рефераты
Главная

Рефераты по международному публичному праву

Рефераты по международному частному праву

Рефераты по международным отношениям

Рефераты по культуре и искусству

Рефераты по менеджменту

Рефераты по металлургии

Рефераты по муниципальному праву

Рефераты по налогообложению

Рефераты по оккультизму и уфологии

Рефераты по педагогике

Рефераты по политологии

Рефераты по праву

Биографии

Рефераты по предпринимательству

Рефераты по психологии

Рефераты по радиоэлектронике

Рефераты по риторике

Рефераты по социологии

Рефераты по статистике

Рефераты по страхованию

Рефераты по строительству

Рефераты по таможенной системе

Сочинения по литературе и русскому языку

Рефераты по теории государства и права

Рефераты по теории организации

Рефераты по теплотехнике

Рефераты по технологии

Рефераты по товароведению

Рефераты по транспорту

Рефераты по трудовому праву

Рефераты по туризму

Рефераты по уголовному праву и процессу

Рефераты по управлению

Дипломная работа: Система управления персоналом Валуйского ОСБ №3794

Дипломная работа: Система управления персоналом Валуйского ОСБ №3794

Реферат

Результаты деятельности многих кредитных организаций и накопленный опыт их работы с кадрами показывают, что формирование рабочих коллективов, обеспечение высокого качества кадрового потенциала являются решающими факторами эффективности деятельности и конкурентоспособности банковских продуктов и услуг. Проблемы в области управления персоналом и повседневная работа с кадрами, по оценке специалистов в ближайшее время будут постоянно находиться в центре внимания руководства.

Актуальность темы дипломного проекта обусловлена тем, что вначале 21 столетия деятельность любой организации в большей степени зависит от ее сотрудников. Отражением этого в области науки и образования служит бурное развитие и широкое распространение знаний в области управления персоналом.

Целью дипломного проекта является изучение системы управления персоналом в Валуйском ОСБ №3794 и разработка рекомендаций по ее совершенствованию.

Объектом исследования является Валуйское отделение №3794 Центрально-Чернозёмного банка Сбербанка России.

В результате исследования системы управления персоналом в ОСБ №3794 были разработаны следующие рекомендации по ее совершенствованию:

1.  Ввести дополнительные должности двух ассистентов по кадровым вопросам, т.к. инспектор по кадрам физически не справляется с большим объемом работ.

2.  Перестроить деятельность кадровой службы, т.к. структура кадровой службы, качественный состав и уровень оплаты труда ее работников не соответствует задачам реализации активной кадровой политики.

3.  Внедрить отсутствующий на сегодня процесс качественного анализа персонала банка.

Для активного управления кадрами обеспечить систематический об мен информацией между различными уровнями управления по кадровым вопросам.

4.  Целенаправленно подготавливать специалистов высшей квалификации по новым и традиционным направлениям. Подготовка специалистов высшей квалификации по новым и традиционным направлениям - первоочередная проблема в области проведения кадровой политики банка. Необходимо целенаправленно вкладывать средства в развитие профессионально- технического уровня подготовки персонала для дальнейшего достижения поставленных руководством целей.

Объем дипломного проекта составил 91 страницу. Дипломный проект содержит 7 рисунков, 11 таблиц, 2 приложения и 32 использованных источника информации.


Содержание

Введение

Глава 1. Теоретические аспекты управления персоналом в коммерческом банке

1.1  Характеристика системы управления персоналом

1.2  Роль кадровой службы в системе управления персоналом

1.3  Современные подходы к управлению персоналом

Глава 2. Анализ системы управления персоналом в Валуйском ОСБ № 379439

2.1  Характеристика деятельности Валуйского ОСБ № 379439

2.2  Анализ результатов финансовой деятельности Валуйского ОСБ №379447

2.3 Анализ системы управления персоналом Валуйского ОСБ № 379460

Глава 3. Рекомендации по совершенствованию системы управления персоналом Валуйского ОСБ №379471

Заключение

Список использованных источников информации

Приложение


Введение

Как машина не может двигаться без мотора, так и управление организацией невозможно без людей, приводящих ее в действие, являющихся ее сердцем, мотором. Именно люди приводят в действие имеющиеся в распоряжении любой организации станки, машины, финансы, сырье и пр. И как мотор автомобиля, так и персонал организации может работать по-разному. Наладить работу этого «мотора» и есть первейшая задача руководства любой организации.

Актуальность темы дипломного проекта обусловлена тем, что вначале 21 столетия деятельность любой организации в большей степени зависит от ее сотрудников. Отражением этого в области науки и образования служит бурное развитие и широкое распространение знаний в области управления персоналом.

Результаты деятельности многих кредитных организаций и накопленный опыт их работы с кадрами показывают, что формирование рабочих коллективов, обеспечение высокого качества кадрового потенциала являются решающими факторами эффективности деятельности и конкурентоспособности банковских продуктов и услуг. Проблемы в области управления персоналом и повседневная работа с кадрами, по оценке специалистов в ближайшее время будут постоянно находиться в центре внимания руководства.

Система управления персоналом за последние годы претерпела серьёзные изменения. Дефицит квалифицированной рабочей силы, способной работать в новых условиях, обусловил отказ от понимания работы с кадрами, как только административной работы.

Главной задачей системы управления персоналом является обеспечение четкого выполнения персоналом задач и функций, поставленными и определенными в соответствие с целями банка. Для обеспечения полного выполнения поставленных задач персоналом в банке должна быть сформулирована кадровая политика, которая определяет стратегию кадровой работы, устанавливает точно все цели и задачи, определяет принципы подбора, расстановки и развития персонала.

Объектом исследования является Валуйское отделение №3794 Центрально-Чернозёмного банка Сбербанка России.

Предметом исследования являются существующие механизмы системы управления персоналом в ОСБ №3794.

Целью дипломного проекта является изучение системы управления персоналом в Валуйском ОСБ №3794 и разработка рекомендаций по ее совершенствованию.

Задачами исследования являются:

1.Рассмотрение теоретических аспектов работы системы управления персоналом: характеристика системы управления персоналом, роль кадровой службы в системе управления персоналом, современные подходы к управлению персоналом.

2.  Рассмотрение характеристики деятельности Валуйского ОСБ №3794.

3.  Анализ системы управления персоналом Валуйского ОСБ №3794.

4.  Разработка рекомендаций по совершенствованию системы управления персоналом Валуйского ОСБ №3794.

При написании дипломного проекта использовалась следующие литературные источники: Федосеев В.Н., Капустин С.Н. «Управление персоналом организации», Шекшня СВ. «Управление персоналом современной организации», Тавасиев A.M. «Банковское дело: управление и технологии», Кибанов А.Я. «Управление персоналом организации», Алавердов А.Р. «Управление персоналом в коммерческом банке», Самоукина Н.В. «Искусство управления персоналом банка» и д.р.

Первая глава дипломного проекта посвящена теоретическим аспектам системы управления персоналом в любой кредитной организации. Здесь рассматриваются такие вопросы, как: характеристика системы управления персоналом, роль кадровой службы в системе управления персоналом и современные подходы к управлению персоналом.

Вторая глава посвящена анализу системы управления персоналом в Валуйском ОСБ № 3794. В этой главе изложена характеристика деятельности Валуйского ОСБ №3794. Рассмотрен анализ результатов финансовой деятельности, а также анализ системы управления персоналом ОСБ №3794.

Третья глава посвящена рекомендациям по совершенствованию деятельности системы управления персоналом в Валуйском ОСБ №3794.

кадровая персонал банк управление


Глава 1. Теоретические аспекты управления персоналом

1.1 Характеристика системы управления персоналом в банке

Деятельность любой организации всегда тесно связана с людьми, которые в ней работают. Правильные принципы работы, оптимальные системы и процедуры играют важную роль. Однако успех организации зависит от конкретных людей, их знаний, компетентности, квалификации, дисциплины, мотиваций, способности решать проблемы, восприимчивости к обучению.

В то же время трудовые отношения — едва ли не одна из самых сложных проблем, особенно когда коллектив насчитывает десятки, сотни и тысячи человек. Трудовые отношения охватывают широкий круг проблем, связанных с организацией трудового процесса, подготовкой и набором кадров, выбором оптимальной системы заработной платы в организации.

Поэтому, для того чтобы организация работала эффективно, необходимо правильно организовать труд работников, при этом постоянно контролируя деятельность работников, используя различные методы управления персоналом.

Банк, будучи, целостная система, тем не менее, может быть представлен как совокупность составляющих его элементов (подсистем), естественно взаимосвязанных (взаимодействующих) друг с другом. Количество таких подсистем может быть разным.

Так, одни авторы в качестве подсистем выделяют техническую, административную (управленческую) и человеческую, или личностно-культурную. Другие в управлении банком выделяют две части: управление деятельностью банка и управление людьми. Управление деятельностью складывается из планирования деятельности, постановки задач, создания системы измерения производимой работы, контроля выполнения заданий. Управление людьми включает обеспечение сотрудничества между всеми членами трудового коллектива, кадровую политику, обучение, информирование, мотивацию работников и другие важные составные части работы руководителя.

Следовательно, систему управления персоналом нельзя отделить от системы управления деятельностью банка, так как первая включает не только функциональные подразделения, занимающиеся работой с персоналом, но и всех линейных руководителей - от управляющего банком до начальников отделов, а также руководителей функциональных подразделений, выполняющих функции технического, экономического руководства и т.п. Одним словом, система управления персоналом банка является «костяком» системы управления деятельностью банка.

В литературе можно встретить и другие варианты структурирования системы. Однако обращает на себя внимание то обстоятельство, что практически всегда выделяется кадровая составляющая как составная часть системы управления, что не является случайным. Важнейшей областью деятельности любой организации всегда была и остается обеспечение трудовыми ресурсами: привлечение рабочей силы, необходимая ее подготовка, создание условий для рационального использования.

Любой вид деятельности может быть охарактеризован конкретным перечнем составляющих ее работ. Содержание системы управления персоналом банка включает:

-определение потребности в кадрах с учетом стратегии развития банка;

-формирование численного и качественного состава кадров (система комплектования, расстановка);

-  кадровая политика;

-  система общей и профессиональной подготовки кадров;

-  адаптация работников в банке;

-  оплата и стимулирование труда, система материальной и моральной заинтересованности;

-  оценка деятельности и аттестация кадров, ориентация ее на поощрение и продвижение работников по результатам труда и ценности работника для банка;

-  система развития кадров (подготовка и переподготовка, обеспечение профессионально-квалификационного роста через планирование рабочей (трудовой) карьеры;

-  межличностные отношения между работниками;

-  деятельность многофункциональной кадровой службы как органа, ответственного за обеспечение банка работниками и за надежную социальную защиту сотрудников.

Основными целями системы управления персоналом банка являются:

-  повышение конкурентоспособности банка в рыночных условиях;

-  повышение эффективности труда, в частности достижение максимальной прибыли;

-  обеспечение высокой социальной эффективности функционирования коллектива.

Успешное выполнение поставленных целей требует решения таких задач, как:

-  обеспечение потребности банка в работниках в необходимых объемах и требуемой квалификации;

-  полное и эффективное использование потенциала работника и коллектива в целом;

-  обеспечение условий для высокопроизводительного труда, высокого уровня его организованности, мотивированности, самодисциплины, выработка у работника привычки к взаимодействию и сотрудничеству;

-  закрепление работника в банке, формирование стабильного коллектива как условие окупаемости средств, затрачиваемых на работников (привлечение, развитие персонала);

-  обеспечение реализации потребностей и интересов работников в отношении содержания труда, условий труда, вида занятости, возможности профессионально-квалификационного и должностного продвижения и т.п.;

-  повышение эффективности управления персоналом, достижение целей управления при сокращении издержек на работников.

Эффективность управления персоналом, наиболее полная реализация поставленных целей, во многом зависят от выбора вариантов построения самой системы управления персоналом банка, познания механизма ее функционирования, выбора наиболее оптимальных технологий и методов работы с людьми.

Любая система, ее вещественная и личностная составляющие находятся под воздействием многих факторов. Изменяются техника и технология, которые определяют требования к работникам (персоналу), направленность ее специальной подготовки, уровень квалификации и т.д. Состав персонала изменяется под действием как объективных, так и субъективных факторов (например, происходит смена состава работников под влиянием текучести кадров, естественный и непрерывный процесс квалификационного роста, меняются мотивационные посылки в отношении к труду и т.д.). Возникает необходимость в постоянном управленческом воздействии на структуру рабочих мест, на численность и состав работников.

Специфический вид управленческой деятельности, объектом которой является коллектив работников - персонал, получил название управления персоналом (кадрами).

В научной литературе и на практике широко используются и другие понятия: управление трудовыми ресурсами, управление кадрами, управление человеческими ресурсами, управление человеческим фактором, кадровая политика, кадровая работа и др., так или иначе относящиеся к трудовой деятельности человека, управлению его поведением в организации.

Всякая система, в общем, виде, имеет входное воздействие, систему обработки информации, конечные результаты, обратную связь, а также субъект и объект управления. Субъект управления осуществляет входную связь, а объект управления, посредством, канала связи воспринимает и обрабатывает полученную информацию. Обратная связь нужна для того, чтобы оценить насколько правильно была передана информация и как точно её понял объект управления. Под субъектом управления понимается руководитель. Под объектом управления подразумевается персонал, исполнители, выполняющие распоряжение своих начальников.

Руководители дают задания своим подчинённым и в конце установленного периода ждут от них результатов, т.е. в данном случае происходит процесс обмена информацией, так называемый коммуникацией.

Коммуникация или процесс передачи информации от человека, группы или организации другому человеку, группе или организации, лежит в основе функционирования любой организации и пронизывает все системы управления человеческими ресурсами. Современный руководитель тратит 48 минут каждого часа своего рабочего времени на общение с подчиненными, коллегами, начальством. Таким образом, 80 процентов его времени уходит на коммуникацию, и от того насколько она эффективна, во многом зависит эффективность работы всей организации.

В силу своей исключительной роли в обеспечении эффективного функционирования всех организационных процессов коммуникация сама по себе является важнейшим процессом и требует особых методов управления. Коммуникационный процесс предполагает наличие отправителя информации, получателя информации и процесса обмена информацией.

Следовательно, такое явление как коммуникационный процесс оказывает большое влияние на систему управления персоналом банка и любой другой организации, так как благодаря общению со своими подчиненными и коллегами руководитель зачастую получает информацию, на основе которой он принимает эффективные решения и доводит принятые решения до работников банка. Руководители также в процессе общения со своими подчиненными могут оценить их деятельность, а так же то, на сколько правильно подчинённые поняли поставленную перед ними задачу и, насколько правильно она была сформулирована самим руководителем.

Реализация целей и задач системы управления персоналом осуществляется через кадровую политику. Кадровая политика - главное направление в работе с кадрами, набор основополагающих принципов, которые реализуются кадровой службой банка. В этом отношении кадровая политика представляет собой стратегическую линию поведения в работе с персоналом.

Под кадровой политикой в настоящее время понимается единство двух основных мер:

-  обеспечение всех подразделений организации необходимой и качественной рабочей силой;

-  обеспечение мотивации сотрудников на достижение высоких результатов трудовой деятельности.

Кадровая политика определяется собственником организации, высшим руководством, кадровыми службами. Разновидностями кадровой политики в банке являются:

-  политика в отношении найма персонала;

-  в отношении обучения персонала;

-  в отношении оплаты труда;

-  в отношении социальных отношений и т.п.

Кадровая политика банка определяется рядом факторов, которые делятся нам внешние и внутренние.

К внешним факторам относятся:

-  ситуация на рынке труда;

-  спрос на рабочую силу со стороны конкурентов;

-  требования трудового законодательства и т.д. Внутренними факторами являются следующие:

-  стратегия развития банка;

-  финансовые возможности;

-  уровень издержек на управление персоналом;

-количественные и качественные характеристики имеющегося персонала и направленность их изменения в перспективе.

Главным объектом кадровой политики в банковской сфере является -персонал (кадры). Персоналом любой организации называется основной (штатный) состав его работников. Кадры — это главный и решающий фактор в банковской деятельности. От квалификации работников, их профессиональной подготовки, деловых качеств в значительной мере зависит эффективность деятельности банка.

Постепенно управление персоналом перерастает в стратегическую функцию менеджмента организации, сохранив при этом, классические инструменты работы с кадрами: количественное и качественное планирование персонала; привлечение рабочей силы; повышение квалификации; кадровый контроль и т.д. Это определяет две основные цели кадровой политики:

-  решение задач формируемых под влиянием окружающей внешней среды (рынка труда, выполнения обязательств перед государственными и местными органами власти и т.п.);

-  решение внутренних организационных задач (вовлечение сотрудников в управление организацией, решение социальных проблем, совершенствование стиля руководства, повышение уровня профессиональных знаний и навыков сотрудников и т.д.).

При усилении роли функции управления персоналом в менеджменте организации кадровая политика ориентируется на решение следующих перспективных задач:

-  сравнение существующих и перспективных требований к вакантным должностям и кадровому составу;

-  количественное и качественное планирование штатных должностей;

-  организация профессионального кадрового маркетинга;

-  введение в специальность и адаптация сотрудников;

-  повышение квалификации;

-  структурирование и планирование расходов на персонал;

-  управление структурой материального вознаграждения и морального поощрения;

-  определение уровней руководства.5

Решение этих задач направлено на усиление способности персонала по внедрению новаций, повышение эффективности управления, содействие росту конкурентоспособности банка на рынке. Известно, что вопросы организационной и социальной структуры занимают около 40% в задачах обеспечения конкурентоспособности банка. При этом влияние на конкурентоспособность производительности труда менее значительно и не превышает 20%. Важной задачей является оценка способности руководящих кадров адаптироваться к динамичным изменениям экономической ситуации как внутри банка, так и во внешней среде.

Внешняя среда, в которой действует организация, находится в постоянном движении - изменяются техника, клиенты, конкуренты. Изменяются сами люди - настоящие и потенциальные работники организации. Система управления персоналом, хорошо сочетавшаяся с внешней средой несколько лет назад, может находиться в состоянии острого конфликта с ней сегодня. Организация должна постоянно контролировать степень этого несоответствия и вносить коррективы в свою систему, чтобы не допустить кризиса.

В этих условиях одной из основных задач специалиста по управлению персоналом становится консультирование по вопросам развития банка и основным тенденциям кадровой политики, направленной на достижение долгосрочных целей. Последнее обусловлено тем, что возрастающая сложность банковской деятельности приводит к «моральному износу» и «устареванию» рабочей силы. Под «устареванием» в этом случае понимают использование банковских работников теорий, понятий и методов, которые являются менее эффективными, чем принятые в настоящее время. При «профессиональном устаревании» знания работника в широкой профессиональной сфере деятельности отстают от совокупности знаний, существующих в этой области. «Устаревание по должности» свидетельствует о несоответствии уровня технических знаний, которыми обладает специалист, занимающий определенную должность, и этих знаний, требуемых должности. «Устаревшие» специалисты и менеджеры принимают, как правило, неэффективные решения, что влечет за собой снижение конкурентоспособности и, в конечном счете, приводит банк к серьезным финансовым потерям.

1.2 Роль кадровой службы в системе управления персоналом

Управлением персоналом в организации занимается кадровая служба.

Кадровая служба - это совокупность специализированных структур, подразделений вместе с занятыми в них должностными лицами, призванными управлять персоналом в рамках избранной кадровой политики.

Служба управления персоналом организации является основным структурным подразделением по управлению кадрами, на которое возложены функции по приему и увольнению работников, а также по организации их обучения, повышения квалификации и переподготовки.

В прошлом кадровая служба в нашей стране в лучшем случае сохраняла деньги организации, заполняя правильно все бумаги, чтобы оградить организацию от судебных разбирательств с работниками. Теперь служба управления персоналом приносит прибыль организации тем, что она облегчает реализацию ее стратегии.

Служба управления персоналом организации преследует следующие цели:

1.  Обеспечение организации хорошо подготовленными и заинтересованными в труде служащими.

2.  Эффективное использование работоспособности, квалификации, практического опыта и мастерства всех служащих в организации.

3.  Достижение максимальной отзывчивости служащих на цели и нужды организации, сближение интересов работников и ожиданий организации, связанных с его деятельностью.

4.  Систематическое доведение до служащих политики организации и собственной политики службы управления персоналом.

Кадровая служба нужна, в конечном итоге для: сосредоточения усилий работников на выполнении намеченных стратегий организации; обеспечения эффективного использования интеллектуальных и физических возможностей работников, реализацию их потенциала; укрепления трудовых отношений в духе сотрудничества и улучшения морального климата в коллективе.

Что касается системы управления коммерческим банком, то здесь служба персонала занимает особое место. Важнейшей особенностью кредитных организаций являются исключительно жесткие требования к эффективности менеджмента персонала, за организацию и текущую эксплуатацию которого непосредственно отвечает именно эта специализированная штабная служба. К сожалению, до настоящего времени руководство далеко не всех российских банков в полной мере осознало необходимость приоритетного внимания к работе службы персонала и продолжает ориентироваться на дублирование схем ее организации и функционирования, традиционных для других отраслей и сфер деятельности. Лишь немногие крупные банки, руководство которых уже приобрело достаточный опыт цивилизованного менеджмента, в том числе - в результате постоянного общения со своими зарубежными коллегами, начали изменять отношения к системе управления персоналом, а, следовательно, и к курирующей ее службе. В остальных же кредитных организациях, особенно удаленных от финансовых центров страны, служба персонала сохраняет характерные признаки отдела кадров государственного предприятия.

Прежде всего, игнорируется или носит, в лучшем случае, чисто абстрактный характер базовая функциональная задача данного подразделения - формирование долгосрочной стратегии управления персоналом, структурированной по конкретным его направлениям. Иногда роль подобной стратегии выполняет материал общепостановочного характера, формирующий некий набор «пожеланий» банка к своему персоналу. Из-за отсутствия четкой программы деятельности службы персонала по эксплуатации и развитию менеджмента персонала, ее функциональные обязанности чаще всего сужены до чисто технических - преимущественно регистрационно-контрольных. Остальные же прикладные задачи управления персоналом вынужденно решаются руководителями соответствующих подразделений, которые самостоятельно ищут необходимых специалистов, организуют повышение их квалификации, работают с резервом на выдвижение и при этом еще отчитываются перед службой персонала, о результатах выполненной за нее же работы. Естественно, что подобная практика формирует совершенно определенное отношение у специалистов банка к рассматриваемой службе и, заодно, к менеджменту персонала в целом.

Следует отметить, что основной причиной подобной негативной ситуации отнюдь не всегда являются собственные недостатки службы персонала и ее руководителя, хотя подобные факты тоже имеют место.

По уже определенным причинам в большинстве банков должностной статус руководителя службы персонала явно недостаточен для эффективного исполнения всего перечня установленных для нее функций. В любом зарубежном банке данный руководитель занимает пост вице-президента (заместителя управляющего и т.п.). Это помогает ему быть в курсе любых изменений во внутренней и внешней политике банка, которые могут указать прямое влияние на стратегию и тактику управления персоналом. Но главным преимуществом подобного статуса является возможность осуществлять функциональное руководство деятельностью всех прочих структурных подразделений банка по любым вопросам кадрового направления его деятельности.

Сохранение подобной ситуации объективно не позволяет обеспечить практическую реализацию как общих, так и локальных задач менеджмента персонала. Более того, любые мероприятия в области совершенствования рассматриваемого направления банковского менеджмента должны начинаться именно с принципиальной реорганизации службы персонала.

Традиционная организация службы управления персоналом в большинстве отечественных банков, как уже отмечалось, ориентирована на исполнение в основном регистрационно-контрольных функций, что и определяет требования к ее комплексной реорганизации. Приведенная ниже организационная структура управления (ОСУ) данного подразделения отражает новые условия его деятельности и сформирована в соответствии с общими требованиями банковского менеджмента (Рис. 1).

Данная ОСУ носит типовой характер и должна быть «привязана» (т.е. скорректирована) в соответствии со спецификой деятельности конкретного банка - его размерами, наличием филиалов, перспективами развития и т.п. Например, в небольшом банке каждая из специализированных служб в составе подразделения может состоять лишь из одного специалиста, в крупной организации служба персонала может быть развернута в департамент (управление), а его структурные подразделения - в группы или отделы. Для банков, имеющих региональные отделения и филиалы, в составе соответствующего департамента в обязательном порядке формируется служба, обеспечивающая:

-  реализацию корпоративных задач кредитной организации по кадровому направлению деятельности;

-  оказание методической помощи децентрализованным кадровым службам в соответствующих филиалах, включая и дополнительное обучение сотрудников.

Однако сама по себе ОСУ является лишь внешним отражением внутренней структуры управления соответствующего подразделения.

Для формального закрепления статуса рассматриваемой службы в комплексной системе управления банком в целом необходимо разработать и утвердить специальный документ, чаще всего определяемый как «Положение о службе персонала». В отличие от своих прежних аналогов оно должно быть полностью избавлено от элементов общетеоретического и лозунгового характера и иметь строго функциональную структуру, типовая форма которой приведена ниже:

-  общая часть - полное наименование подразделения, кому из высшего руководства банка прямо подчинено, кем непосредственно возглавляется, порядок назначения и смещения с должности руководителя;

-  функциональные обязанности подразделения в системе управления, ранжированные по степени их важности;

-  права объективно необходимые службе для эффективного исполнения возложенных на неё функций, прежде всего, в части взаимоотношений с другими подразделениями банка, например, по вопросам передачи информации, проведения аттестаций сотрудников и т.п.;

-ответственность (административная и экономическая) за не надлежащее исполнение установленных функций или нереализацию прав;

-приложения - утверждённая ОСУ службы персонала и полный комплект должностных инструкций её сотрудников.

Необходимой предпосылкой эффективной деятельности службы персонала является её ресурсное обеспечение, основными направлениями которого выступают:

-  информационное обеспечение со стороны, как администрации банка, так и его структурных подразделений, элементами которого выступают постоянные и переменные информационные массивы, формализованные ин формационные каналы и механизм ответственности за нарушение процедур передачи информации;

-  трудовое обеспечение, включающее в себя не только процесс привлечения в подразделение сотрудников всех необходимых в соответствии с но вой ОСУ специальностей, но и систематическое повышение их профессиональной квалификации;

-материальное обеспечение - выделение необходимых службе помещений, оргтехники, информационных коммуникаций и т.п.;

- финансовое обеспечение - как процесс своевременного финансирования деятельности подразделения, включая не только оплату труда его персонала, но и затраты, связанные с исполнением установленных функций, например, по работе с образовательными учреждениями, консалтинговыми фирмами, привлечёнными экспертами и пр.

Наконец, одним из важных элементов повышения эффективности менеджмента персонала по данному направлению, является обеспечение развития службы персонала. Конкретные цели и пути развития определяются соответствующей стратегией банка и зависят от его текущих возможностей. Развитие службы персонала может осуществляться при этом путём как прямого увеличения её штата (например, при быстром расширении банка), так и качественного изменения выполняемых функций (например, в форме создания собственного учебного центра, развития интеграционных отношений по вопросам кадрового обеспечения с другими кредитными организациями и т.п.). Указанные выше цели и направления развития целесообразно закреплять в утверждаемом руководством банка документе программного характера, определяющим перспективные задачи, стоящие перед службой персонала, в том числе и на вариантной основе.

В числе основных функций службы управления персоналом банка можно выделить следующие:

-  функции службы управления персоналом в формировании кадровой политики банка;

-  перспективное и текущее планирование персонала;

-  отбор и первичное развитие персонала;

-  организация процесса дальнейшего развития персонала;

-  оценка результатов деятельности персонала;

-  формирование и развитие резерва на выдвижение;

-  совершенствование организации и оплаты труда персонала;

-  обеспечение социально-психологической поддержки процесса управления персоналом;

-  регистрационные функции;

-  юридические функции.

Функции службы управления персоналом в формировании кадровой политики банка.

Общие требования к процессу формирования кадровой политики можно определить следующим образом:

-наряду со стратегическими целями по кадровому направлению деятельности кадровая политика банка должна отражать перечень основных подходов к их практической реализации;

-  кадровая политика должна учитывать не только специфику банковской сферы в части решения кадровых проблем, но и особенности конкретного банка, прежде всего его реальные возможности по ресурсному обеспечению менеджмента персонала в текущих условиях на перспективу;

-  в формировании кадровой политики должны принимать активное участие не только высшее руководство банка и служба персонала, но и руководители линейных подразделений (департаментов, отделов и т.п.);

-  необходимым элементом кадровой политики должна являться рабочая программа её практической реализации, содержащая сведения о конкретных исполнителях, сроках и выделяемых ресурсах.

Общий перечень мероприятий, охватываемых кадровой политикой, однотипен для большинства коммерческих банков. Поэтому важнейшей задачей службы персонала как координирующего центра по данному направлению деятельности служит рациональное определение приоритетов в ее практической реализации. Для одного банка наиболее уязвимым местом в системе управления персоналом является неукомплектованность ключевых структурных подразделений, для другого - недостаточная квалификация персонала, либо неблагоприятный психологический климат в трудовом коллективе. Естественно, что комплексный подход является общим методическим условием формирования любой системы управления, но реальные потребности банка и объективные ресурсные ограничения диктуют необходимость первоочередной ликвидации так называемых «болевых точек» и лишь затем — доведения до желаемого оптимума остальных элементов.

Следует учитывать, что вопросы стратегии по любым направлениям банковского менеджмента находятся в исключительной компетенции высших органов управления, чаще всего - Правления банка. Исходя из этого можно определить следующие прикладные задачи службы персонала по данному элементу менеджмента персонала:

-  подготовка предложений по ключевым элементам стратегии управления персоналом (с необходимым обоснованием) и передача их на согласование вышестоящей инстанции;

-  участие в обсуждении, указанных элементов, корректировка их с учётом полученных замечаний, формирование целостной стратегии управления и подготовка её к утверждению Правлением банка;

-обеспечение практической реализации утверждённой стратегии. Перспективное и текущее планирование персонала.

Основной задачей службы персонала по данному направлению деятельности является разработка, согласование и оперативная корректировка плановых документов, отражающих текущие и перспективные потребности банка в трудовых ресурсах. Эффективность выполнения этой задачи определяется, прежде всего, наличием у службы персонала полной и своевременно обновляемой информации со стороны двух уровней управления:

-  дирекции банка - в части стратегии его развития, определяющей перспективные изменения потребностей в трудовых ресурсах;

-  руководства линейных и штабных структурных подразделений - в части изменения их текущих потребностей в сотрудниках конкретных специализаций и уровня квалификации.

При наличии подобной информации, предварительно систематизированной и обобщённой, служба персонала должна чётко спланировать процесс найма или сокращения сотрудников по принципиальной схеме:

-  «когда» (планируемый срок найма);

-  «куда» (для какого структурного подразделения);

-  «кого» (требования к вакантному рабочему месту).

Эти данные предназначены для использования в первую очередь самой службой персонала в процессе её текущей работы, но могут иметь практическую ценность и для других штабных служб, например - финансово-экономической при расчёте изменения потребностей банка в финансовых ресурсах по содержанию персонала.

В качестве источников привлечения кадров для работы в банке рассматриваются различные сегменты рынка труда банковских работников. Этот рынок в России прошел несколько «циклов жизни». В нем можно выделить 3 основных сегмента:

-  выпускники профильных учебных заведений, соответствующих своей специальной подготовкой требованиям к персоналу со стороны коммерческих банков;

-  временно не занятые банковские служащие, а также работники банков, готовые сменить место работы по причине неудовлетворенности материальным положением или социальным статусом;

-  трудовые ресурсы без специального образования и опыта работы в банковской сфере.

Отбор и первичное развитие.

Это одна из «классических» функций службы персонала в условиях рыночной экономики с характерной для неё конкуренцией на рынке трудовых ресурсов, особенно среди претендентов на работу в структурах с традиционно высоким уровнем оплаты труда. Для отечественных условий она особенно актуальна из-за ограниченного предложения на вышеуказанном рынке профессионально подготовленных специалистов. Эффективность выполнения данной функции зависит, прежде всего, от квалификации и деловой активности соответствующих сотрудников рассматриваемой службы, а также наличия у них:

-отработанных методик привлечения персонала, обеспечивающих возможность именно отбора, а не автоматического зачисления в штат первого же, часто - единственного кандидата на замещение вакантного рабочего места;

-  системы критериев отбора, позволяющих существенно сократить вероятность зачисления в постоянный штат сотрудников, недостаточно компетентных или изначально непригодных для работы в финансовых структурах;

-  типовых процедур первичного развития персонала, обеспечивающих возможность скорейшей адаптации вновь нанятых сотрудников.

Последнее условие представляет для службы персонала наибольшую практическую сложность. Процесс первичного развития персонала нацелен на скорейшую адаптацию прошедшего конкурсный отбор и процедуру найма работника на новом рабочем месте. Процесс адаптации работника включает несколько стадий:

-  ознакомление с общей ситуацией в банке;

-  приспособления к условиям работы и усвоения внутреннего регламента банка;

-  полного приспособления к обстановке;

-  идентификации (отождествления личных целей с целями коллектива).

Новый работник банка проходит 3 вида адаптации: социально-психологическую, психофизиологическую, профессиональную. В результате социально-психологической адаптации работник полностью признает и выполняет нормы корпоративной культуры и этики взаимоотношений в банке. Прохождение психофизиологической адаптации связано с приспособлением к режиму работы, санитарно-гигиеническим условиям, организации рабочего места. Завершение профессиональной адаптации позволяет полностью освоить технологическое содержание исполняемой операции.

Организация процесса дальнейшего развития персонала.

В отечественных условиях этот процесс обычно организовывался внутри структурных подразделений организации. Отдел кадров же выполнял лишь регистрационные функции, оформляя принятые без его прямого участия решения. Таким образом, процесс развития персонала имел четко выраженный децентрализованный характер, и его конечные результаты полностью зависели от компетентности, а чаще - от объёма текущей загрузки, руководителей структурных подразделений. Требования системного управления обуславливают необходимость централизации данного процесса с передачей службе персонала функций организующего, координирующего и контролирующего центра. Указанные выше функции, прежде всего, реализуются в рамках первого элемента процесса развития персонала — его профессиональной переподготовки и повышения квалификации. Служба персонала должна полностью принять на себя:

-  определение оптимальных для различных категорий и специальностей персонала форм переподготовки, повышения квалификации и стажировок;

-  определение профильных образовательных учреждений (вузов, центров переподготовки и т.п.), а также мест проведения стажировок с последующим заключением соответствующих соглашений и договора»;

-  планирование процесса дополнительного обучения персонала в форме разработки соответствующих графиков, согласованных с заинтересованными структурными подразделениями;

-  общий контроль за процессом дополнительного обучения, включая и персонифицированные его результаты.

По другому направлению развития персонала - должностным перемещениям, кадровая служба должна выполнять, в основном, функции методолога, обеспечивая руководство структурных подразделений соответствующими рекомендациями по практической организации данного процесса. Кроме того, специалисты этой службы должны принимать прямое участие в мероприятиях подготовительного и контрольного характера, например аттестациях по результатам завершённого обучения или стажировки, а также обеспечивать оперативную реализацию принятых решений о конкретных должностных перемещениях.

Оценка результатов деятельности персонала.

Данная функция, вполне традиционная для кадровых служб зарубежных фирм, в отечественных условиях также не получила широкого распространения. До настоящего времени она была ограничена выборочными проверками состояния трудовой дисциплины, а также достаточно формальными по характеру аттестациями, на которых сотрудники службы персонала обычно присутствовали как сторонние наблюдатели. Результаты непосредственной деятельности конкретных сотрудников банка обычно не выходили за рамки соответствующих подразделений и, следовательно, не могли служить исходными данными для обобщающего анализа и централизованной корректировки системы управления персоналом.

Естественно, что результаты текущей работы сотрудников не могут выступать объектом прямой оценки со стороны службы персонала. Однако итоговые оценки их деятельности за достаточно продолжительный период имеют несомненную практическую ценность в рамках системы. Непосредственными задачами службы поданному направлению деятельности выступают:

-  разработка унифицированной для банка методики обобщающей оценки результатов деятельности сотрудников за определённый период времени;

-  подготовка формализованной номенклатуры типовых управленческих решений по результатам данной оценки в части, касающейся как оцениваемого сотрудника, так и системы управления персоналом на уровне подразделения и банка в целом.

Формирование и развитие резерва на выдвижение.

Специфика практической реализации данной функции службы персонала определяется относительно непродолжительным периодом функционирования отечественных коммерческих банков, что объективно препятствует использованию большинства традиционных методов формирования рассматриваемого резерва. Прежде всего, это относится к механизму «последовательного цикла должностных перемещений» кандидатов на замещение руководящих должностей по заранее установленному перечню ключевых рабочих мест, позволяющему им на практике ознакомиться со всеми аспектами деятельности банка, включая комплекс его внутренних управленческих взаимосвязей. В таких условиях службе персонала целесообразно сосредоточить внимание на процедурах отбора кандидатов в состав резерва на выдвижение и ускоренного повышения их профессиональной, в том числе - управленческой квалификации не столько внутри, сколько вне банка - в форме дополнительного обучения и целевых стажировок. Эффективность реализации рассматриваемой функции во многом будет зависеть от степени доверительности отношений с высшим руководством банка. Лишь от него служба персонала может получать информацию (абсолютно закрытую для иных подразделений и сотрудников) о первоочередных потребностях банка в замещении руководящих должностей среднего и высшего звена, без которой невозможно планировать конкретные сроки подготовки тех или иных кандидатов из состава кадрового резерва.

Совершенствование организации и оплаты труда персонала.

Данная функция до настоящего времени является абсолютно нехарактерной для кадровых служб отечественных банков. В дореформенный период этими вопросами традиционно занимались специализированные подразделения в составе отделов научной организации труда или труда и заработной платы. Однако в зарубежных банках они находятся в прямой компетенции именно службы персонала. Это представляется полностью оправданным и для современных отечественных условий, не допускающих содержания штабных служб с весьма неопределёнными функциями и нерегулярной производственной загрузкой. Эффективность данного направления деятельности службы персонала зависит от ряда факторов, к важнейшим из которых следует отнести:

-  наличие в составе службы компетентного специалиста в области организации и оплаты труда;

-  возможность доступа специалистов службы персонала к внутренней управленческой информации структурных подразделений банка;

- обеспеченность службы персонала аналогичной информацией внешнего для банка уровня (например, о результатах внедрения прогрессивных форм оплаты труда в других кредитно-финансовых организациях).

Следует также отметить, что именно в этой области менеджмента персонала зарубежный опыт может использоваться лишь в незначительной степени, прежде всего из-за специфического менталитета значительной части отечественного персонала.

Обеспечение социально-психологической поддержки процесса управления персоналом.

Данное направление деятельности службы персонала особенно актуально для кредитных организаций с традиционным для них стрессовым характером работы большинства специалистов, Возможность практического осуществления указанной функции зависит от ряда факторов и в первую очередь - наличия в составе рассматриваемой службы квалифицированного психолога, наделённого необходимыми полномочиями для эффективного исполнения своих профессиональных обязанностей. Не менее важную роль играет чисто финансовые возможности конкретного банка по реализации программ социальной поддержки трудового коллектива.

Спецификой реализации рассматриваемой функции является необходимость постоянного взаимодействия службы персонала не только с руководством банка и его структурных подразделений, но и с общественными организациями, например, профсоюзом, что пока совершенно нехарактерно для отечественной банковской сферы.

Регистрационные функции.

Одна из немногих «классических» функций службы персонала, практически реализуемая во всех отечественных банках на достаточно высоком профессиональном уровне. Это во многом объясняется особенностями российского трудового законодательства, устанавливающего повышенные требования именно к формальным признакам работы с кадрами. Наиболее актуальным направлением совершенствования является полная автоматизация процесса исполнения соответствующих функций, а также учёт требований, связанных с обеспечением банковской безопасности.

Юридические функции.

Юридический аспект трудовых отношений между администрацией банка и наёмным персоналом в отечественных условиях чаще всего выведен из компетенции кадровой службы. Соответствующие функции выполняются юридическим отделом, привлекаемым службой персонала в тех редких случаях, когда увольняемый сотрудник обращается в судебные инстанции.

В условиях рыночной экономики наличие в штате службы персонала квалифицированного юриста, специализирующегося именно в области трудового законодательства, становится объективной необходимостью. До настоящего времени российские банки в системном порядке ещё не сталкивались с ситуацией, когда истцом в суде выступает отраслевой профсоюз, имеющий в зарубежных условиях целый штат квалифицированных юристов или адвокат конкретного сотрудника. При этом сумма иска может существенно превышать фактически неполученную работником зарплату (например, при незаконном его увольнении и т.п.), за счет включения в неё компенсации за моральный ущерб. Вероятность предъявления подобных исков увеличивается по мере развития отечественного рынка труда и повышения правовой культуры персонала. Дополнительным фактором выступает общее усложнение системы менеджмента персонала, включающей в новых условиях многие спорные, с позиции наёмного работника, элементы - испытательный срок, скользящий должностной оклад и т.п.

При этом следует учитывать и специфику действующего трудового законодательства, стоящего на страже интересов, прежде всего работника и тем более - трудовых коллективов, но никак не работодателя.

Рассмотренный перечень не исчерпывает, естественно, всевозможные функции службы персонала и может быть расширен в зависимости от специфики деятельности конкретного банка. Например, в крупнейших банках, имеющих многочисленные иногородние отделения и филиалы, на централизованную службу персонала возлагаются функции по руководству децентрализованными структурными подразделениями на местах. Тем не менее, основным содержанием деятельности кадровых служб всегда будут являться функции, вытекающие из структуры операционных подсистем менеджмента персонала.

1.3 Современные подходы к управлению персоналом

Деятельность по управлению персоналом - целенаправленное воздействие на человеческую составляющую организации, ориентированное на приведение в соответствие возможностей персонала и целей, стратегий, условий развития организации.

Одна из важнейших составных управленческой деятельности - управление персоналом, как правило, основывается на концепции управления - обобщенном представлении о месте человека в организации. В теории и практике управления человеческой стороной организации можно выделить четыре концепции, которые развивались в рамках трех основных подходов к управлению персоналом - экономического, организационного и гуманистического.

Экономический подход.

Экономический подход к управлению персоналом дал начало концепции использования трудовых ресурсов. В рамках этого подхода ведущее место занимает техническая (в общем случае инструментальная, т. е. направленная на овладение трудовыми приемами), а не управленческая подготовка людей в банке. Организация здесь означает упорядоченность отношений между ясно очерченными частями целого, имеющими определенный порядок. В сущности, организация - это набор механических отношений, и действовать она должна подобно механизму: алгоритмизировано, эффективно, надежно и предсказуемо.

Среди основных принципов концепции использования трудовых ресурсов можно выделить следующие:

-  обеспечение единства руководства - подчиненные получают приказы только от одного начальника;

-  соблюдение строгой управленческой вертикали - цепь управления от начальника к подчиненному спускается сверху вниз по всей организации и используется как канал для коммуникации и принятия решения;

-  фиксирование необходимого и достаточного объема контроля - число людей, подчиненных одному начальнику, должно быть таким, чтобы это не создавало проблемы для коммуникации и координации;

-  соблюдение четкого разделения штабной и линейной структур организации - штабной персонал, отвечая за содержание деятельности, ни при каких обстоятельствах не может осуществлять властных полномочий, которыми наделены линейные руководители;

-  достижение баланса между властью и ответственностью - бессмыслен но делать кого-либо ответственным за какую-либо работу, если ему не даны соответствующие полномочия;

-  обеспечение дисциплины - подчинение, исполнительность, энергия и проявление внешних знаков уважения должны осуществляться в соответствии с принятыми правилами и обычаями;

-  достижение подчинения индивидуальных интересов общему делу с помощью твердости, личного примера, честных соглашений и постоянного контроля;

-  обеспечение равенства на каждом уровне организации, основанного на доброжелательности и справедливости, чтобы вдохновить персонал к эффективному исполнению своих обязанностей;

-  заслуженное вознаграждение, повышающее моральное состояние, но не ведущее к переоплате или перемотивированию.

В табл. 1 представлено краткое описание экономического подхода к управлению.


Таблица 1 Характеристика условий эффективности и особых затруднений в рамках экономического подхода

Организационный подход.

В рамках организационной парадигмы последовательно сложились концепция управления персоналом и концепция управления человеческими ресурсами. Именно организационный подход обозначил новую перспективу управления персоналом, выведя этот тип управленческой деятельности далеко за рамки традиционных функций организации труда и зарплаты. Кадровая функция из регистрационно-контрольной постепенно стала развивающей и распространилась на поиск и подбор работников, планирование карьеры значимых для организации фигур, оценку работников управленческого аппарата, повышение их квалификации.

Акцентирование внимания на человеческом ресурсе способствовало рождению нового представления об организации. Она стала восприниматься как живая система, существующая в окружающей среде. В этой связи использовались, как минимум, две аналогии, способствовавшие развитию нового взгляда на организационную реальность.

Первая, исходившая из отождествления организации с человеческой личностью, ввела в научный оборот такие ключевые понятия, как цели, потребности, мотивы, а также рождение, взросление, старение и смерть или возрождение организации.

Вторая, приняв в качестве образца для описания организационной реальности функционирование человеческого мозга («организация как мозг, перерабатывающий информацию»), позволила взглянуть на организацию как на собрание частей, соединенных линиями управления, коммуникации и контроля.

Аналогия с мозгом позволила совершенно иначе представить как организационную реальность в целом, так и управление персоналом в частности. Если воспользоваться метафорой голограммы, в любой части которой содержится изображение в целом, то легко заметить, что различные части мозга специализируются на разных видах активности, но контроль над конкретным поведением не локализован. Главный секрет мозга - не дифференциация и узкая специализация, а системность и комплексность, для которых важны связи, в каждый момент создаваемые в избыточном количестве. Отсюда можно сформулировать следующие принципы голографического структурирования организации:

-  хранить целое организации в каждой ее части (в подразделении и вплоть до каждого работника);

-  создавать множественные связи между частями организации (причем избыточные);

-  развивать одновременно и специализацию персонала, и его универсализацию (не забывая о том, насколько все должны знать и уметь делать все);

-  создавать условия для самоорганизации каждого работника и коллектива в целом.

Привлекательность рассматриваемого подхода усиливается еще и тем, что стало очевидным, что принятие управленческих решений никогда не может быть полностью рациональным, поскольку в реальности работники управленческого аппарата:

-  действуют на основе неполной информации;

-  способны исследовать только ограниченный набор вариантов каждого решения;

-  неспособны точно оценить результаты.

В конечном итоге организационный подход, признавая принцип ограниченной рациональности (ограниченной поиском информации и контролем результатов с помощью целей и задач, а не контролем за поведением с помощью правил и программ), фокусируется на следующих ключевых моментах:

-  необходимо делать акцент на окружающей среде, в которой живет организация;

-  организацию надо понимать в терминах взаимосвязанных - внутриорганизационных и межорганизационных подсистем, выделяя ключевые под системы и анализируя способы управления их отношениями со средой (популярный способ анализа - определение набора ключевых потребностей, которые организация должна удовлетворить для собственного выживания);

- между подсистемами необходимо создавать равновесие и устранять дисфункции.

Краткое описание организационного подхода представлено в таблице


Таблица 2 Характеристика условий эффективности и особых затруднений в рамках организационного подхода

Преодоление противоречий, характерных для организационного подхода к управлению, позволило сформулировать следующие рекомендации, существенные с точки зрения повышения эффективности управления персоналом:

1.  Признавая ошибки, допускаемые при действии в сложной среде, неизбежными, необходимо поощрять у сотрудников такие качества, как открытость и рефлексивность;

2.  Существенно поощрять такие способы анализа, которые признают возможность реализации разных подходов к решению проблем. При этом не обходимо инициировать конструктивные конфликты и дискуссии между представителями разных точек зрения. Это часто приводит к переосмыслению целей организации и переформулированию способов их достижения;

3.  Важно избегать того, чтобы структура деятельности непосредственно определяла организационную структуру. Цели и задачи должны не задаваться сверху, а появляться в процессе работы. В планах указываются скорее ограничения (то, чего нужно избегать), чем-то, что конкретно нужно сделать;

4.  Необходимо подбирать людей, создавать организационные структуры и поддерживать процессы, способствующие реализации этих принципов.

Гуманистический подход.

Развивающаяся в последнее время гуманистическая парадигма исходит из концепции управления человеком и из представления об организации как культурном феномене. Организационная культура - целостное представление о целях и ценностях, присущих организации, специфических принципах поведения и способов реагирования, становится одним из объяснительных принципов.

При этом культура рассматривается сквозь призму соответствующих эталонов развития, отраженных в системе знаний, идеологии, ценностях, законах и повседневных ритуалах, внешних по отношению к организации, социальных общностей.

Влияние культурного контекста на управление персоналом сегодня представляется вполне очевидным. Например, в Японии организация рассматривается не как рабочее место, объединяющее отдельных работников, а как коллектив. Для такой организации характерны дух сотрудничества, взаимозависимость. Пожизненный найм превращает организацию в продолжение семьи. Между начальниками и подчиненными устанавливаются партнерские отношения.

Согласно гуманистическому подходу культура может рассматриваться как процесс создания реальности, которая позволяет людям видеть и понимать события, действия, ситуации определенным образом и придавать смысл и значение своему собственному поведению. Кажется, что вся жизнь человека определяется писаными и особенно неписаными правилами. Однако на самом деле обычно правила являются лишь средством, а основное действие разворачивается лишь в момент выбора: какое из правил применять в данном случае. Наше понимание ситуации определяет то, какой набор правил, мы используем.

Каждый аспект организации нагружен символическим смыслом и помогает создавать реальность. Особенно «объективны» организационные структуры, правила, политика, цели, должностные инструкции, стандартизированные процедуры деятельности. Так, еженедельные или ежегодные совещания, про которые все знают, что это пустая трата времени, могут быть поняты как ритуал, служащий некоторым скрытым функциям. Даже по виду пустого зала заседаний (строгие ряды стульев, параллельно лежащие папки, стаканы и т.п. или дружелюбный хаос) можно многое сказать об организационной культуре. Гуманистический подход фокусируется на собственно человеческой стороне организации, о которой мало говорят другие подходы.

Позитивная роль гуманистического подхода в понимании организационной реальности состоит в следующем:

1. Культурологический взгляд на организацию снабжает управленцев связной системой понятии, с помощью которых они могут сделать свои повседневный опыт постижимым. Это позволяет рассматривать определенные типы действий как нормальные, предсказуемые и избегать, таким образом, проблем, детерминированных базисной неопределенностью и противоречивостью, стоящими за многими человеческими ценностями и действиями;

2.  Представление об организации как культурном феномене позволяет понять, каким образом, через какие символы и смыслы осуществляется совместная деятельность людей в организационной среде. Если экономический и организационный подходы подчеркивают структурную сторону организации, то организационно-культурный показывает, как можно создавать организационную действительность и влиять на нее через язык, нормы, фольклор, церемонии и т.д. Если раньше многие менеджеры рассматривали себя, прежде всего как людей, создающих структуры и должностные инструкции, координирующих деятельность или создающих схемы мотивирования своих сотрудников, то теперь они могут смотреть на себя как на людей, осуществляющих символические действия, направленные на создание и развитие определенных смыслов.

3.  Гуманистический подход позволяет также реинтерпретировать характер отношений организации с окружающей средой в том направлении, что организации способны не только адаптироваться, но и изменять свое окружение, основываясь на собственном представлении о себе и своей миссии. Разработка стратегии организации может превратиться в активное построение и преобразование окружающей реальности.

4.  В рамках данного подхода возникает понимание того, что эффективное организационное развитие - это не только изменение структур, технологий и навыков, но и изменение ценностей, которые лежат в основе совместной деятельности людей.


Глава 2. Анализ системы управления персоналом в Валуйском ОСБ №3794

2.1 Характеристика деятельности Валуйского ОСБ №3794

Акционерный Коммерческий Сберегательный банк Российской Федерации - это крупнейший финансово-кредитный институт общенационального масштаба, являющийся лидером банковской системы страны.

Датой рождения Сберегательного Банка России можно считать 1841г., когда был принят указ Императора Николая I от 12 ноября об учреждении в России сберегательных касс. В 1987г. государственные трудовые сберегательные кассы были преобразованы в Банк трудовых сбережений и кредитования населения СССР (Сбербанк СССР). Акционерный коммерческий Сберегательный банк РФ был учрежден на общем собрании акционеров в 1991г.

В последнее десятилетие Сбербанк сохранил и приумножил деловую репутацию банковского института, получил международное признание. В 2004г. рейтинг Сбербанка существенно повысился. В списке 100 крупнейших банков из 27 стран с переходной экономикой, составленной ЕБРР, Сбербанк занял первое место. Авторитетный английский журнал "The Banker" признал Сбербанк крупнейшим банком Центральной и Восточной Европы и «Банком 2004 года в России».

Продолжая развиваться как универсальный кредитный институт и представляя собой один из лучших примеров успешного ведения банковского бизнеса, Сбербанк России внес весомый вклад в укрепление доверия к банковскому сообществу со стороны вкладчиков, кредиторов и инвесторов, что является признаком улучшающейся ситуации в банковском секторе за последние несколько лет.

Сберегательный банк России имеет 17 территориальных банков. В Центрально-Чернозёмном регионе создан Центрально-Чернозёмный банк Сбербанка России. Сегодня ЦЧБ Сбербанка РФ - это свыше 13 тысяч работников, 1476 филиалов, до 92% площадей которых - собственные. А это более 302 тысяч квадратных метров. По активам, которые превысили 90 млрд. руб., а также собственному капиталу в размере 13,3 млрд. руб., банк значительно превосходит многие коммерческие банки, входящие в первую сотню крупных кредитных учреждений России.

Всеми качествами обслуживания обладает каждый из многочисленных филиалов Сберегательного банка РФ, в том числе и филиал Сбербанка России в городе Валуйки, который действует на основании Устава, Положения.

Валуйский филиал не является юридическим лицом. Он создан на основании решения общего собрания акционеров и приказа Сбербанка России, соответственно, от 22 марта 1991 года и 28 марта 1991 года, действует на территории города Валуйки, Валуйского, Веиделевского и Ровеньского районов Белгородской области, является отделением Сбербанка России - ОСБ №3794, имеет собственную печать, штампы, бланки с использованием наименования Банка, действует на основании Положения.

Местонахождение отделения №3794 Сберегательного банка России: 309990, Белгородская область, город Валуйки, улица Максима Горького, 31 А.

ОСБ № 3794 является обособленным подразделением Банка, расположенным вне места его нахождения, а так же входит в единую систему Банка, организационно подчиняется Центрально-Черноземному банку Сбербанка России и непосредственно руководит работой подразделений системы Банка, расположенных на обслуживаемой им территории.

В Валуйское отделение №3794 входят 36 филиалов, включая операционный отдел головного офиса и два универсальных филиала. Его организационная структура представлена в Приложении 1.

Основной целью деятельности отделения является привлечение денежных средств от физических и юридических лиц, а так же осуществление кредитно-расчетных и иных банковских операций и сделок с физическими и юридическими лицами на территории города и района.

Отделение №3794 Сберегательного банка России рассчитывает свои финансовые результаты, а так же прибыль как основную их категорию, и имеет отдельный баланс, который входит в баланс Банка.

В своей деятельности отделение №3794 Сбербанка РФ руководствуется законодательством Российской Федерации, иными нормативными правовыми актами, в том числе нормативными актами Банка России, Уставом Банка, его нормативными и распорядительными документами, Положением.

Отделение №3794 Сбербанка России осуществляет следующие виды операций:

-привлечение денежных средств физических и юридических лиц во вклады (до востребования и на определенный срок);

-  открытие и ведение банковских счетов физических юридических лиц;

-  осуществление расчетов по поручению физических юридических лиц, в том числе банков-корреспондентов, по их банковским счетам;

-  привлечение во вклады и размещение драгоценных металлов, а также осуществление иных операций с драгоценными металлами в соответствии с законодательством Российской Федерации и правилами Банка;

-  инкассацию денежных средств, векселей, платежных и расчетных документов и кассовое обслуживание физических и юридических лиц;

-  куплю-продажу иностранной валюты в наличной и безналичной формах;

-  доверительное управление денежными средствами и иным имуществом по договору с физическими и юридическими лицами;

-предоставление в аренду физическим и юридическим лицам специальных помещений или находящихся в них сейфов для хранения документов и ценностей;

-  осуществление лизинговых операций;

-  оказание консультационных и информационных услуг;

Отделение №3794 Сберегательного банка России рассчитывает свои финансовые результаты, а так же прибыль как основную их категорию, и имеет отдельный баланс, который входит в баланс Банка.

В своей деятельности отделение №3794 Сбербанка РФ руководствуется законодательством Российской Федерации, иными нормативными правовыми актами, в том числе нормативными актами Банка России, Уставом Банка, его нормативными и распорядительными документами, Положением.

Отделение №3794 Сбербанка России осуществляет следующие виды операций:

-  привлечение денежных средств физических и юридических лиц во вклады (до востребования и на определенный срок);

-  открытие и ведение банковских счетов физических юридических лиц;

-  осуществление расчетов по поручению физических юридических лиц, в том числе банков-корреспондентов, по их банковским счетам;

-  привлечение во вклады и размещение драгоценных металлов, а также осуществление иных операций с драгоценными металлами в соответствии с законодательством Российской Федерации и правилами Банка;

-  инкассацию денежных средств, векселей, платежных и расчетных документов и кассовое обслуживание физических и юридических лиц;

-  куплю-продажу иностранной валюты в наличной и безналичной формах;

-  доверительное управление денежными средствами и иным имуществом по договору с физическими и юридическими лицами;

-предоставление в аренду физическим и юридическим лицам специальных помещений или находящихся в них сейфов для хранения документов и ценностей;

-  осуществление лизинговых операций;

-  оказание консультационных и информационных услуг;

-  распространение и обслуживание пластиковых карточек международных и российских платежных систем, членом которых является Банк или с которыми Банком подписаны соглашения о сотрудничестве;

-  филиал осуществляет покупку, продажу, учет, хранение и иные операции с ценными бумагами, выполняющими функции платежного документа, с ценными бумагами, подтверждающими привлечение денежных средств во вклады и на банковские счета.

Безусловно, финансовые результаты любого банка, а, в частности, отделения напрямую зависят от количества, состава и структуры обслуживаемых клиентов. Выбрав работу с клиентами в качестве главного приоритета деятельности и сосредоточив усилия на наращивании объёмов продаж банковских продуктов и услуг на основе существенного улучшения качества обслуживания населения и юридических лиц, банк может добиться самых высоких экономических показателей.

Валуйское отделение №3794 Сбербанка России активно воплощает в жизнь указанное направление, которого придерживается непосредственно сам Сбербанк России. Для наглядности приведём следующие показатели, представленные в таблице 3.

Таблица 3 Характеристика обслуживаемой клиентуры Валуйским отделением №3794 ЦЧБ Сбербанка России

42



В 2007г. на обслуживании Валуйского ОСБ №3794 находится 261500 клиентов, что на 30200 ед. больше по сравнению с 2005г. Причём за анализируемый период количество как юридических, так и физических лиц неуклонно растёт.

Что касается состава обслуживаемой клиентуры, то здесь можно отметить, что клиентами Валуйского отделения №3794 Сбербанка России являются лица, начиная от простого сельского труженика и заканчивая крупнейшими промышленными предприятиями города и района. А именно это ОАО «Валуйкисахар», которое известно не только в Валуйском районе, но и за его пределами. ОАО «Валуйкисахар» имеет с отделением тесные отношения, связанные с выделением ОАО крупных кредитов, с проведением безналичных расчётов. Кроме того, ОАО «Валуйкисахар» заключило с Валуйским отделение №3794 Сбербанка России договор о перечислении заработной платы рабочих на счёта банковских карт (зарплатный проект).

Среди клиентов Валуйского отделения №3794 особое место занимает ОАО «Валуйский комбинат растительных масел». Также клиентами отделения являются ОАО "Молоко", ООО «Агростан» и т. д.

Численность персонала банка также на протяжении исследуемого периода (2005-2007 гг.) возрастает, что является положительным фактором работы отделения, так как вместе с ней возрастает и качество обслуживания клиентов.

Высокие темпы развития бизнеса, совершенствование клиентского обслуживания обеспечили рост практически всех показателей деятельности банка и получение им по итогам 2007 года впечатлительных финансовых результатов.

Руководство текущей деятельностью отделения Сбербанка России в городе Валуйки осуществляет Совет и управляющий отделением. Управляющий возглавляет Совет отделения и несет персональную ответственность за организацию его работы и принятие решений, соответствующих нормативным и распорядительным документам Банка.

Персональный состав Совета утверждается приказом председателя территориального банка Сбербанка России по представлению руководителя отделения. Совет филиала действует на основании Устава Банка, Положения, других нормативных и распорядительных документов Банка, Положения о Совете, утвержденного Правлением Банка.

В 2006 году Валуйский филиал Сбербанка России проводил планомерную работу, выполняя свою главную задачу в области кредитования физических лиц - повышение качества банковского сервиса и скорости проведения операций по кредитованию. Совершенствовались такие технологии предоставления услуг, как:

-  минимизированы временные затраты на выполнение операций частных клиентов;

-  увеличена доля зачислений заработной платы и пенсий на основании электронных списков;

-  введены должности консультантов;

-  увеличилось количество услуг, оказываемых с использованием современных штрих-кодовых технологий приема платежей.

Внедрение новых кредитных продуктов имеет целью привлечение большего количества клиентов и удовлетворение потребностей различных слоев населения. Экономическая стабилизация и рост реальных денежных доходов населения позволили банку в истекшем году предложить клиентам более привлекательные условия предоставления кредитов и существенно упростить технологию их получения.

Расширилось сотрудничество Валуйского отделения №3794 Сбербанка России с органами исполнительной власти по реализации целевых программ, нацеленных на улучшение жилищных условий населения и организацию личных подсобных хозяйств. Активизировалась работа со строительными компаниями по индивидуальным схемам кредитования частных клиентов на приобретение объектов недвижимости.

В 2006 году ОСБ №3794 в городе Валуйки продолжило активное развитие операций по реализации монет из драгоценных металлов, начало оказывать физическим лицам услуги по доверительному управлению ценными бумагами и денежными средствами, предназначенными для инвестирования в ценные бумаги.

В работе с корпоративными клиентами отделение №3794 Сбербанка РФ стремится к установлению долгосрочных партнерских отношений, предлагая весь спектр имеющихся банковских продуктов и осуществляя их комплексное обслуживание.

В 2005 году были разработаны и утверждены новые версии регламентов по предоставлению кредитов корпоративным клиентам, по краткосрочному кредитованию юридических лиц и индивидуальных предпринимателей. Для оптимизации рисков при кредитовании такой перспективной отрасли, как сельское хозяйство, был разработан и утвержден специальный порядок кредитования сельскохозяйственных товаропроизводителей под залог будущего урожая сельскохозяйственных культур.

Основным источником доходов, как Сбербанка России, так и отделения в городе Валуйки, остаются кредитные операции, высокие темпы, развития которых обусловили повышение их доли в доходах банка до 58 %.

Валуйское отделение №3794 Сбербанка России реализует свою социальную миссию при осуществлении таких операций, как выплата пенсий и пособий по безработице, государственных пособий гражданам, имеющим детей.

С цель повышения качества обслуживания частных клиентов на базе существующей технологии расчетов платежными поручениями внедрена новая услуга срочных денежных переводов, разработана и утверждена технология осуществления операций при централизованном ведении лицевых счетов физических лиц, разработана новая технология осуществления экспресс-переводов - переводы Блиц (аналогичная Western Union, Money Gram).

Организация учетно-операционной работы в Валуйском ОСБ №3794 включает в себя: построение учетно-операционного аппарата, организацию рабочего дня и документооборота, внутрибанковский контроль. В структуре учетно-операционного аппарата выделяются учетные группы, которые ведут счета, однородные по экономическому содержанию.

Например: ведение счетов осуществляют учетно-операционные работники и далее доверенные сотрудники банка оформляют и подписывают расчетно-денежные документы. Счета и операции распределяются между соответствующими исполнителями, регистрируются, оформляются подписями главного бухгалтера и работников.

Организация учетно-операционной работы обеспечивает выполнение следующих условий:

-  все операции с документами, принятыми от клиентов в течение операционного дня, отражаются в бухгалтерском учете за этот день (операционное время выбирается банком самостоятельно, в Валуйском отделении Сбербанка России оно составляет 8,5 часов с 9.30 до 18.00);

-  движение денежных средств по документам клиента производится в тот же операционный день;

-  бухгалтерский ежедневный баланс составляется не позднее начала следующего дня.

Бухгалтерия является одним из структурных подразделений отделения Сбербанка, которое возглавляет главный бухгалтер и заместитель главного бухгалтера.

ОСБ №3794 осуществляет бухгалтерский учет и составляет отчетность с помощью автоматизированной формы учета (ФП «ГБК - 98» АБС «ГАММА») в соответствии с правилами, установленными Центральным банком с учетом требований законодательства Российской Федерации и нормативных актов Сбербанка России, представляет в Сбербанк отчетность по формам, в порядке и в сроки, установленные им.

Учетная политика Валуйского ОСБ №3794 Сбербанка России основана на Плане счетов бухгалтерского учета в кредитных организациях РФ и Правилах бухгалтерского учета, которые разработаны на основе накопленного опыта деятельности банковской системы в нашей стране и сложившейся практики банковского учета в зарубежных государствах.

Бухгалтерский учет ведется в валюте РФ - в рублях - путем двойной записи на взаимосвязанных счетах.

Численность персонала банка на протяжении исследуемого периода возрастает, что является положительным фактором работы отделения, так как вместе с ней возрастает и качество обслуживания клиентов.

Изучив организационно-экономическую характеристику ОСБ №3794 можно сделать вывод о том, что работа отделения является стабильной, оказание услуг - прибыльным. Следовательно, исследуемый банк нацелен на дальнейшее расширение деятельности и получение наибольшей прибыли.

2.2 Анализ результатов финансовой деятельности Валуйского ОСБ № 3794

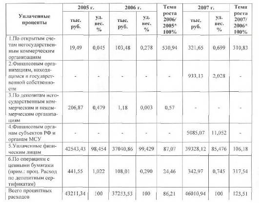
Анализ доходов Валуйского ОСБ №3794.

Анализ и оценка финансовых результатов деятельности банка проводятся с целью разработки системы управленческих решений по повышению доходности, прибыльности банковской деятельности. Для этого требуется решение следующих взаимосвязанных задач: оценить полученные финансовые результаты в целом и по отдельным направлениям, а также по операциям и услугам; определить влияние внешних и внутренних факторов на уровень достигнутых финансовых результатов; выявить основные рычаги воздействия на доходность, прибыльность банка и резервы их роста. Под финансовыми результатами деятельности коммерческих банков понимается совокупность финансовых показателей: доходы, расходы, прибыли (убытки), конечный результат деятельности банка - чистая прибыль после налогообложения.

Анализ финансовых результатов включает: анализ состава, структуры и динамики финансовых результатов; анализ доходов; анализ расходов; анализ прибыли.

Анализируя финансовое состояние банка необходимо уделить особое внимание детальному изучению доходов и расходов, а так же их составляющих.

Анализ доходов занимает центральное место в анализе финансового состояния коммерческого банка. К числу приобретенных задач анализа доходов деятельности банка можно отнести:

-  определение и оценку объема и структуры дохода;

-  изучение динамики доходных составляющих;

-  выявление направленной деятельности и видов операций, приносящих наибольший доход.

Анализ структуры доходов показывает, что они делятся на процентные и непроцентные, их сумма является валовым доходом банка. Структура доходов отделения Сбербанка № 3794 представлена в таблице 4 и на рисунке 2.

Таблица 4 Доходы Валуйского ОСБ№3794 за 2005 ~ 2007 годы

Как видно из таблицы 4 ритмичность темпов роста процентных доходов Валуйского отделения Сбербанка России (в 2006 году он составил 120,18%, а в 2007 году - 210,65%) свидетельствует о нормальной работе банка.

Как видно из таблицы непроцентные доходы ОСБ №3794 так же возрастали на протяжении 2005,2006 и 2007 года (темп роста составил 119,03% - в 2006 году и 178,73% - в 2007 году), что также является положительным фактором работы отделения.

Рис.2. Доходы Валуйского отделения Сбербанка России

За счет роста как процентных, так и непроцентных доходов отделения общий валовой доход увеличился в 2006 году по сравнению с 2005 годом на 30895,79 тыс. руб. и составил - 188809,09 тыс. руб., а в 2007 году по сравнению с предыдущим периодом увеличился на 176868,34 тыс. руб. и составил -365677,43 тыс. руб.

Наиболее важными для коммерческого банка являются процентные доходы, рост которых может произойти за счет влияния двух факторов: роста средних остатков по выданным кредитам, роста среднего уровня взимаемой процентной ставки за кредит. Структура процентных доходов Валуйского ОСБ №3794 представлена в таблице 5.

Как видно из данных таблицы 5, на протяжении исследуемого периода с 2005 по 2007 годы наибольшее значение в составе процентных доходов Валуйского ОСБ №3794 занимают проценты, полученные по предоставленным кредитам негосударственным коммерческим организациям, их удельный вес соответственно составил 76,314% (2005 г.), 63,736% (2006 г.) и 60,481% (2007г.).

Процентные доходы Валуйского отделения №3794 по предоставленным кредитам коммерческим организациям, находящимся в государственной собственности в 2006 году по сравнению с 2005 годом заметно снизились, а в 2007 году вообще отсутствуют.

Таблица 5 Процентные доходы Валуйского ОСБ№3794 за 2005 - 2007 гг.

По всем остальным видам процентных доходов Валуйского отделения Сбербанка России в исследуемом периоде наблюдалось увеличение значений, что является положительным результатом работы банка.

Доходы по просроченным процентам от негосударственных коммерческих организаций в 2005 и 2006 годах отсутствовали, а в 2007 году составили 0,203% от общей суммы процентного дохода, так как это значение не превышает 3%, можно сделать вывод об удовлетворительном состоянии качества кредитного портфеля и об отсутствии угрозы ликвидности исследуемого банка.

Насколько банк активно использует прочие источники получения доходов, показывает анализ структуры непроцентных доходов в динамике.

Банкам рекомендуется расширять спектр платных услуг и прочих нетрадиционных операций, таких как:

-  оказание консультационной помощи;

-  посредничество в размещении ценных бумаг своих клиентов;

-  предоставление гарантий, поручительств;

-  участие в прибылях и т.д.

Непроцентные доходы ОСБ №3794 представлены в таблице 6.

Таблица 6 Доходность некредитных операций Валуйского ОСБ № 3794 за 2005 - 2007 годы

На протяжении исследуемого периода с 2005 по 2007 годы наибольшее значение в составе непроцентных доходов Валуйского ОСБ № 3794 занимают операции по восстановлению сумм со счетов фондов и резервов, их удельный вес соответственно составил 39,048%, 46,984% и 47,97%.

Доходы, полученные от операций с ценными бумагами, а так же иностранной валютой в 2006 году имели тенденцию снижения, об этом свидетельствует темп роста, который соответственно составил 90,86% и 82,01%. В 2007 году эти виды доходов стремительно возросли, так как их темпы роста составили 2326,37% и 148,96%. Остальные непроцентные доходы с 2005 года по 2007 год так же имели тенденцию увеличения, о чем свидетельствуют стабильно возрастающие темпы роста.

Как показывает проведенный анализ, к относительно стабильным можно отнести процентные доходы, получаемые по кредитам и непроцентные доходы, получаемые от предоставления банковских услуг.

К нестабильным можно отнести доходы от операций с ценными бумагами, с иностранной валютой, а также доходы от разовых операций.

Анализ расходов Валуйского ОСБ №3794.

Расходы коммерческого банка - это затраты денежных средств банка на выполнение операций и обеспечение функционирования банка. Анализ расходов в целом осуществляется по тому же плану, что и доходов. При анализе банковских расходов в первую очередь определяется удельный вес групп расходов в их общей сумме, а также изучается их динамика.

Расходы Валуйского ОСБ, так же как и доходы делятся на процентные и непроцентные. Структура расходов отделения №3794 Сбербанка России представлена в таблице 7 и на рисунке 3.

Непроцентные расходы занимают наибольший удельный вес в общей сумме расходов коммерческого банка и на протяжении исследуемого периода их доля продолжает расти (2005 г.- 72,02%, 2006 г.- 76,5%, 2007 г.-81,98%), что свидетельствует о негативной работе отделения Сбербанка России № 3794, поскольку усиливается «бремя» непроцентных расходов, не приносящих банку доходов, а, следовательно, и прибыли.


Таблица 7 Расходы Валуиского ОСБ №3 794 за 2005 - 200 7 гг.

Период Рис.3. Расходы Валуиского ОСБ №3494

По данным таблицы 8 видно, что наибольший удельный вес в составе процентных расходов с 2005 по 2007 годы занимают проценты, уплаченные физическим лицам, соответственно, в 2005 году - 98,454%, 2006 году -99,429%, 2007 году - 85,476%. На протяжении исследуемого периода стремительно возросли такие процентные расходы, как уплаченные проценты по открытым счетам негосударственным коммерческим организациям (темп роста в 2006 году - 530,94%, 2007 году - 310,83%), а также проценты, уплаченные по операциям с ценными бумагами (темп роста в 2007 году -317,54%).


Таблица 8 Процентные расходы Валуйского ОСБ №3 794 за 2005 - 2007 годы

К непроцентным расходам относят: операционные расходы, расходы по обеспечению функционирования банка и прочие.

При анализе непроцентных расходов следует рассмотреть их структуру, определить место каждой группы расходов в их общей сумме.

Как видно из таблицы 9, на протяжении исследуемого периода наибольший удельный вес в составе непроцентных расходов занимает раздел «Другие расходы», соответственно, 2005 году - 47,27%, 2006 году - 56,156%, 2007 году - 64,552%. Для увеличения доли прибыли необходимо снизить именно этот вид расходов, так как уменьшение расходов по операциям с иностранной валютой и другими валютными ценностями осуществить невозможно, потому что это результаты переоценки, а снижение расходов на содержание аппарата управления приведет к спаду производительности и сведению к минимуму стимулирования труда работников.


Таблица 9 Непроцентные расходы Валуйского ОСЕ №3794 за 2005 - 2007 годы

Рассмотрим состав статьи «Другие расходы» более детально в приложении 2.

Как видно из данных приложения 2, наибольший удельный вес занимают расходы по отчислениям в фонды и резервы: в 2005 году - 73,06%, в 2006 году - 79,136%, в 2007 году - 84,684%. Данный вид расходов не подлежит сокращению, так как такие действия могут привести к потере целесообразной работы всего банка.

При рассмотрении раздела «Другие расходы» Валуйского отделения Сбербанка России с 2005 по 2007 годы можно сделать вывод о том, что необходимо снизить такие статьи расходов, как «Почтовые, телеграфные, телефонные расходы, расходы по аренде линий связи» (их удельный вес в общей сумме расходов составляет в 2005 году - 1,89%, в 2006 году - 1,089%, в 2007 году - 0,495%) за счет более экономного пользования междугородными линиями связи, «Типографские и канцелярские расходы» (удельный вес в 2005 году - 1,12%, в 2006 году - 0,994%, в 2007 году - 0,559%) за счет экономии ксероксной бумаги и приобретения канцелярских товаров оптом, «Содержание зданий и сооружений» (удельный вес в 2005 году- 1,88%, в 2006 году -1,71%, в 2007 году - 1,369%) за счет снижения потребления электроэнергии.

Анализ темпов роста перечисленных расходов показывает, что снижается только значение такой статьи расходов, как «Почтовые, телеграфные, телефонные расходы, расходы по аренде линий связи» (темп роста в 2006 году по сравнению с 2005 годом - 74,67%, в 2007 году по сравнению с 2006 годом - 90,1%), что же касается типографских и канцелярских расходов (темп роста в 2006году по сравнению с 2005 годом - 115,42%, в 2007 году по сравнению с 2006 годом - 111,38%), а так же расходов по содержанию зданий и сооружений (темп роста в 2006 году по сравнению с 2005 годом - 118,24%, в 2007 году по сравнению с 2006 годом - 158,67%), то их значения по прежнему неуклонно растут.

Подытоживая данный раздел анализа, следует отметить, что сокращению расходов банка будут способствовать: гармонизация структуры ресурсной базы, то есть увеличение доли расчетных и депозитных счетов предприятий, организаций и разумное уменьшение непроцентных расходов.

Анализ прибыли Валуйского ОСБ №3794.

Банковская прибыль важна для всех участников экономического процесса. Акционеры заинтересованы в прибыли, так как она представляет собой доход на инвестированный капитал. Прибыль приносит выгоды вкладчикам, так как благодаря увеличению резервов и повышению качества услуг складывается более прочная, надежная и эффективная банковская система. Заемщики косвенно заинтересованы в достаточной банковской прибыли, в связи с тем, что способность банка предоставлять зависит от размера и структуры его капитала, а прибыль - основной источник собственного капитала. Даже экономические группы, непосредственно не прибегающие к услугам коммерческих банков, получают косвенную выгоду от банковской прибыли, потому что надежная банковская система означает безопасность вкладов и наличие источников кредита, от которых зависят формы и потребители.

Прибыль - показатель результативности деятельности банка.

Получаемая банком прибыль является, по существу, главным показателем его деятельности, непосредственно влияющим на его эффективное развитие и стабильное финансовое положение. Вот почему так важен повседневный детальный анализ доходов и расходов банка, финансовых результатов, их использования. Наряду с абсолютными показателями, характеризующими финансовые результаты деятельности банка, в анализ необходимо использовать ряд таких относительных показателей, как коэффициент эффективности использования активов банка, коэффициент общей рентабельности, коэффициент рентабельности капитала и ряд других качественных показателей.

Показатели рентабельности представляют собой соотношение прибыли и средств ее получений, и характеризует эффективность деятельности коммерческого банка. Для анализа рентабельности банка в целом используется многофакторная модель, суть которой состоит в определении основных показателей, характеризующихся величиной прибыли полученной на единицу собственного капитала. При анализе рентабельности банка оцениваются такие показатели как:

-  доходность капитала;

-  прибыльность активов;

-  доходность активов.

Показатель доходности капитала:

Показатель Ki имеет недостаток. Он состоит в том, что рост прибыльности капитала имеет обратное отношение с достаточностью капитала.

Коэффициент прибыльности активов, который характеризует объем прибыли полученной на 1 рубль банковских активов:

Данный показатель применяется как характеристика финансового состояния различных банков, так и прибыльность активов КБ в динамике. Рост этого показателя должен оцениваться положительно, т.к. он свидетельствует о росте эффективности использования банком имеющихся активов. Достаточно большой показатель К2 может свидетельствовать о размещении активов в сферу с повышенным уровнем риска.

Коэффициент доходности активов характеризует среднее значение за год прибыльности всех имеющихся в коммерческом банке активов, в том числе тех активов, которые практически не приносят доход. Доходная база активов определяет производительную их долю, работающую и приносящую доход:

А — активы, тыс. руб.

АНД - активы, не приносящие доход, тыс. руб.

Анализ рентабельности в Валуйском отделении Сбербанка России проводится по данным за 2005, 2006 и 2007 годы (таблица 10).

Как видно из таблицы 10 в 2006 году по всем коэффициентам рентабельности наблюдался значительный рост: доходность капитала возросла на 26,38%, прибыльность активов - на 1,35%, а доходная база активов - на 83,98%, что свидетельствует об улучшении работы Валуйского отделения №3794 Сберегательного банка России и его устойчивом положении на рынке банковских продуктов.

В 2007 году также произошло увеличение таких коэффициентов, как: доходность капитала - на 52,8%, прибыльность активов - на 4,43%, а вот доходная база активов имела тенденцию снижения на 1,79%, следовательно, работа отделения №3794 Сбербанка России за исследуемый период была стабильно прибыльной.

Таблица 10 Анализ показателей рентабельности ОСБ №3794 за 2004 - 2006 годы

Такие показатели, как собственный капитал (его значение в 2005 году составило 77028 тыс. руб., в 2006 году - 95797 тыс. руб., в 2007 году -127399 тыс. руб.) и активы, приносящие доход (их значение, соответственно, в 2005 году - 72057 тыс. руб., в 2006 году - 1561273 тыс. руб., в 2007 году - 1563565 тыс. руб.) на протяжении исследуемого периода постоянно возрастали. Следовательно, работа Валуйского отделения №3794 является активной и приносящей стабильный доход.

Так как значение показателя «Уровень доходности собственного капитала» на протяжении всего исследуемого периода с 2005 года по 2007 год больше, чем значение показателя «Прибыльность активов», то это свидетельствует об успешно работающем банке.


2.3 Анализ системы управления персоналом Валуйского ОСБ №3794

Кадры являются самой большой ценностью Валуйского ОСБ№3794. Банк стремиться создать все условия для того, чтобы кадры стремились работать наиболее эффективно.

Эффективное использование потенциала работников включает:

-  планирование и совершенствование работы с персоналом;

-  поддержку и развитие способностей и квалификации работников. Основными задачами кадровой службы банка является:

-  проведение активной кадровой политики;

-  планирование потребности банка в персонале;

-  планирование количественного и качественного состава персонала;

-  обеспечение первичного развития, базового развития и дополнительно го профессионального обучения;

-  адаптация персонала (рис.4);

-  разработка совместно с другими службами материальных и социальных стимулов для эффективной работы персонала.

На совещаниях и планерках руководители оценивают работу различных отделений и групп. При положительных результатах выражается благодарность, как отдельным работникам, так и группам. Система поощрения работников банка включает в себя моральное и материальное вознаграждение.

В ОСБ №3794 проводится планомерная работа с кадрами, с резервом для выдвижения, которая строится на таких организационных формах, как подготовка кандидатов на выдвижение по индивидуальным планам, обучение на специальных курсах и стажировка на соответствующих должностях.

Банк имеет свою кадровую политику. Ее принципом является: «Лучшие кадры - лучшая организация, лучшей организации - лучшие кадры».


Рис. 4. Адаптация вновь принятых работников в Валуйском ОСБ №3794

Валуйское ОСБ подбирает себе кадры по следующим критериям: порядочность, инициативность, высокая профессиональность, честность и приверженность к идеям организации. Банк считает главным критерием при работе с кадрами - справедливое отношение ко всем ее сотрудникам, независимо от их пола и социального статуса.

Демографическая политика Валуйского ОСБ №3794 направлена на «омоложение» коллектива и кадрового состава руководителей и специалистов. На рисунке 5 изображен возрастной состав работников Валуйского ОСБ №3794.


Рис.5. Возраст работников Валуйского ОСБ №3794 на01.01.2008 г.

В условиях совершенствования эффективности менеджмента в ОСБ №3794 повышается значение оценки персонала для принятия решений о служебных перемещениях, повышении квалификации и переобучении персонала. Оценка персонала обеспечивает систему управления персоналом информацией о качестве персонала с точки зрения его соответствия стратегии банка и его целям.

Оценка персонала — деятельность, проводимая на разных этапах функционирования системы управления персоналом для различных целей Валуйского ОСБ №3794, в том числе:

1.  При определении потребности в персонале на этапе календарного планирования, когда оценивается существующий кадровый потенциал и формируются требования к привлечению персонала.

2.  При отборе персонала на этапе привлечения персонала с целью определения приемлемости кандидатов на вакантные должности.

3.  При определении потребности в повышении квалификации персонала на этапе обучения и развития персонала. На этом этапе оценивается существующий уровень персонала в сравнении с требуемым и определяется необходимость обучения конкретных работников, проверяется соответствие уровня карьеры работников их компетентности.

4.  При аттестации персонала, проводимой регулярно для оценки со стояния уровня кадрового потенциала и выработки регулирующих воздействий широкого круга, в том числе:

-для принятия мер по вознаграждениям, продвижениям, наказаниям, увольнениям;

-  для выработки мер по мотивации и стимулированию труда;

-  для планирования кадрового резерва;

-  для планирования персональных перемещений.

Основные этапы, определяющие содержание процесса оценки, включают:

1.  Анализ анкетных данных.

2.  Наведение справок об испытуемом работнике (по месту прежней ра боты или учебы).

3.  Проверочные испытания.

4.Собеседование.

Задача руководителя кадровой службы, осуществляющего оценку кандидатов при приеме на работу, состоит, в сущности, в том, чтобы отобрать такого работника, который в состоянии достичь ожидаемого банком результата. В Валуйском ОСБ №3794 оценка происходит в несколько этапов:

Этап 1 - предварительная отборочная беседа.

Этап 2 - заполнение бланка заявления. Претенденты, успешно преодолевшие предварительную беседу, должны заполнить специальный бланк заявления и анкету. Информация касается образования, прошлой работы, склада ума и т.д.

Этап 3 - интервью. Более 90% решений по отбору претендентов принимаются на основе итогов беседы. Чаще всего в интервью участвуют: управляющий банком, один его заместитель, специалист кадровой службы и начальник отдела в который требуется работник.

При планировании и организации работы в Валуйском ОСБ №3794 руководитель определяет, что конкретно должна выполнить данная организация, когда, как и кто, по его мнению, должен это сделать. Если выбор этих решений сделан эффективно, руководство получает возможность координировать усилия многих людей и сообща реализовывать потенциальные возможности группы работников. К сожалению, в некоторых организациях руководители и его заместители часто ошибочно полагают, что если некая организационная структура или некий род деятельности прекрасно «работают» на бумаге, то они также хорошо будут «работать» и в жизни. Чтобы эффективно двигаться навстречу цели, руководство Валуйского ОСБ №3794 координирует работу и заставляет людей выполнять ее, а также воплощает свои решения в дела, применяя на практике основные формы мотивации, которые представлены на рисунке 6.

Что касается стратегии управления персоналом в Валуйском ОСБ №3794, то отражает разумное сочетание экономических целей данной организации, потребностей и интересов работников (достойная оплата труда, удовлетворительные условия труда, возможности развития и реализации способностей работников и т.п.). В Валуйском ОСБ №3794 разработана система оплаты труда, которая не ограничена минимальными и максимальными размерами и зависит от результатов работы каждого сотрудника в частности. Оплата труда работников происходит в полном соответствии с их трудовым вкладом.

Контрактные оклады руководителям и специалистам в течение года пересматриваются, т.е. могут быть увеличены или уменьшены. Контрактной системой предусматриваются вознаграждения за высокие результаты работы на основании действующих положений.


ПОТРЕБНОСТЬ

Рис.6. Формы мотивации труда персонала Валуйского ОСБ№3794

Для последовательного повышения квалификации сотрудников и получения ими новых необходимых для работы знаний, организуются различные курсы обучения.

Исходя из принципа «кадры решают все», руководство Валуйского ОСБ №3794 постоянно демонстрирует работу по удовлетворению требований и ожиданий персонала, показывая перспективу, продвижения по службе, наделяя наиболее перспективных сотрудников дополнительными полномочиями, предоставляя всем равные стартовые возможности. Активно поощряется участие работников банка в принятии управленческих решений методом проведения общих и дифференцированных собраний. При этом большое внимание уделяется подготовке и образованию персонала, заключаются договора с различными учебными заведениями. Образовательный уровень ОСБ №3794 изображен на рисунке 7.

Рис.7. Образовательный уровень Валуйского ОСБ №3794

Удовлетворенность персонала повышается также за счет создания здоровой рабочей атмосферы в коллективе и организации технически оснащенных рабочих мест.

Примером высокой удовлетворенности условиями работы может служить практическое отсутствие различных жалоб, очень низкая текучесть кадров, наличие широкого спектра удобств и услуг, предоставляемых банком.

Высокий уровень заработной платы в банке полностью удовлетворяет физиологические потребности работников. Дополнительное материальное вознаграждение определяет индивидуальный вклад работников в конечные результаты деятельности банка. Премия напрямую связывает результаты труда каждого подразделения и работника с главным экономическим критерием банка - прибылью.

Руководитель Валуйского ОСБ №3794 является сторонником теории мотивации Дэвида МакКлелланда. Он считал, что людям присущи три потребности: власти, успеха и причастности.

Материальные и моральные стимулы только в том случае приводят к повышению работоспособности, когда они соответствуют основным мотивам, лежащим в основе деятельности и поведения личности. Прежде чем предложить человеку стимулы к труду, надо уяснить, какие мотивы или система мотивов лежат в основе его активности в трудовой сфере, в свободное от работы время, в быту и т.п.

В Валуйском ОСБ №3794 считают, что публичное поощрение лучших работников - действенный стимул. Учет личных особенностей, индивидуальные склонности тех работников, которым хотят воздать должное за труд - первоочередная задача на подобного рода мероприятиях. В банке помнят, что основным слагаемым эффективного стимулирования труда является стимулирование трудящегося человека. В подразделении, где люди тесно взаимодействуют, хорошо знают друг друга, при использовании стимулов учитываются и потребности, и интересы личности, и даже характер, образ жизни, привязанности и привычки.

Конечно, в системе мотивов поведения каждого человека есть относительно постоянные, которыми он руководствуется в течение многих лет независимо от жизненной ситуации, но немало таких, которые вызываются ситуацией, важными жизненными событиями. В любом из этих вариантов эффект стимулирования труда будет прямо зависеть от соответствия стимула мотиву.

При всей значительности материальных стимулов нельзя принижать роль стимулов нравственно-психологических. У современного человека они могут приобретать все большее значение. Мотивы, ориентированные на такие стимулы, разнообразны, в большей степени личностно обусловлены.

Поскольку мотивы, связанные с удовлетворением социальных и духовных потребностей, чрезвычайно разнообразны, то, естественно, и стимулы, им соответствующие, только в том случае смогут выполнить активизирующую роль, когда также будут разнообразны, представлены в большом наборе. Здесь многое зависит от руководителя. В этой связи в Валуйском ОСБ №3794 каждому члену коллектива предоставлены возможности для всестороннего развития, для самореализации себя как личности в трудовой и общественной деятельности коллектива. Чем более духовно развиты люди, чем разнообразнее их социальные потребности, чем в большей степени они коллективисты, тем разнообразней и динамичней должны быть нравственно-психологические стимулы.

Как уже было сказано выше, кадры являются самой большой ценностью Валуйского ОСБ №3794. Банк стремиться создать все условия, а кадры стремятся работать, наиболее эффективно.

Численность работников в банке за последние несколько лет неуклонно растет, что в первую очередь объясняется постоянным расширением филиальной сети и предоставлением новых выгодных услуг населению, а это влечет за собой к увеличению объема прибыли.

В период с 2005 по 2007 годы текучесть кадров колеблется в пределах 5% в год от общего числа сотрудников. Это способствует своевременному обновлению коллектива и не требует особых мер со стороны руководства и кадровой службы. В первую очередь это связано с высоким уровнем заработной платы и хорошим социальным пакетом.

В таблице 11 показано как менялись: численность сотрудников с 2005 по 2007 годы и объем прибыли на одного человека в исследуемом периоде. В 2005 году при численности 119 человек объем прибыли на одного человека составлял 29,3 тыс. руб. По сравнению с 2005 годом в 2006 году эти показатели увеличились - при численности 125 работающих объем прибыли на одного человека составил 236,8 тыс. руб., а 2007 году эти показатели соответственно составили - 132 сотрудника и 808,1 тыс. руб. на человека.

Необходимо подчеркнуть, что персонал играет большую роль в получении прибыли в ОСБ №3794. Благодаря эффективной системе мотивации в банке, работники стремятся обеспечить максимальную реализацию банковских услуг и продуктов, что влечет за собой рентабельную работу данной организации.

Структура управления в Валуйском ОСБ - линейно-функциональная. При данной структуре управления сохраняется преимущество линейной структуры в виде принципа единоначалия, и преимущество функциональной структуры в виде специализации управления.

Таблица 11 Численность работников Валуйского ОСБ в период с 2005 по 2007 годы и объем чистой прибыли на одного сотрудника

Подводя итоги, необходимо сказать, что в 21 столетии в деятельности любой организации первостепенную роль приобретают ее сотрудники. Отражением этого в области науки и образования служит бурное развитие и широкое распространение знаний в области управления персоналом.

Как машина не может двигаться без мотора, так и управление организацией невозможно без людей, приводящих ее в действие, являющихся ее сердцем, мотором. Именно люди приводят в действие имеющиеся в распоряжении любой организации станки, машины, финансы, сырье и пр. И как мотор автомобиля, так и персонал организации может работать по-разному. Наладить эффективную работу этого «мотора» и есть первейшая задача руководства. А от того, как эффективно работает персонал, зависит прибыльность организации.


Глава 3. Рекомендации по совершенствованию системы управления персоналом Валуйского ОСБ №3794

Результаты деятельности многих банков и накопленный опыт их работы с кадрами показывают, что формирование коллективов, обеспечение высокого качества кадрового потенциала являются решающими факторами эффективности работы кредитных организаций и конкурентоспособности предоставляемых ими услуг. Проблемы в области управления персоналом и повседневная работа с кадрами, по оценке специалистов постоянно находятся в центре внимания руководства любой организации. С развитием научно-технического прогресса содержание и условия труда приобретают все большее значение, чем материальная заинтересованность.

Кадровая политика за последние годы претерпела серьёзные изменения. Дефицит квалифицированной рабочей силы, способной работать в новых условиях, обусловил отказ от понимания работы с кадрами, как только административной работы. Возникла необходимость более широкого учёта мотивационных процессов.

Удовлетворение социальных целей в Валуйском ОСБ №3794 выражается индивидуально в удовлетворённости работой, обусловленной принципиальными улучшениями материальных и нематериальных условий труда в банке. Следует стремиться к уравниванию интересов разных групп сотрудников. При этом социальные цели преследуются принципиально на всех ступенях иерархической структуры банка, хотя и с различной степенью влияния на общее улучшение условий труда подавляющего большинства сотрудников.

При усилении роли стратегической функции в области управления персоналом изменяется место руководства кадровой службы ОСБ №3794. Её руководитель становится одним из основных руководителей банка. Он учитывает способность к внедрению инноваций и улучшает эффективность управления, содействует повышению способности и выживанию в условиях жестокой конкурентной борьбы. Быстрое реагирование на желание потребителя банковских услуг и действия конкурентов, как и на всю окружающую среду, зависит от компетенции управленческих и руководящих кадров, метода и стиля их работы. Правильный подбор, расстановка и усовершенствование знаний управленческих и руководящих кадров, определяют успех банка на рынке.

Важно учитывать, в какой мере руководящие кадры Валуйского ОСБ способны адаптироваться к экономической ситуации рынке. Основную роль при этом играют факторы обучения, сохранения и управления персоналом.

В условиях жёсткой конкурентной борьбы и под давлением научно-технического развития банку нужны универсально подготовленные руководители. Высокой квалификации сегодня уже недостаточно для того, чтобы эффективно руководить людьми и добиваться существенных успехов.

Изменение подходов к оценке места и значения кадровой службы в ОСБ №3794 обуславливает необходимость переосмысления и основных качеств руководителя кадровой службы: он должен быть пунктуальным и методичным, динамичным и настойчивым, общительным и убедительным, справедливым, строгим, доступным, с многосторонним образованием, способным к размышлению, дипломатии, психологии, добрым советчиком, гуманистом, обладать интуицией. Он должен уметь слушать и внушать доверие.

Профессиональными задачами руководителя кадровой службы в Валуйском ОСБ считаются: развитие персонала, планирование штатного персонала, отбор кадров и их адаптация, расстановка и обучение кадров, консультирование руководителей подразделений по кадровым вопросам. Инспектор по кадрам просто физически не сможет справиться с таким объемом работ. Поэтому в ОСБ №3794 предлагается ввести дополнительные должности двух ассистентов по кадровым вопросам. Они должны заниматься мероприятиями по подбору, расстановке и обучению кадров. Для этого они должны иметь разностороннюю подготовку.

Повышение роли кадровой службы в Валуйском ОСБ продиктовано следующими объективными обстоятельствами:

1.  Сегодня существенно изменились условия, в которых кадровая служба развивается. Эти изменения связаны с переходом устойчивого во времени дефицита трудовых ресурсов к их избытку. Главными резервами становятся лучшее использование кадров, оптимальное их распределение по рабочим местам и возрастание нагрузки на каждого члена коллектива.

2.  Реализация постройки кадровой политики в банке влечёт за собой расширение функциональных обязанностей работников кадровых служб, повышение их самостоятельности в решении кадровых проблем.

Инспектор по кадрам не в силах отвечать уже новым требованиям кадровой политики. Его деятельность ограничивается в основном решением вопросов приёма и увольнения работников, оформления кадровой документации. Отсутствует в банке и единая система работы с кадрами, прежде всего и система научно-обоснованного изучения способностей и склонностей, профессионального и должностного продвижения работника в соответствии с его деловыми и личными качествами. Структура кадровой службы, качественный состав и уровень оплаты труда ее работников не соответствует задачам реализации активной кадровой политики.

Перестройка деятельности кадровой службы в Валуйском ОСБ должна осуществляться в следующих направлениях:

1.  Обеспечить комплексное решение задач качественного формирования и эффективного использования кадрового потенциала на основе управления всеми компонентами человеческого фактора.

2.  Внедрить активные методы поиска и целенаправленную подготовку нужных банку работников. Основной формой для привлечения необходимых специалистов и квалифицированных работников для ОСБ №3794 должны стать договоры с учебными заведениями.

3.  Осуществлять планомерную работу с руководящими кадрами, с резервом для выдвижения, которая должна строится на таких организационных формах, как планирование деловой карьеры, подготовка кандидатов на выдвижение по индивидуальным планам, обучение на специальных курсах и стажировка на соответствующих должностях.

4.  Активизировать деятельность кадровой службы по стабилизации трудовых коллективов, повышению трудовой и социальной активности работников на основе совершенствования социально-культурных и нравственно- психологических стимулов.

5.  Обеспечить социальные гарантии трудящихся в области занятости, что требует от работников по кадрам соблюдения порядка трудоустройства и переобучения высвобождаемых работников, предоставить им установленные льготы и компенсации.

6.  Перейти от преимущественно административно-командных методов управления кадрами к демократическим формам оценки, подбора и их расстановки, широкой гласности в кадровой работе.

7.  Укрепить кадровую службу квалифицированными специалистами, в связи, с чем становиться актуальным создание системы подготовки специалистов для кадровых служб, их переподготовки и повышения квалификации.

8.  Обновить научно-методическое обучение кадровой работы, а также её материально-техническую и информационную базы.

Кадровой работой вынуждены заниматься органы управления Валуйского ОСБ на всех уровнях - его руководство, руководители подразделений, инспектор по кадрам.

Именно кадры являются основой, фундаментом для теоретических и практических принципов, методов и приёмов управления. Каждый руководитель ОСБ №3794 должен исходить из того, что все без исключения вопросы управления банком решаются в зависимости от его кадровой структуры. Это означает, что нельзя сформулировать ни одного истинного принципа управления, абстрагируясь от специфики кадровой структуры объекта управления. Принцип, хороший для одной структуры, может стать плохим применительно к другой структуре. Таким образом, работа с кадрами может быть эффективна только в том случае, если она основана на их всестороннем изучении.

Улучшение расстановки в банке следует начинать с оценки эффективности деятельности работников, занимающих ключевые должности. Руководители, занимающие ключевые должности, сильно влияют на характер расстановки, прежде всего потому, что они главным образом осуществляют подбор и расстановку руководителей более низких рангов. Согласно «эффекту самоорганизации», результативность работы по подбору и расстановке управленческих кадров прямо зависит от руководящих способностей людей занимающихся этой проблемой. Вот почему необходимо, чтобы ключевые должности занимали сильные руководители. Если бы на такую должность попадал слабый руководитель, то через определённое время он сможет «развалить» кадровую службу всего вверенного ему подразделения. И наоборот, расстановка кадров в подразделении, где ключевую должность занимает сильный руководитель, будет, как правило, постоянно улучшаться.

Таким образом, главное в работе по улучшению расстановки кадров в Валуйском ОСБ - назначение на ключевые управленческие должности сильных руководителей. В зависимости от того, в какой степени эффективность деятельности руководителей, занимающих ключевые должности, выше, чем эффективность деятельности всех остальных руководителей управленческой системы, можно судить о ее самоорганизации.

Зарубежный опыт показывает, что особое значение имеет каждый работник, т.к. возрастает влияние качества его труда на конечные результаты работы всей организации. В связи с этим моральное и материальное стимулирование, а также социальные гарантии должны стать самыми важными аспектами кадровой политики, проводимой в банках. Основными направлениями совершенствования кадровой политики в Валуйском ОСБ являются: выплата надбавок и система премирования, которые призваны обеспечить высокий уровень заинтересованности работников в конечных результатах деятельности банка. Введение социальной системы государственного пенсионного обеспечения позволит закрепить квалифицированные кадры в банке и социально защитить работников, выходящих на пенсию.

Чтобы активно управлять кадрами, необходимо обеспечить систематический обмен информацией между различными уровнями управления по кадровым вопросам. Для этого необходима соответствующая отчетность с подробной содержательной частью. В настоящее время кадровая информация характеризуется низким качеством предоставляемых отчетов: бессистемное и поверхностное изложение материалов, их неконкретность, крайне недостаточное количество изложенных фактов, а порой даже отсутствие данных, характеризующих работу по управлению персоналом.

Неполно отражены в отчетах и такие важные аспекты кадровой работы, как формирование резерва кадров на выдвижение, проведение аттестации. В ближайшее время в Валуйском ОСБ эти недочеты должны быть устранены.

В концепции кадровой политики банка ставится задача внедрения единой системы профессиональной непрерывной подготовки специалистов и кадров высшего звена управления, а также автоматизированных обучающих систем для повышения квалификации и переподготовки специалистов. Во многих банках уже имеются наборы обучающих программ, наработки по созданию подсистем «учет кадров», «резерв», «аттестация». Однако широкомасштабная работа по их внедрению в банке только начинается. Причиной такого положения является недооценка первыми руководителями значения переподготовки и повышения квалификации кадров.

Финансирование системы повышения квалификации в Валуйском ОСБ до сих пор осуществляется по остаточному принципу, вследствие чего ее материально-техническая и учебно-методическая база отстает в качественном отношении от современных требований, что в итоге негативно влияет на качество подготовки кадров.

Одним из недостатков системы является не всегда обоснованный подбор ее слушателей, в котором основным критерием служит не оценка уровня знаний и квалификации, а время последнего прохождения обучения специалистов в этой системе. Вследствие этого зачастую в одну группу попадают специалисты с разным уровнем и потребностями в знаниях. В концепциях кадровой политики подобные проблемы рекомендуется исправить с помощью создания различных методик, таких как методика планирования повышения квалификации руководящих работников и специалистов, сотрудников других категорий.

Разработка концепций кадровой политики в Валуйском ОСБ сегодня все теснее увязывается с целью эффективного использования персонала. Эффективность организационной структуры банка характеризуется, в частности, такими показателями, как: степень выполнения заданий; удовлетворенность работника своим делом; длительное отсутствие, непосещение и текучесть работников; количество острых конфликтов, количество жалоб, несчастных случаев и других инцидентов. Для того чтобы банк процветал, важно, чтобы учитывался каждый из указанных компонентов, так как по каждому из этих пунктов должны достигаться определенные цели.

В большинстве банков действенность их организационной структуры измеряется такими показателями, как достижение поставленных целей, эффективное использование профессионализма и возможностей персонала, размер притока и сохранение высококвалифицированных и заинтересованных служащих. В связи с этим можно сделать вывод о том, что цели кадровой политики будут достигнуты лишь в том случае, если высшее руководство Валуйского ОСБ будет рассматривать человеческие ресурсы организации как ключ к его эффективности.

Чтобы добиться этого, управление должно обеспечивать развитие высококвалифицированных кадров, выполнение которого, в свою очередь, невозможно без тщательного планирования, кропотливой текущей работы и применения продуманных методов оценки деятельности всех категорий управленческого персонала. Таким образом, кадровая политика, содействуя достижению наибольшей эффективности банка, включает следующий перечень важнейших задач:

-  эффективно использовать профессионализм и возможности каждого работника;

-  обеспечивать организацию высококвалифицированными и заинтересованными работниками;

-  создать в организации условия для наиболее полного удовлетворения ее персонала своей работой, в которой он может достичь максимального самовыражения;

-  развивать и поддерживать на высоком уровне качество жизни, которое делает работу в банке желанной;

-  стимулировать и поддерживать стремление каждого работника к сохранению хорошего морального климата в коллективе;

-  поддерживать среди работников стремление к достижению общей вы годы своего коллектива.

Существуют и другие задачи, а также различные пути их решения. Но по общему признанию руководства большинства кредитных организаций перечисленные выше положения должны проходить красной нитью через всю деятельность управления персоналом в современных условиях.

Информатизация кадровой работы в значительной степени влияет на качество управления, особенно в условиях изменения организационной структуры банка, при создании новых подразделений, изменении штатного расписания и функциональных обязанностей сотрудников.

Одним из основных преимуществ информационных технологий является обеспечение оперативности, полноты и достоверности информации, необходимой для принятия кадровых решений. Получить такую информацию теоретически можно без использования компьютера и специализированной информационной системы, однако для выполнения такой работы неизбежно потребуются большие трудовые затраты и значительное время. При этом возможны случайные ошибки и неточности.

Другое преимущество заключается в том, что внедрение кадровой информационной системы предполагает упорядочение структуры управления персоналом, создание реальной организационной структуры банка. Иногда такая работа приносит даже больший экономический эффект, чем дальнейшее использование информационной системы.

Следующий важный момент в расширении возможностей по обработке информации о сотрудниках. Автоматизированная система позволяет получать по запросу разнообразные статистические и иные отчеты за считанные минуты. При этом информация в продвинутых системах может предоставляться в разных формах и снабжаться необходимыми комментариями.

В Валуйском ОСБ информацию по персоналу чаще всего используют заместители управляющего банком и расчетный отдел бухгалтерии. Здесь решаются конкретные задачи управления и учета: прием, перемещение и увольнение персонала, учет отпусков и командировок; планирование и контроль штатного расписания, расчет заработной платы и т.д. Каждая из этих задач представляет собой определенную последовательность действий. Например, замещение вакантной должности должно быть представлено как бизнес-процесс:

1.  Поиск кандидатур - получение данных о кандидатах - обработка данных - отсев негодных кандидатур - повторный поиск кандидатур и обработка данных.

2.  Уточнение информации по реальным кандидатам - принятие решения - прием/перевод сотрудника на вакантную должность - оформление трудового договора. Без информационной системы эффективно управлять таким процессом при большом числе вакансий и кандидатов практически невозможно.

Однако круг лиц, которые в ряде случаев в той или иной степени нуждаются в качественной информации по персоналу, гораздо шире. Это руководитель банка, менеджеры, аудиторы и др. Именно поэтому кадровый модуль в корпоративной информационной системе, согласованный по структуре и формату данных с другими функциональными подсистемами, представляется более предпочтительным, чем локальная кадровая система. С одной стороны, кадровый модуль в корпоративной информационной системе существенно расширяет число лиц, которые могут воспользоваться информацией по персоналу прямо со своего компьютера, а с другой - контроль и разграничение доступа гарантируют от превышения полномочий и несанкционированного проникновения в кадровую подсистему.

Следует отметить ряд важных задач управления персоналом, которые позволяет успешно решать программа: разработка кадровой политики в аспекте четкого определения организационной структуры банка и функциональных обязанностей персонала, планирование потребностей в персонале, отбор и расстановка персонала в соответствии с избранной организационной структурой, контроль труда и жизни, планирование и контроль повышения квалификации сотрудников.

При объединении деятельности подразделений выявляется несогласованность технологий работы. Так, в условиях традиционной неавтоматизированной или локально автоматизированной работы ответственность за правильность расчета заработной платы возложена на лицо, выполняющее расчет, т.е. на бухгалтера, который всегда может перепроверить бумажные документы, приходящие к нему от инспектора по кадрам. В системе бухгалтер работает с уже предоставленными ему данными, не осуществляет контроль и выполняет только свои профессиональные обязанности. Инспектор по кадрам в этих условиях может действовать недостаточно ответственно, что приведет к ошибкам в расчетах.

Специфика работы отдела кадров такова, что данные в базу попадают в режиме сразу при изменении ситуации в банке. Для расчета заработной платы требуется определенная отсрочка: обороты по заработной плате за предыдущий месяц формируются в начале следующего, и расчетчику до тех пор, пока месяц по бухгалтерии не закрыт, не нужно учитывать эти изменения, а база данных общая. Это в большей степени технологическая проблема.

Одним из основных средств реализации кадровой политики в Валуйском ОСБ являются аттестационные процессы. Существующая в настоящее время система аттестации кадров не отвечает возросшим требованиям и должна быть существенно модернизирована.

Общая цель реформирования аттестации заключается в том, чтобы превратить ее из рутинной, обременительной и отвлекающей от работы процедуры, направленной главным образом на вытеснение нежелательных или неэффективных работников, в эффективное средство реализации социально-экономической стратегии банка.

При этом результаты аттестации должны использоваться, в свою очередь, для оперативной корректировки стратегии, вывода ее на новый уровень, соответствующий актуальным задачам и проблемам Валуйского ОСБ.

Концепция создания и функционирования новой системы аттестации персонала базируется на следующих основных принципах:

1.  Целостность системы аттестации, т.е. взаимоувязка различных аттестационных процессов и процедур в единый комплекс, способный к устойчивому функционированию в системе управления деятельностью банка. Для совершенствования аттестационных процессов и процедур, корректировки системы аттестации должен быть предусмотрен аттестационный мониторинг, обеспечивающий своевременное получение информации о необходимости внесения изменений в организацию и функционирование системы аттестации.

2.  Многоуровневость системы аттестации, т.е. охват аттестационными процедурами и процессами объектов, представляющих все основные уровни управления деятельностью банка - от отдельных работников и коллективов до банка в целом. Для этого в систему аттестации включены такие обычно раздельно существующие процедуры, как элементы стратегического планирования, анализ эффективности банка в целом и его отдельных подразделений, социологическое исследование коллективов, оценка деятельности руководителей и специалистов, совершенствование расстановки и развития персонала.

3. Гармоничность взаимодействия системы аттестации с другими подсистемами управления деятельностью банка, то есть обеспечение тесного взаимного согласования целей, объектов и процедур аттестации с процессами формирования и реализации кадровой и финансовой политикой банка. Создаваться новая система аттестации также должна синхронно с модернизацией других управленческих подсистем банка в целом. Кадровые решения, принимаемые по результатам аттестации персонала и руководства, должны дополняться соответствующими организационно-техническими решениями, направленными на совершенствование организационной структуры.

Совершенствование аттестационных процессов в Валуйском ОСБ направлено на усиление роли аттестации в реализации социальной стратегии банка в целом. В настоящее время в банке действует сложившаяся система аттестации персонала. Переход к новой системе аттестации, основанной на более полном учете современных особенностей экономики, трудового потенциала и достижениях прикладной теории корпоративного управления, представляет собой самостоятельную организационную задачу. Замечу, что от «качества» перехода к новой системе аттестации в значительной степени зависит, приживется ли новая система или будет рассматриваться как очередное быстро проходящее «увлечение» начальства.

Отказавшись от пооперационного усовершенствования, надо радикально системно перепроектировать аттестационные процессы для достижения существенных улучшений в таких ключевых для современных условий показателей результативности, как целевая и экономическая эффективность, качество предоставляемых услуг, надежность и оперативность обслуживания. Аттестацию предлагаю проводить в несколько этапов: подготовка, сама аттестация и подведение итогов,

1. Подготовка, осуществляемая кадровой службой, включает: разработку принципов и методики проведения аттестации и издание нормативных документов по подготовке и проведению аттестации, подготовку специальной программы по подготовке к проведению аттестационных мероприятий;

2.  Проведение аттестации: аттестуемые самостоятельно готовят отчеты и заполняют оценочные формы, затем анализируются результаты и проводятся заседания аттестационной комиссии.

3.  Подведение итогов аттестации включает анализ кадровой информации, ввод и организация использования персональной информации, подготовка рекомендаций по работе с персоналом и утверждение результатов аттестации.

Чтобы кадровой информацией можно было воспользоваться при принятии кадровых и иных решений, необходимо правильно организовать хранение информации по результатам аттестации, следует разработать особую форму ввода и хранения информации (по персоналиям, отделам, уровням иерархии, направлениям деятельности подразделений). Необходимо также иметь возможность поиска информации и по этим параметрам, и по параметрам качества и объема труда.

Система аттестации работников должна находиться в тесном взаимодействии с другими подсистемами управления, в частности, с системой мер поощрения и наказания. Арсенал этих мер должен быть достаточно полным и разнообразным, чтобы, с одной стороны, обеспечивать реализацию кадровой политики и, с другой, - возможность выбора адекватной реакции на результаты аттестации. В частности, это означает, что должны быть средства как материального, так и морального поощрения и наказания, причем в достаточном разбросе по «степени мягкости».

Организация проведения аттестации в банке, как в период аттестационных сессий, так и в межсессионный период осуществляется постоянно действующей службой управления персоналом. На нее возлагаются задачи непрерывного сбора информации для аттестации, подготовки необходимой организационно-распорядительной документации, координации деятельности аттестационных комиссий, служба по управлению персоналом также обобщает предложения по корректировке системы аттестации.

В структуре администрации Валуйского ОСБ, в составе службы по управлению персоналом созданы «рекомендации по управлению нормирования и оплаты труда». Параллельно с этой работой были подготовлены и утверждены документы, регулирующие взаимодействие структурных подразделений и их основные функции по управлению нормированием труда в обществе на уровне администрации Валуйского ОСБ.

Кроме того, была подготовлена форма внутренней статистической отчетности по нормированию труда, проведен анализ состояния нормирования труда и др. Подготовлен пакет документов по организации и проведению работы по аттестации рабочих мест в банке. Продолжается работа по совершенствованию структуры управления Валуйского ОСБ

В заключение проведенной работы Валуйскому ОСБ предлагаются следующие рекомендации по совершенствованию системы управления персоналом:

1.  Ввести дополнительные должности двух ассистентов по кадровым вопросам.

2.  Перестроить деятельность кадровой службы.

3.  Внедрить процесс анализа качества персонала организации.

4.  Обеспечить систематический обмен информацией между различными уровнями управления по кадровым вопросам.

5.  Внедрить единую систему непрерывной профессиональной подготовки специалистов и кадров высшего звена управления.

6.  Внедрить кадровую информационную систему.

7.Реформировать систему аттестации по предложенному принципу. Руководство Валуйского ОСБ должно осознать необходимость отказа от традиционной кадровой политики, основанной на авторитарных принципах, и перехода к политике управления человеческими ресурсами, формирования новой организационной культуры, ориентированной на человека и предусматривающей максимальную вовлеченность персонала в дела банка, поощрение, инициативы и самодисциплины. Настоятельно рекомендуется уделять больше внимания последним разработкам в области проведения политики в отношении персонала банка и использовать новейшие технологии для взаимодействия с самым важным стратегическим ресурсом - кадрами.


Заключение

Определяющим фактором, влияющим на конкурентоспособность, экономический рост и эффективность деятельности банка, является наличие в организации человеческих ресурсов, способных профессионально решать поставленные задачи. Для эффективного управления персоналом банк нуждается в целостной системе работы с кадрами, позволяющей управлять ими от момента приема на работу до завершения карьеры.

До недавнего времени роль человеческих ресурсов в стратегическом планировании игнорировалась. При нынешних быстрых изменениях в технологии, наряду с экономическим давлением и снижением производительности труда, менеджмент организации все больше и больше начинает интегрировать свое управление человеческими ресурсами с определением долгосрочной стратегии. Анализируя тенденции работы с персоналом в ближайшем будущем, можно увидеть, что в выполнении функций руководства кадрами все большее значение приобретают стратегические аспекты, однако сохраняются и классические традиционные инструменты работы с кадрами, такие, как планирование в области кадров, привлечение новых работников, повышение квалификации кадров, администрирование кадров.

В Валуйском ОСБ №3794 создается гибкая система управления персоналом, ориентированная на работу банка в рыночных условиях. Функционирование этой системы, включающей в себя решение комплексных управленческих, трудовых, финансово-хозяйственных, социально-экономических, образовательных и многих других проблем, в современных условиях невозможно без концепции, определяющей основные положения кадровой политики:

1.  Создание единых принципов стратегического управления и развития персонала.

2.  Интеграция кадровой политики при стратегическом планировании в банке с учетом кадровой работы на всех уровнях управления.

3.  Внедрение новых методов и систем подготовки и переподготовки персонала.

4.  Разработка экономических стимулов и социальных гарантий.

5.  Исследование проблем в области развития человеческих ресурсов. Стратегия управления персоналом в Валуйском ОСБ №3794 отражает разумное сочетание экономических целей банка, потребностей и интересов работников (достойная оплата труда, удовлетворительные условия труда, возможности развития и реализации способностей работников и т.п.). В настоящее время разрабатываются условия для обеспечения баланса между экономической и социальной эффективностью использования трудовых ресурсов.

Кадры являются самой большой ценностью Валуйского ОСБ №3794. Банк стремиться создать все условия, а кадры стремятся работать, наиболее эффективно. Общее количество работающих в данной организации на конец 2007 года составляла 132 человека, структура управления линейно-функциональная. При данной структуре управления сохраняется преимущество линейной структуры в виде принципа единоначалия, и преимущество функциональной структуры в виде специализации управления. Численность работников в банке продолжает расти, что в первую очередь объясняется постоянным развитием филиальной сети и увеличением объемов реализации банковских услуг.

Валуйское ОСБ имеет свою кадровую политику. Ее принципом является: «Лучшие кадры - лучшая организация, лучшей организации - лучшие кадры». Банк подбирает себе кадры по следующим критериям: порядочность, инициативность, высокопрофессиональность и честность. Банк считает главным критерием при работе с кадрами - справедливое отношение ко всем ее сотрудникам. При планировании и организации работы в Валуйском ОСБ руководство определяет, что конкретно должна выполнить данная организация, когда, как и кто должен это сделать.

Руководство Валуйского ОСБ №3794 должно осознать необходимость отказа от традиционной кадровой политики, основанной на авторитарных принципах, и перехода к политике управления человеческими ресурсами, формирования новой организационной культуры, ориентированной на человека и предусматривающей максимальную вовлеченность персонала в дела банка. Хорошо подобранный трудовой коллектив - одна из основных задач Валуйского ОСБ №3794. Это должна быть команда единомышленников, способных осознавать, принимать и реализовывать замыслы руководства банка. Только она служит залогом успешной деятельности и процветания банка.

Валуйскому ОСБ предлагаются следующие рекомендации по совершенствованию системы управления персоналом.

1.  Ввести дополнительные должности двух ассистентов по кадровым вопросам, т.к. инспектор по кадрам физически не справляется с большим объемом работ.

2.  Перестроить деятельность кадровой службы, т.к. структура кадровой службы, качественный состав и уровень оплаты труда ее работников не соответствует задачам реализации активной кадровой политики.

3.  Внедрить отсутствующий на сегодня процесс качественного анализа персонала банка.

4.  Для активного управления кадрами обеспечить систематический об мен информацией между различными уровнями управления по кадровым вопросам.

5.  Целенаправленно подготавливать специалистов высшей квалификации по новым и традиционным направлениям. Подготовка специалистов высшей квалификации по новым и традиционным направлениям - первоочередная проблема в области проведения кадровой политики банка. Необходимо целенаправленно вкладывать средства в развитие профессионально- технического уровня подготовки персонала для дальнейшего достижения поставленных руководством целей.


Список использованных источников информации

1.  Алавердов А.Р. Управление персоналом в коммерческом банке. - М.: «Соминтэк», 1997 г. - 256 с.

2.  Барков С.А. Управление персоналом. - М: «ЮристЪ», 2001 г. -451 с.

3.  Беляцкий Н.П., Велесько С.Е., Питер Ройш. Управление персоналом. - М.: «Интерпрессервис, Экоперспектива», 2002 г. - 352 с.

4.  Ворожейкин И.Е. Управление социальным развитием организации. - М: «ЮНИТИ», 2001 г. - 472 с.

5.  Виханский О.С., Наумов А.И. Менеджмент. Учебник. 3-е изд. -М.: «Гардарика», 1998 г. - 528 с.

6.  Герчикова И.Н. Менеджмент. - М.: «ЮНИТИ», 2000 г. - 321 с.

7.  Гражданский кодекс Российской Федерации. - М.: «ЮРКНИГА», 2007 г.

8.  Егошин А.П. Управление персоналом. -Новгород: Издательство «Март», 2000 г.-238 с.

9.  Жариков Е.С. Психология управления. - М.: «Проспект», 1998 г. - 298 с.

10. Иванцевич Дж. М., Лобанов А.А. Человеческие ресурсы управления. -М.: «Гардарике», 1999 г. -315 с.

11. Иванов В.Н., Пойрушев В.И., Гладышев А.Г. Основы социального управления. - М.: «Юрист», 2001 г. - 314 с.

12. Кибанов А.Я., Дуракова И.Б. Управление персоналом организации: отбор и оценка при найме, аттестация. Учебное пособие для студентов вузов. - М.: Издательство «Экзамен», 2003 г. - 336 с.

13. Кибанов А.Я. Управление персоналом организации. Учебник. - М.: «ИНФРА-М», 1998 г. - 512 с.

14. Кабушкин Н.Н. Основы кадрового менеджмента. - М.: «ЮНИТИ», 2003 г.-378 с.

15. Кочеткова А.И. Психологические основы управления персоналом. - М: «Зерцало», 1999 г. - 303 с.

16. Кнорринг А.И. Теория, практика и искусство управления. - М.: «Де ло», 1999 г.-199 с.

17. Лифинец А.С. Основы управления персоналом. - Иваново: «Дом книги», 2000 г.-256 с.

18. Моргунов Е.Б. Управление персоналом: исследование, оценка, обу чение. Учебное пособие. - М.: ЗАО «Бизнес-школа «Интел-синтез», 2000 г. - 264 с.

19. Маслов Е.В. Управление персоналом. - Новосибирск: «Рассвет», 2000 г.-309 с.

20. Тавасиев A.M. Банковское дело: управление и технологии. Учебное пособие для вузов. - М.: «ЮНИТИ-ДАНА», 2001 г. - 863 с.

21. Травин В.В. Основы кадрового менеджмента. - М.: «Высшая школа», 2000 г.-362 с.

22. Федосеев В.Н., Капустин С.Н. Управление персоналом организации. Учебное пособие. - М.: Издательство «Экзамен», 2003 г. - 368 с.

23. Цыпкин Ю.А. Управление персоналом. Учебное пособие для вузов. - М.: «ЮНИТИ-ДАНА», 2001 г. - 446 с.

24. Цветаев В.М. Управление персоналом. - СПб: «Питер», 2001 г. - 301с.

25. Шкатулла В.И. Структура кадровой службы в современных условиях. -М.: «Зерцало», 1998 г.-348 с.

26. Шекшня СВ. Управление персоналом современной организации. Учебно-практическое пособие. Изд. 5-е, перераб. и доп. - М.: ЗАО «Бизнес- школа» «Интел-Синтез», 2002 г. - 368 с.

27. Яхонтова Е.С. Эффективность управленческого лидерства. - М.: «ТЕИС», 2002 г. -501 с.

28. Газета «Сбережения». № 5, 2008 г. - 12 с.

29. Газета «Сбербанк России в Черноземье». № 6, 2005 г. - 18 с.

30. Годовой отчёт Сбербанка России. 2005 г. - 122 с.

31. Годовой отчёт Сбербанка России. 2006 г. — 112 с.

32. Годовой отчёт Сбербанка России. 2007 г. - 135 с.


Приложения




© 2012 Рефераты, доклады и дипломные работы, курсовые работы бесплатно.