резидентами разных государств, то речь идет о международном факторинге (international factoring).

Факторинг бывает открытым (с уведомлением дебитора об уступке) и закрытым (без уведомления). Также он бывает реальным (денежное требование существует на момент подписания договора) и консесуальным (денежное требование возникнет в будущем).

Отдельно стоит отметить конферминг (от англ. confirm — подтверждать) - продукт весьма популярный на Западе, но пока не занявший должного места в России. Данный продукт подразумевает работу с кредиторской задолженностью в виде финансирования поставщиков.


2.  Практическая часть

Задача 5

Предприятие планирует приобрести новую технологию, для чего необходимо затратить 50 млн. руб. В первые три года денежные потоки от ее использования составят соответственно 10 млн. руб., 25 млн. руб., 60 млн. руб. На четвертый год при достижении финансовой устойчивости и с целью усовершенствования выпускаемой продукции, придания ей уникальных свойств предприятие планирует провести модернизацию производства, затраты на которое составят 180 млн. руб. Как результат, в последующие три года денежные потоки составят соответственно: 100 млн. руб., 250 млн. руб., 400 млн. руб. Жизненный цикл данного инвестиционного проекта оценочно равен семи годам. Определите значение NPV, если ставка дисконтирования составит 10%.

Решение:

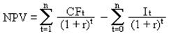
NPV, Net Present Value (Чистая текущая стоимость) - представляет собой дисконтированный показатель ценности проекта, определяемый как сумма дисконтированных значений поступлений за вычетом дисконтированных затрат, получаемых в каждом году в течение срока жизни проекта.

Метод чистой текущей стоимости (NPV) состоит в следующем.
1. Определяется текущая стоимость затрат (Io), т.е. решается вопрос, сколько инвестиций нужно зарезервировать для проекта.

2. Рассчитывается текущая стоимость будущих денежных поступлений от проекта, для чего доходы за каждый год CF (Cash Flow; денежный поток) приводятся к текущей дате.

Подытожив текущую стоимость доходов за все годы, получим общую текущую стоимость доходов от проекта (PV):


NPV, Net Present Value, чистая текущая стоимость, приведенная стоимость

3. Текущая стоимость инвестиционных затрат (Io) сравнивается с текущей стоимостью доходов (PV). Разность между ними составляет чистую текущую стоимость доходов (NPV):

NPV = PV - Io;

Если капитальные вложения, связанные с предстоящей реализацией проекта, осуществляют в несколько этапов (интервалов), то расчет показателя NPV производят по следующей формуле:

NPV, Net Present Value, чистая текущая стоимость, приведенная стоимость , где

CFt - приток денежных средств в период t;

It - сумма инвестиций (затраты) в t-ом периоде;

r - ставка дисконтирования;

n - суммарное число периодов (интервалов, шагов) t = 1, 2, ..., n (или время действия инвестиции).

r= 10%=0,1

PV1= 10/ (1+0,1)=10/1,1=9,09

PV2= 25/ (1+0,1)2=25/1,21=20,66

PV3= 60/ (1+0,1)3=60/1,331=45,08

PV5= 100/ (1+0,1)5=100/1,61051=62,09

PV6= 250/ (1+0,1)6=250/1,77156=141,12

PV7= 400 /(1+0,1)7=400/1948717=205,26

PV=9,09+20,66+45,08+62,09+141,12+205,26=483,3

I1= 50

I2(4)=180/(1+0,1)4= 180/1,4641=122,94

Io=50+122,94=172,94

NPV = 483,3-172,94=310,36

Сведем все расчеты в таблицу:

Года

CFt

(денежный

поток)

It

(инвести ции)

(1+r)t CFt/(1+r)t It/(1+r)t NPV Остаток свободных денежных средств
50 -50 -50
1 10 0 1,01 9,09 0 9,09 -40,91
2 25 0 1,21 20,66 0 20,66 -20,25
3 60 0 1,331 45,08 0 45,08 24,83
4 0 -180 1,4641 0 -122,94 -122,94 -98.11
5 100 0 1,61051 62,09 0 62,09 -36,02
6 250 0 1,77156 141,12 0 141,12 105,1
7 400 0 1,948717 205,26 0 205,26 310,36
Итого 845 -230 483,3 -172,94 310,36

Ответ: NPV=310,36 млн.руб.

Задача 15

Портфель инвестора на 45% состоит из акций А с бета-коэффициентом 0,8 и на 55% из акций Б с бета-коэффициентом – 1,55. Безрисковая ценная бумага приносит 7% дохода, доходность средней акции на рынке равна 12%. Определите требуемую доходность по портфелю инвестиций.

Решение

Под требуемой доходностью портфеля понимается средневзвешенное значение ожидаемых значений доходности ценных бумаг, входящих в портфель. Требуемая доходность инвестиционного портфеля равна:

R портфеля, % = R1 × W1 + R2 × W2 + ... + Rn × Wn ,

где Rn — ожидаемая доходность i-й акции;

Wn — удельный вес i-й акции в портфеле.

Акция А имеет доходность равную 7% по условию задачи, так как бета-коэффициент 0,8 указывает на то, что она имеет меньший риск.

Соответственно акция Б имеет доходность 12 % по условию задачи.

Rпортфеля = (0,45*0,07) + (0,55*0,12) = 0,0315 + 0,066 = 0,0975 или 9,75%

Ответ: Rпортфеля = 9,75%


ЛИТЕРАТУРА:

1.Федеральный закон №164 от 29.10.98 (в ред. от 23.12.2003) "О финансовой аренде (лизинге)"

2.Артемьев С. П., Литвин Ю. Н. Проектно-сметное дело - М.: Финансы и статистика, 2007. - 208с.

3.Бабичев С. Н., Лабзенко А. А. Большая энциклопедия российского рынка факторинга, М.2008

4.Лапыгин Ю.Н. Лизинг: Учеб. пособие /Ю.Н. Лапыгин, Е.В. Сокольник. - М.: Академ. Проект: Альма Матер, 2010.-432с.

5. Серов В.М., Ивановский В.С., Козловский А.В. Инвестиционный менеджмент: Учеб.пособие для Вузов / ГУУ - М.: ЗАО “Финстатинформ”, 2009 - 175 с.


© 2012 Рефераты, доклады и дипломные работы, курсовые работы бесплатно.